2

I'm learning the basics of vector calculus when I came across this problem:

A point charge +q is located at the origin of the coordinate system. Calculate the flux of the electric field due to this charge through the plane $z = +z_0$ by explicitly evaluating the surface integral. Convert the open surface integral into a closed one by adding a suitable surface(s) and then obtain the result using Gauss' divergence theorem.

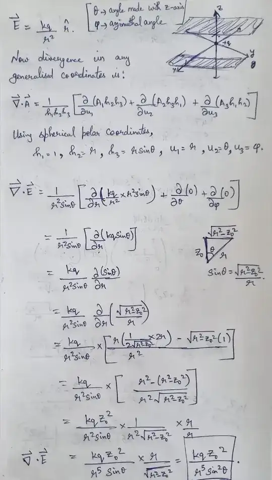
I have no problem in solving the first part (i.e) by direct integration of the surface integral. I got the answer as $q/2\epsilon_0$, which I know is the correct answer as it can also be obtained using the solid angle formula.

But the problem is when I proceed to calculate the divergence of the electic field and then do the volume integral I run into an undefined answer. I converted the open surface into a closed volume by adding another plane at $z = -z_0$.

I'm attaching my work below:

enter image description here enter image description here

Can someone help me out on where I made a mistake?

Srini
  • 25
  • You need a closed volume, not just 2 separate surfaces. 2. For a point charge the charge density may be expressed as a Dirac delta function, you know that this density is connected to the divergence of the electric field.
  • – Newbie Jan 25 '22 at 04:15
  • Regarding point 1, what I think is that since I'm placing two "infinitely" long planes the surface can be considered as closed one. And regarding point 2, I don't know what Dirac delta function is and how to associate it with the divergence of electric field. – Srini Jan 25 '22 at 04:21
  • The divergence of the electric field of a point charge should be zero everywhere except the location of the charge. I suspect your problem comes from how you calculated $\vec{\nabla} \cdot \vec{E}$. – Michael Seifert Jan 25 '22 at 12:21