This is an interesting question! Partial answer!
I don't know about the frequency of Martian meteorites, but for a given one we can estimate its terminal velocity (if it reaches it) and kinetic energy.
If it doesn't reach terminal velocity, then it's going to be going a heck of a lot faster and have a heck of a lot squared more kinetic energy.
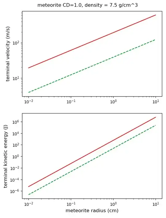
A 1 cm radius iron meteorite will have a terminal kinetic energy of 27 Joules on Earth but 540 Joules on Mars!
At 10 cm it's 240 kiloJoules and 5.4 megaJoules!
But most meteorites are small.
The bigger ones are extremely infrequent.
If you collect all the dust and dirt off of a flat-roofed building and sift through with a strong magnet you can collect iron-containing micrometeorite debris, and if you drag a lot of powerful magnets around in a desert you can collect a lot of larger bits, but these are not likely to do any damage to a colony or be noticeable at all actually.
Their terminal velocity will be faster on Mars due to the lower air density, the lower gravity only does a little bit to mitigate that effect.
From Wikipedia's terminal velocity:
$$ v_T = \sqrt{\frac{2mg}{\rho A C_D}}$$
where $m$, $A$ and $C_D$ are the mass, cross-sectional area and drag coefficient of the meteorite, and $\rho$ is the density of the atmosphere near the surface.
For the calculation below I've chosen a density of $\rho$ of 7.5 g/cm^3 typical for an iron meteorite.
r (cm) 0.01 0.10 1.00 10.00
------------ --------- --------- --------- ---------
vt_earth (m/s) 3.88 12.29 38.85 122.85
vt_mars (m/s) 19.29 60.99 192.87 609.92
KE_earth (J) 2.37e-07 2.37e-03 2.37e+01 2.37e+05
KE_mars (J) 5.84e-06 5.84e-02 5.84e+02 5.84e+06

From this answer to Who discovered “Egg Rock”? The Curiosity rover or people?
...Cropped section of image of "Egg Rock" from redplanet.asu.edu/?p=21047 showing the spots where Curiosity's ChemCam laser has ablated material.

See also (and references and answeres therein):
Python script for plot:
import numpy as np
import matplotlib.pyplot as plt
def vt(r, g, rho_m, rho_a):
Cd = 1.
A = np.pi * r2
m = rho_m * (4/3) * np.pi * r3
v_terminal = np.sqrt(2 * m * g / (rho_a * A * Cd))
KE = 0.5 * m * v_terminal**2
return v_terminal, KE
np.set_printoptions(precision=2, suppress=False)
r = np.logspace(-4, -1, 4) # meters
r_cm = 100 * r
rho_meteor = 7500 # kg/m^3
vt_earth, KE_earth = vt(r=r, g=9.81, rho_m=rho_meteor, rho_a=1.3)
vt_mars, KE_mars = vt(r=r, g=3.72, rho_m=rho_meteor, rho_a=0.02)
print(' r (cm): ', r_cm)
print(' vt_earth (m/s): ', vt_earth)
print(' vt_mars (m/s): ', vt_mars)
print(' KE_earth (J): ', KE_earth)
print(' KE_mars (J): ', KE_mars)
fig, axes = plt.subplots(2, 1)
ax1, ax2 = axes
fs = 12
ax1.plot(r_cm, vt_earth, '--g')
ax1.plot(r_cm, vt_mars, '-r')
ax2.plot(r_cm, KE_earth, '--g')
ax2.plot(r_cm, KE_mars, '-r')
ax2.set_xlabel('meteorite radius (cm)', fontsize=fs)
ax1.set_ylabel('terminal velocity (m/s)', fontsize=fs)
ax2.set_ylabel('terminal kinetic energy (J)', fontsize=fs)
for ax in axes:
ax.set_xscale('log')
ax.set_yscale('log')
plt.suptitle('meteorite CD=1.0, density = 7.5 g/cm^3')
plt.show()