Consider the space shuttle or the Saturn V.
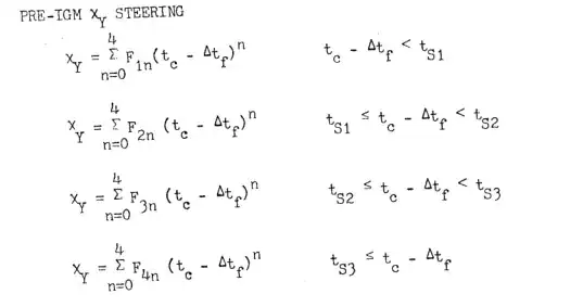
Launch would begin with an open-loop pitch schedule obtained from simulation with the day’s winds.
The pitch schedule would be specified as a lookup table with time-pitch breakpoints.
How far apart on the time axis would those breakpoints be? If the navigation-guidance system ran at 25 Hz (period of 0.04 s), then would the pitch schedule breakpoints be specified at 0.04 s intervals?
If yes, then maybe you wouldn’t need to interpolate between them, since the table would already be at the finest resolution the controller could follow (the 25 Hz).
But if no, then you would need to interpolate those breakpoints. And the interpolation could be linear, cubic, etc.
I’m curious which interpolation method the space shuttle/Saturn V would have used? Linear is simplest and those rockets weren’t rich in computing power... but could it have been a cubic spline interpolation method? Some other type?
If you know and can share—-thank you :)

