I was among many watching SpaceX's exciting OrbComm-2 mission (Falcon-9 Flight 20, 22-Dec-2015), and besides the first successful landing of a 1st stage after an orbital mission, the deployment of the eleven OrbComm satellites made for great imagery. By watching the (nearly full) Moon, you can even see the 2nd stage perform roll maneuvers between each successive deployment.
You can see this in SpaceX's 'promo trailers' for example. In fact it is this specific visual that brought me to SXSE (Space Exploration Stackexchange) a year ago - as evidenced by my first salvo of questions here! Since I hadn't heard of TLEs yet, I was "scraping" websites to get the positions of the satellites so I could watch them drift apart. The first image (below) is from my very first SXSE question, and the second is from one of my most recent questions.
So while I've learned an amazing amount about satellites and space exploration in hundreds of little pieces, I'd like to see how several of the pieces fit together.
Question: What goes into the planning and execution of the deployment of groups of LEO satellites?
I think a good answer might include at least a cursory outline (e.g. 2-3 sentences maximum) of things like:
- 2nd stage orbit altitude and circularization
- attitude adjustment prior to each satellite release (sans baseball bat)
- the "kick" - mechanical release of the individual satellite(s)
- subsequent satellite propulsion - engines and/or boosters on each
- first TLE's available confirming (to us) successful deployment
- the plan for them to migrate to their final locations (using minimal propellants in some cases)
EDIT: By "cursory outline" of an item I mean name it, describe what it is and why it's important in a very basic way. I'm not looking for a technical description of any item at depth. Instead, just looking for a basic view of the breadth of the task.
Recent relevant constellations include
- Orbcomm-2 (Orbcomm/SpaceX) I've mentioned. cf. this question
- CYGNSS (NASA/Orbital ATK) Propulsion-less to final configuration. cf. this question
- Iridium-1 (Iridium/SpaceX) cf. this question
Each of those questions include some links to the missions and images of the stacking of the satellites.
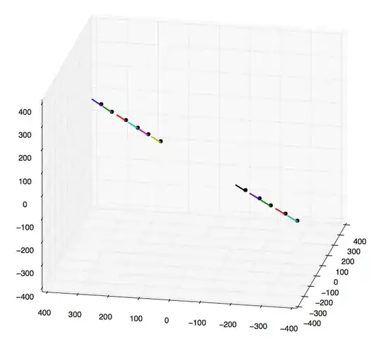
above: 3D plot of the eleven OrbComm satellites flying in formation interpolated to a single point in time (14:00:00 UTC 24-DEC-2015) from my first question here. Units are kilometers, the axes are approximately Earth Centered Inertial (ECI), the origin is the average position of the group, and the short line segments behind each point represent the previous 5 seconds of movement.
above: SpaceX deployment of the OrbComm-2 satellites GIF made from cropped screenshots of the SpaceX technical broadcast. The nearly full Moon is the white circular object at the lower extreme left.

