wikiHow is a “wiki,” similar to Wikipedia, which means that many of our articles are co-written by multiple authors. To create this article, 16 people, some anonymous, worked to edit and improve it over time.
wikiHow marks an article as reader-approved once it receives enough positive feedback. In this case, 84% of readers who voted found the article helpful, earning it our reader-approved status.
This article has been viewed 148,078 times.
Learn more...
In calculus, when you have an equation for y written in terms of x (like y = x2 -3x), it's easy to use basic differentiation techniques (known by mathematicians as "explicit differentiation" techniques) to find the derivative. However, for equations that are difficult to rearrange with y by itself on one side of the equals sign (like x2 + y2 - 5x + 8y + 2xy2 = 19), a different approach is needed. With a technique called implicit differentiation, it's simple to find the derivatives of multi-variable equations as long as you already know the basics of explicit differentiation!
Steps
Differentiating Simple Equations Quickly
-
1Differentiate the x terms as normal. When trying to differentiate a multivariable equation like x2 + y2 - 5x + 8y + 2xy2 = 19, it can be difficult to know where to start. Luckily, the first step of implicit differentiation is its easiest one. Simply differentiate the x terms and constants on both sides of the equation according to normal (explicit) differentiation rules to start off. Ignore the y terms for now.[1]
- Let's try our hand at differentiating the simple example equation above. x2 + y2 - 5x + 8y + 2xy2 = 19 has two x terms: x2 and -5x. If we want to differentiate the equation, we'll deal with these first, like this:
- x2 + y2 - 5x + 8y + 2xy2 = 19
- (Bring the "2" exponent in x2 down as a coefficient, remove the x in -5x, and change the 19 to 0)
- 2x + y2 - 5 + 8y + 2xy2 = 0
- Let's try our hand at differentiating the simple example equation above. x2 + y2 - 5x + 8y + 2xy2 = 19 has two x terms: x2 and -5x. If we want to differentiate the equation, we'll deal with these first, like this:
-
2Differentiate the y terms and add "(dy/dx)" next to each. As your next step, simply differentiate the y terms the same way as you differentiated the x terms. This time, however, add "(dy/dx)" next to each the same way as you'd add a coefficient. For instance, if you differentiate y2, it becomes 2y(dy/dx). Ignore terms with both x and y for now.[2]
- In our running example, our equation now looks like this: 2x + y2 - 5 + 8y + 2xy2 = 0. We would perform this next y-differentiating step as follows:
- 2x + y2 - 5 + 8y + 2xy2 = 0
- (Bring the "2" exponent in y2 down as a coefficient, remove the y in 8y, and place a "dy/dx" next to each).
- 2x + 2y(dy/dx) - 5 + 8(dy/dx) + 2xy2= 0
Advertisement - In our running example, our equation now looks like this: 2x + y2 - 5 + 8y + 2xy2 = 0. We would perform this next y-differentiating step as follows:
-
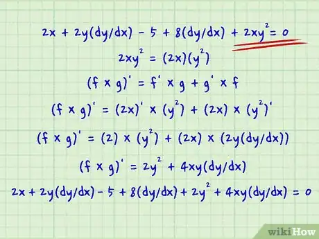
3Use the product rule or quotient rule for terms with x and y. Dealing with terms that have both x and y in them is a little tricky, but if you know the product and quotient rules for differentiating, you're in the clear. If the x and y terms are multiplied, use the product rule ((f × g)' = f' × g + g' × f), substituting the x term for f and the y term for g. On the other hand, if the x and y terms are divided by each other, use the quotient rule ((f/g)' = (g × f' - g' × f)/g2), substituting the numerator term for f and the denominator term for g.[3]
- In our example, 2x + 2y(dy/dx) - 5 + 8(dy/dx) + 2xy2 = 0, we only have one term with both x and y — 2xy2. Since the x and y are multiplied by each other, we would use the product rule to differentiate as follows:
- 2xy2 = (2x)(y2)— set 2x = f and y2 = g in (f × g)' = f' × g + g' × f
- (f × g)' = (2x)' × (y2) + (2x) × (y2)'
- (f × g)' = (2) × (y2) + (2x) × (2y(dy/dx))
- (f × g)' = 2y2 + 4xy(dy/dx)
- Adding this back into our main equation, we get 2x + 2y(dy/dx) - 5 + 8(dy/dx) + 2y2 + 4xy(dy/dx) = 0
- In our example, 2x + 2y(dy/dx) - 5 + 8(dy/dx) + 2xy2 = 0, we only have one term with both x and y — 2xy2. Since the x and y are multiplied by each other, we would use the product rule to differentiate as follows:
-
4Isolate (dy/dx). You're almost there! Now, all you need to do is solve the equation for (dy/dx). This looks difficult, but it's usually not — keep in mind that any two terms a and b that are multiplied by (dy/dx) can be written as (a + b)(dy/dx) due to the distributive property of multiplication.[4] This tactic can make it easy to isolate (dy/dx) — just get all the other terms on the opposite side of the parentheses, then divide them by the terms in parentheses next to (dy/dx).
