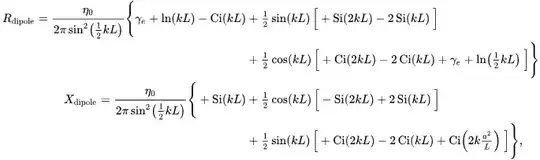
I wrote a program using Microsoft Visual Studio .NET which allows me to input different values for frequency, length and radius and which then calculates R and X using the below equations. The program showed that a dipole which is exactly 1/2 λ in length has + 45 Ω of reactance in the feed point impedance, if it's shortened by 5% the reactance disappears. But if i try a full wave length slightly shortened the reactance is very high, is this correct ? I thought a full wave dipole shortened by about 5 - 10 % also has no reactance in the center feed point ?
1 Answers
I have been thinking about your question(s) and reached the point that you are really asking about something that is not in that formula, as you indeed suspected, and almost every book on the subject ignores it except for the monumental (>2200 pages) Lee & Lo Antenna Handbook, page 7-7 from which I am quoting the following passage:
We should caution the readers, however, that because the electromagnetic coupling between the antenna and the transmission line usually cannot be completely avoided, an "end-correction" network usually has to be added if a high degree of accuracy is desired. The specific form of this network obviously depends on the particular way the antenna is fed. This topic is beyond the scope of this chapter and readers are referred to 1 for more detail.
Unfortunately, that reference is "1 R.W.P. King, The Theory of Linear Antennas, Cambridge: Harvard University Press, 1956," which is a >900 pages tome full of integral equations and some such, certainly a very difficult reading, and a kind of book of which antenna experts, and I am certainly not one of those, say if it is not in there it does not exist... You may be able to find an electronic copy of it but here is a sketch of what Lee&Lo may be referring to as beyond their scope within 2200 pages but King analyzes it over 200 pages:
The issue is seen on 34.1 (a). You have a parallel wire or coaxial transmission line driving a pair of cylindrical antennas. The usual formula for the input impedance is the terminating impedance attached to a pair of series inductors on their right and to the transmission line on their left where there is also a parallel connected capacitor. Now these lumped elements represent the junction between the antennas and the transmission line. It is assumed that the gap of the radiator is the same as the separation of the wires and is very short relative to the wavelength implying not only a single mode operation but also an essentially infinitesimal gap, so in your impedance formula the field across the gap is infinitely large for finite voltage.
Note that the analytical problem of driving the dipole with a coaxial line is even more complicated because of its lack of symmetry compared to the parallel wires.
The lumped element values depend on the details of how the junction is actually formed and it may also contain the effects of spurious EM coupling between the antenna and the outer skin of the coax or the driving wires. In any case, it is a very difficult thing to calculate and it is either measured (old days), say, at multiples of half wavelength away from the junction, or directly simulated with an appropriate software. I think the freely available NEC software, see https://www.qsl.net/4nec2/ and https://en.wikipedia.org/wiki/Numerical_Electromagnetics_Code can simulate this.
Probably a better (the best?) known general reference on antennas is Volakis: Antenna Engineering Handbook. In Chapter 4, pp6,7 you find, see https://archive.org/details/ant_eng_4/page/n83/mode/2up :
In practice, the antenna is always fed by a transmission line. The complete system may have the appearances shown in Figure 4-2. The effective terminal impedance of the line (often referred to as the antenna impedance) then depends not only upon the length and the diameter of the antenna but also upon the terminal condition. In cases a and b, the impedance would also be a function of the size of the ground plane. For a given terminal condition the variation of the impedance of a cylindrical antenna as a function of the length and the diameter of the antenna is best shown in the experimental work of Brown and Woodward.8 The data cover a wide range of values of the length-to-diameter ratio. Two useful sets of curves are reproduced in Figures 4-3 and 4-4. The impedance refers to a cylindrical antenna driven by a coaxial line through a large circular ground plane placed on the surface of the earth. The arrangement is similar to the one sketched in Figure 4-2a. The length and diameter of the antenna are measured in degrees; i.e., a length of one wavelength is equivalent to 360°. If the effects due to the terminal condition and finite-size ground plane are neglected, the impedance would correspond to one-half of the impedance of a center-driven antenna (Figure 4-2c). In using these data for design purposes, you must take into consideration the actual terminal condition as compared with the condition specified by these two authors. In particular, the maximum value of the resistance and the resonant length of the antenna may change considerably if the base capacitance is excessive.
George H. Brown and O. M. Woodward, Jr., “Experimentally Determined Impedance Characteristics of Cylindrical Antennas,” IRE Proc., vol. 33 (1945): 257–262
- 18,748
-
I've tried using NEC software and it seems it doesn't go into enough detail to help with my questions, so i will see if i can find electronic copies of those books you mentioned, I'm very happy to research this myself however it's exceedingly difficult to find information on this subject on the internet so every reference you give is highly appreciated. – Andrew Aug 30 '21 at 22:43
-
see above the updated answer – hyportnex Aug 31 '21 at 00:11
-
I know comments aren't supposed to be for thank yous but thanks for your updated answer and that link ! My main question was if the impedance equation for X works for a full wave dipole, as my understanding is that such an antenna is in fact resonant, but the equations gives a high reactance for 1 wavelength, is the answer to this in your answer ? – Andrew Aug 31 '21 at 00:30
-
I am getting the idea that feed point impedance is far more complex than i imagined, however the complexity is in getting a precise answer and i suppose i'm more interested in understanding the basic operation rather than the exact mathematical explanation, i'm no antenna expert either ! – Andrew Aug 31 '21 at 00:33




