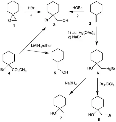
Looking for interesting problems about addition to C=C, I came across this in the back of Carey. It looks like a simple addition across the alkene, but using HOBr which is something I've never came across in the lab (and perhaps not seen used as an example since I was an undergrad...).
The most obvious way to dissociate HOBr is to lose a proton, leaving the OBr anion behind, Wikipedia confirms this:
[...] hypobromous acid partially dissociates into the hypobromite anion OBr− and the cation H+.
So far so good. And based on this fact, you might expect the product to be as drawn below. However the original literature points towards a different product, also shown below.
Obviously, the product I've drawn as expected looks a little odd, with the unstable Br-O bond present. However, I cannot rationalise how the actual product has formed.
Ref.: JOC, 1968, 33, 3953.
The original literature from which the problem was taken
Three possibilities:
The HOBr doesn't dissociate as I'd imagined. There is the possibility of the Br forming the bromonium ion which is then opened by hydroxide, however to get the product as isolated, you have to attack in the anti-Markovnikov sense (i.e. the product would look like the one formed if you'd attacked a primary carbocation with hydroxide).
The product forms as I drew it, but rearranges to give the product they isolate. This is what I consider to be the most likely explanation, but I'm unable to see how this happens.
The secondary carbocation forms upon protonation, but this rearranges. Again, struggling to see how this would work as the secondary cation is the most stable one that can form in this system, as there is no possibility of a tertiary carbocation.
Any suggestions to point in the right direction? Even the name of a rearrangement would be helpful.