- In our example, we might simplify 2x + 2y(dy/dx) - 5 + 8(dy/dx) + 2y2 + 4xy(dy/dx) = 0 as follows:
- 2x + 2y(dy/dx) - 5 + 8(dy/dx) + 2y2 + 4xy(dy/dx) = 0
- (2y + 8 + 4xy)(dy/dx) + 2x - 5 + 2y2 = 0
- (2y + 8 + 4xy)(dy/dx) = -2y2 - 2x + 5
- (dy/dx) = (-2y2 - 2x + 5)/(2y + 8 + 4xy)
- (dy/dx) = (-2y2 - 2x + 5)/(2(2xy + y + 4)
- In our example, we might simplify 2x + 2y(dy/dx) - 5 + 8(dy/dx) + 2y2 + 4xy(dy/dx) = 0 as follows:
Using Advanced Techniques
-
1Plug in (x, y) values to find (dy/dx) for any point. Congratulations! You've differentiated your equation implicitly — not an easy task for first-timers! Using this equation to find the slope (dy/dx) for any (x, y) point is as simple as plugging in the x and y values for your point into the right side of the equation, then solving for (dy/dx).[5]
- For example, let's say that we want to find the slope at the point (3, -4) for our example equation above. To do this, we would substitute 3 for x and -4 for y, solving as follows:
- (dy/dx) = (-2y2 - 2x + 5)/(2(2xy + y + 4)
- (dy/dx) = (-2(-4)2 - 2(3) + 5)/(2(2(3)(-4) + (-4) + 4)
- (dy/dx) = (-2(16) - 6 + 5)/(2(2(3)(-4))
- (dy/dx) = (-32) - 6 + 5)/(2(2(-12))
- (dy/dx) = (-33)/(2(2(-12))
- (dy/dx) = (-33)/(-48) = 3/48, or 0.6875.
- For example, let's say that we want to find the slope at the point (3, -4) for our example equation above. To do this, we would substitute 3 for x and -4 for y, solving as follows:
-
2Use the chain rule for functions-within-functions. The chain rule is an important piece of knowledge to have when dealing with calculus problems (including implicit differentiation problems). The chain rule states that for a function F(x) which can be written as (f o g)(x), the derivative of F(x) is equal to f'(g(x))g'(x). For difficult implicit differentiation problems, this means that it's possible to differentiate different individual "pieces" of the equation, then piece together the result.[6]
- As a simple example, let's say that we need to find the derivative of sin(3x2 + x) as part of a larger implicit differentiation problem for the equation sin(3x2 + x) + y3 = 0. If we think of sin(3x2 + x) as "f(x)" and 3x2 + x as "g(x)", we can find the differentiation as follows:
- f'(g(x))g'(x)
- (sin(3x2 + x))' × (3x2 + x)'
- cos(3x2 + x) × (6x + 1)
- (6x + 1)cos(3x2 + x)
- As a simple example, let's say that we need to find the derivative of sin(3x2 + x) as part of a larger implicit differentiation problem for the equation sin(3x2 + x) + y3 = 0. If we think of sin(3x2 + x) as "f(x)" and 3x2 + x as "g(x)", we can find the differentiation as follows:
-
3For equations with x, y, and z variables, find (dz/dx) and (dz/dy). Though it's not common in basic calculus, some advanced applications may require the implicit differentiation of more than two variables. For each extra variable, you'll need to find an extra derivative with respect to x. For instance, if you're working with x, y, and z, you'll need to find both (dz/dy) and (dz/dx). We can do this by differentiating the equation with respect x twice — the first time, we'll insert a (dz/dx) every time we differentiate a term with z, and the second time, we'll insert a (dz/dy) every time we differentiate a z. After this, it's just a matter of solving for (dz/dx) and (dz/dy).[7]
- For example, let's say that we're trying to differentiate x3z2 - 5xy5z = x2 + y3.
- First, let's differentiate with respect to x and insert (dz/dx). Don't forget to apply the product rule where appropriate!
- x3z2 - 5xy5z = x2 + y3
- 3x2z2 + 2x3z(dz/dx) - 5y5z - 5xy5(dz/dx) = 2x
- 3x2z2 + (2x3z - 5xy5)(dz/dx) - 5y5z = 2x
- (2x3z - 5xy5)(dz/dx) = 2x - 3x2z2 + 5y5z
- (dz/dx) = (2x - 3x2z2 + 5y5z)/(2x3z - 5xy5)
- Now, let's do the same for (dz/dy)
- x3z2 - 5xy5z = x2 + y3
- 2x3z(dz/dy) - 25xy4z - 5xy5(dz/dy) = 3y2
- (2x3z - 5xy5)(dz/dy) = 3y2 + 25xy4z
- (dz/dy) = (3y2 + 25xy4z)/(2x3z - 5xy5)
References
- ↑ https://www.khanacademy.org/math/ap-calculus-ab/ab-differentiation-2-new/ab-3-2/a/implicit-differentiation-review
- ↑ https://www.mathsisfun.com/calculus/implicit-differentiation.html
- ↑ https://www.mathsisfun.com/calculus/implicit-differentiation.html
- ↑ https://www.coolmath.com/prealgebra/06-properties/05-properties-distributive-01
- ↑ http://tutorial.math.lamar.edu/Classes/CalcI/ImplicitDIff.aspx
- ↑ http://www.mathcentre.ac.uk/resources/uploaded/mc-ty-implicit-2009-1.pdf
- ↑ https://www.wyzant.com/resources/answers/9457/use_implicit_differentiation_to_find_dz_dx_and_dz_dy
Warnings
- Always look for any part which needs the Quotient or Product rule, as it's very easy to forget.⧼thumbs_response⧽
About This Article
To differentiate simple equations quickly, start by differentiating the x terms according to normal rules. Next, differentiate the y terms the same way you did the x terms, but this time add (dy/dx) next to each y term. If you have terms with x and y, use the product rule if x and y are multiplied. However, if the x and y terms are divided by each other, use the quotient rule. Finally, solve for (dy/dx) by finding the terms on the opposite side of the parenthesis, then divide them by the terms in parenthesis next to (dy/dx). To learn how to use advanced techniques, keep reading!


























































