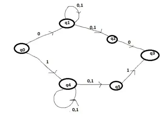
This is the DFA i have drawn-

Is it correct?
I am confused because q4 state has 2 different transitions for same input symbol which violates the rule of DFA, but I can't think of any other solution.
This is the DFA i have drawn-

Is it correct?
I am confused because q4 state has 2 different transitions for same input symbol which violates the rule of DFA, but I can't think of any other solution.
Your DFA is not correct.
your DFA is completely wrong so I don't comment
DFA for RE:
0(1 + 0)*0 + 1(1 + 0)*1
Language Description: if string start with 0 it should end with 0 or if string start with 1 it should end with 1. hence two final states (state-5, state-4).
state-4 : accepts 1(1 + 0)*1
state-5 : accepts 0(1 + 0)*0
state-1 : start state.
DFA:

EDIT :
(0 + 1)* = (1 + 0)* that is any string consist of 1s and 0s, including Null string ^.
Here + means Union if it appear between two RE: and A U B = B U A (similarly)=> (0 + 1) = (0 + 1) .
meaning of plus + depends on syntax it appears in: If expression is a+ (+ is superscripted) this means one of more as, and If a+b then + means Union operation either a or b.
a+ : { a, aa, aaa, aaa.....} that is any number of a string in language with length > 1.