As far as I know this requires a little work-around; I will only do it in Graphviz DOT language. I give you the solution first, then provide some explanations of how you can extend it.
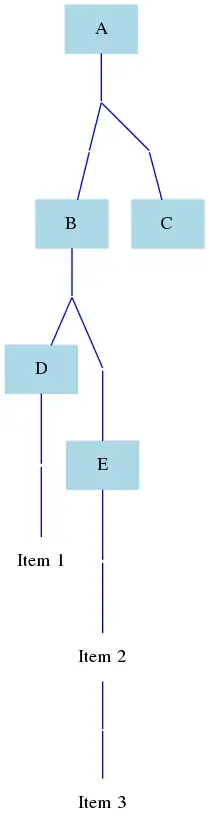
This is the resulting figure:

This is the Graphviz code producing the figure:
graph atree {
Item1 [shape=none,label="Item 1",pos="2.2,1.1!"];
Item2 [shape=none,label="Item 2",pos="2.2,0.1!"];
Item3 [shape=none,label="Item 3",pos="2.9,-0.3!"];
A [shape=box,color=lightblue,style=filled,pos="2,3!"];
B [shape=box,color=lightblue,style=filled,pos="1,2.1!"];
C [shape=box,color=lightblue,style=filled,pos="3,2.1!"];
D [shape=box,color=lightblue,style=filled,pos="1.5,1.5!"];
E [shape=box,color=lightblue,style=filled,pos="1.5,0.5!"];
D0 [style=invisible,fixedsize=true,width=0,height=0,pos="2,2.5!",label=""];
D1 [style=invisible,fixedsize=true,width=0,height=0,pos="1,2.5!",label=""];
D2 [style=invisible,fixedsize=true,width=0,height=0,pos="3,2.5!",label=""];
D3 [style=invisible,fixedsize=true,width=0,height=0,pos="1,1.5!",label=""];
D4 [style=invisible,fixedsize=true,width=0,height=0,pos="1,0.5!",label=""];
D5 [style=invisible,fixedsize=true,width=0,height=0,pos="1.5,1.1!",label=""];
D6 [style=invisible,fixedsize=true,width=0,height=0,pos="1.5,0.1!",label=""];
D7 [style=invisible,fixedsize=true,width=0,height=0,pos="2.2,-0.3!",label=""];
A -- D0 -- D1 -- B -- D3 -- D4 -- E [color=blue];
E -- D6 -- Item2 -- D7 -- Item3 [color=blue];
D0 -- D2 -- C [color=blue];
D3 -- D -- D5 -- Item1 [color=blue];
}
If you put it in a file named inputfile.dot you can get the resulting image file by using the command neato -Tpng inputfile.dot > outfile.png.
Now a couple of comments on how it works: The code building the tree with A, B, C, D, E, Item1, Item2, Item3 is straightforward (the attributes merely set the colors and box styles). The trick to get the lines straight and orthogonal consists of 1) adding invisible nodes with zero size to the graph, and 2) positioning all objects in absolute coordinates on the canvas. The auxiliary nodes D1, D2, D3, D4, D5, D6, D7 are needed for step 1) and the pos="x,y!" options are needed for step 2). Note, that you need the ! sign at the end of the pos command since otherwise the positions would not be considered final and the layout would still get changed.
You can add additional nodes by first positioning a new node (by using the code for the nodes A ... Item3 as a template), adding an invisible, auxiliary node (with pos such that all connections to and from it are orthogonal) and then adding the connection to the graph via <StartingNode> -- <AuxiliaryNode> -- <NewNode>.