After performing a groupby.sum() on a DataFrame I'm having some trouble trying to create my intended plot.

import pandas as pd
import numpy as np
np.random.seed(365)
rows = 100
data = {'Month': np.random.choice(['2014-01', '2014-02', '2014-03', '2014-04'], size=rows),
'Code': np.random.choice(['A', 'B', 'C'], size=rows),
'ColA': np.random.randint(5, 125, size=rows),
'ColB': np.random.randint(0, 51, size=rows),}
df = pd.DataFrame(data)
Month Code ColA ColB
0 2014-03 C 59 47
1 2014-01 A 24 9
2 2014-02 C 77 50
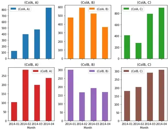
dfg = df.groupby(['Code', 'Month']).sum()
ColA ColB
Code Month
A 2014-01 124 102
2014-02 398 282
2014-03 474 198
2014-04 830 237
B 2014-01 477 300
2014-02 591 167
2014-03 522 192
2014-04 367 169
C 2014-01 412 180
2014-02 275 205
2014-03 795 291
2014-04 901 309
How can I create a subplot (kind='bar') for each Code, where the x-axis is the Month and the bars are ColA and ColB?





