I'm hoping that the answer to the question in the title is that I'm doing something stupid!
Here is the problem. I want to compute all the eigenvalues and eigenvectors of a real, symmetric matrix. I have implemented code in MATLAB (actually, I run it using Octave), and C++, using the GNU Scientific Library. I am providing my full code below for both implementations.
As far as I can understand, GSL comes with its own implementation of the BLAS API, (hereafter I refer to this as GSLCBLAS) and to use this library I compile using:
g++ -O3 -lgsl -lgslcblas
GSL suggests here to use an alternative BLAS library, such as the self-optimizing ATLAS library, for improved performance. I am running Ubuntu 12.04, and have installed the ATLAS packages from the Ubuntu repository. In this case, I compile using:
g++ -O3 -lgsl -lcblas -latlas -lm
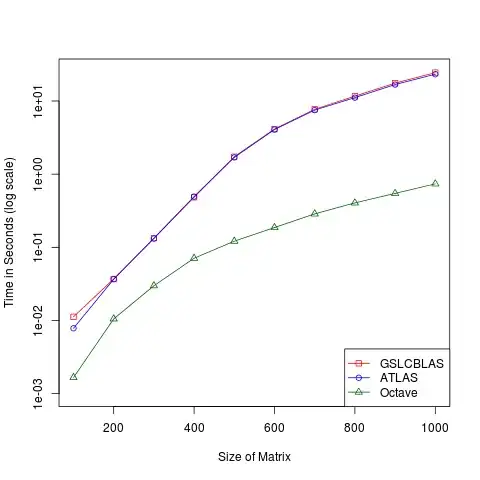
For all three cases, I have performed experiments with randomly-generated matrices of sizes 100 to 1000 in steps of 100. For each size, I perform 10 eigendecompositions with different matrices, and average the time taken. The results are these:

The difference in performance is ridiculous. For a matrix of size 1000, Octave performs the decomposition in under a second; GSLCBLAS and ATLAS take around 25 seconds.
I suspect that I may be using the ATLAS library incorrectly. Any explanations are welcome; thanks in advance.
Some notes on the code:
In the C++ implementation, there is no need to make the matrix symmetric, because the function only uses the lower triangular part of it.
In Octave, the line
triu(A) + triu(A, 1)'enforces the matrix to be symmetric.If you wish to compile the C++ code your own Linux machine, you also need to add the flag
-lrt, because of theclock_gettimefunction.Unfortunately I don't think
clock_gettimeexits on other platforms. Consider changing it togettimeofday.
Octave Code
K = 10;
fileID = fopen('octave_out.txt','w');
for N = 100:100:1000
AverageTime = 0.0;
for k = 1:K
A = randn(N, N);
A = triu(A) + triu(A, 1)';
tic;
eig(A);
AverageTime = AverageTime + toc/K;
end
disp([num2str(N), " ", num2str(AverageTime), "\n"]);
fprintf(fileID, '%d %f\n', N, AverageTime);
end
fclose(fileID);
C++ Code
#include <iostream>
#include <fstream>
#include <time.h>
#include <gsl/gsl_rng.h>
#include <gsl/gsl_randist.h>
#include <gsl/gsl_eigen.h>
#include <gsl/gsl_vector.h>
#include <gsl/gsl_matrix.h>
int main()
{
const int K = 10;
gsl_rng * RandomNumberGenerator = gsl_rng_alloc(gsl_rng_default);
gsl_rng_set(RandomNumberGenerator, 0);
std::ofstream OutputFile("atlas.txt", std::ios::trunc);
for (int N = 100; N <= 1000; N += 100)
{
gsl_matrix* A = gsl_matrix_alloc(N, N);
gsl_eigen_symmv_workspace* EigendecompositionWorkspace = gsl_eigen_symmv_alloc(N);
gsl_vector* Eigenvalues = gsl_vector_alloc(N);
gsl_matrix* Eigenvectors = gsl_matrix_alloc(N, N);
double AverageTime = 0.0;
for (int k = 0; k < K; k++)
{
for (int i = 0; i < N; i++)
{
for (int j = 0; j < N; j++)
{
gsl_matrix_set(A, i, j, gsl_ran_gaussian(RandomNumberGenerator, 1.0));
}
}
timespec start, end;
clock_gettime(CLOCK_MONOTONIC_RAW, &start);
gsl_eigen_symmv(A, Eigenvalues, Eigenvectors, EigendecompositionWorkspace);
clock_gettime(CLOCK_MONOTONIC_RAW, &end);
double TimeElapsed = (double) ((1e9*end.tv_sec + end.tv_nsec) - (1e9*start.tv_sec + start.tv_nsec))/1.0e9;
AverageTime += TimeElapsed/K;
std::cout << "N = " << N << ", k = " << k << ", Time = " << TimeElapsed << std::endl;
}
OutputFile << N << " " << AverageTime << std::endl;
gsl_matrix_free(A);
gsl_eigen_symmv_free(EigendecompositionWorkspace);
gsl_vector_free(Eigenvalues);
gsl_matrix_free(Eigenvectors);
}
return 0;
}
Fig. Compare Matlab and C. The "+ vec" means the codes included the calculations of the eigenvectors. The CPU% is the very rough observation of CPU usage at N=1000 which is upper bounded by 800%, though they are supposed to fully use all 8 cores. The gap between Matlab and C are smaller than 8 times.
Fig. Compare different matrix type in Mathematica. Algorithms automatically picked by program.