Problem Definition
(taken from P-99: Ninety-Nine Prolog Problems)
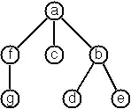
We suppose that the nodes of a multiway tree contain single characters. In the depth-first order sequence of its nodes, a special character ^ has been inserted whenever, during the tree traversal, the move is a backtrack to the previous level.
By this rule, the tree in the figure is represented as: afg^^c^bd^e^^^

(source: ti.bfh.ch)
Define the syntax of the string and write a predicate tree(String,Tree) to construct the Tree when the String is given. Work with atoms (instead of strings). Make your predicate work in both directions.
Solution Part 1: String2Tree
This is easy with a stack. Here's the pseudocode:
FUNCTION String2Tree(String str) : Tree
LET st BE New-Stack<Node>
LET root BE New-Node
st.push(root)
FOREACH el IN str
IF el IS '^'
st.pop()
ELSE
LET child BE New-Node(el)
LET top BE st.top()
top.adopt(child)
st.push(child)
RETURN New-Tree(root)
The use of a dummy root node simplifies matters. Essentially the algorithm is as follows:
- Scan the string left to right
- Whenever we encounter a node label, we create a new node
- That node is adopted by the top of the stack
- That node is then pushed to the the stack and becomes the new top
- When we encounter a
'^', we simply pop off the top of the stack
Solution Part 2: Tree2String
The opposite direction is a matter of simple recursion:
FUNCTION string(Tree t) : String
LET sb BE New-StringBuffer
visit(t.root, sb)
RETURN New-String(sb)
PROCEDURE visit(Node n, StringBuffer sb)
sb.append(n.label)
FOREACH child IN n.children()
visit(child, sb)
sb.append('^')
As specified in the problem, we insert ^ whenever we backtrack to the previous level.