I've always thought of git reset and git checkout as the same, in the sense that both bring the project back to a specific commit. However, I feel they can't be exactly the same, as that would be redundant. What is the actual difference between the two? I'm a bit confused, as the svn only has svn co to revert the commit.
ADDED
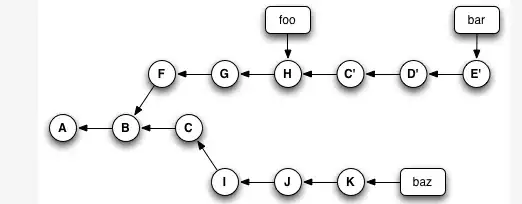
VonC and Charles explained the differences between git reset and git checkout really well. My current understanding is that git reset reverts all of the changes back to a specific commit, whereas git checkout more or less prepares for a branch. I found the following two diagrams quite useful in coming to this understanding:

ADDED 3
From http://think-like-a-git.net/sections/rebase-from-the-ground-up/using-git-cherry-pick-to-simulate-git-rebase.html, checkout and reset can emulate the rebase.
git checkout bar
git reset --hard newbar
git branch -d newbar


