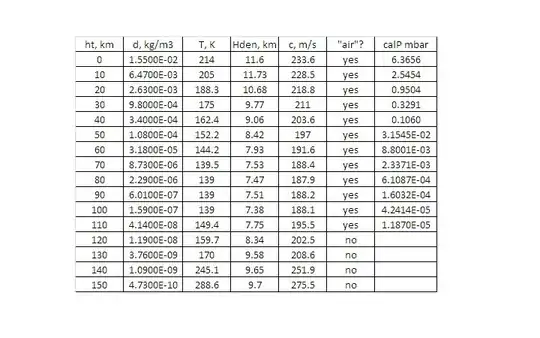
In an answer to a similar question, the Karman Line for Mars is stated as being at 125km compared to 122km for Earth. However, Mars has an atmospheric pressure about 1/10 that of Earth, its differences in mass, rotational period and gravitational acceleration not withstanding.
Why is it higher than for Earth?
EDIT: D'Ohhh!!! Just reread the original prior question again, as per @Nakedible. But I still can't see the justification for the 125km figure.
