3

Can a mathematician with no knowledge in physics understand this proof? Is there a paper that presents in suitable way for me?

Qmechanic
  • 201,751
OMGsh
  • 223

2 Answers2

4

I suggest Wald's paper Quantum Fields in Curved Spacetimes (http://arxiv.org/abs/1401.2026) as it presents the algebraic approach which I believe is more friendly for mathematicians. He also gives several references for specific points throughout his review that expands the discussion. There you'll find one rigorous derivation, albeit not being the same given by Hawking.

By the way, without prior knowledge in QM and GR you won't understand the motivations behind what he is doing and might have a hard time to get the physics intuition.

Gold
  • 35,872
0

Where can a mathematician read Hawking's proof for the existence of a black hole's radiation?

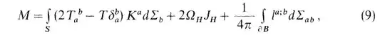
IMHO the first port of call is his papers. Hawking’s first paper on Hawking radiation was arguably the four laws of black hole mechanics co-authored with Brandon Carter and Jim Bardeen in 1973. Section 1 talked about gravitational collapse and gave three references to Hawking’s papers followed by three references to Carter’s. Section 2 talked about an integral formula and Killing vectors and covariant derivatives and antisymmetrization. It talked about hypersurfaces and angular momentum measured asymptotically from infinity. It also talked about complex conjugate null vectors and null tetrads, and it gave a great deal of mathematics including expressions like this:

enter image description here

In section 4 the authors said “we shall pursue the analogy between black holes and thermo-dynamics and shall formulate four laws which correspond to and in some ways transcend the four laws of thermodynamics”. They started with the second law wherein “the area A of the event horizon of each black hole does not decrease with time”. They claimed that it establishes an analogy with entropy. Their first law which said “any two neighboring stationary axisymmetric solutions are related by δM = κ/8π δA + ΩHδJH + ∫ΩδdJ + ∫μδdN + ∫ΩδdS”. And that “it can be seen that κ/8π in analogous to temperature”. They also said "it should be emphasized that κ/8π and A are distinct from the temperature and entropy of the black hole" along with "the effective temperature of a black hole is absolute zero”. Their zeroth law said “the surface gravity, κ of a stationary black hole is constant over the event horizon”. Their third law said “it is impossible by any procedure, no matter how idealized, to reduce κ to zero by a finite sequence of operations”.

Hawking’s next significant paper was black hole explosions? which appeared in Nature in 1974. Hawking said “any black hole will create and emit particles such as neutrinos or photons at just the rate that one would expect if the black hole was a body with a temperature of (κ/2π)(ħ/2k) ≈ 10−6 (M /M)K where κ is the surface gravity of the black hole”. He also said the temperature will increase as the hole loses energy and a smaller black hole would end its life in an explosion "equivalent to about 1 million 1 Mton hydrogen bombs". He talked about a massless Hermitian scalar field in an asymptotically flat spacetime. He referred to the Heisenberg operator ϕ with ai and ai+ interpreted as creation and annihilation operators. He talked about outgoing waves and waves crossing the event horizon and positive and negative frequencies. He said the number of particles created and emitted in a gravitational collapse can therefore be determined, and he talked about a wave propagating backward in spacetime from future null infinity to past null infinity.

Hawking’s next paper was his Hawking radiation paper particle creation by black holes dating from 1975. He said “it is shown that quantum mechanical effects cause black holes to create and emit particles as if they were hot bodies”. In section 1 he set the scene talking about general relativity and quantum mechanics in curved spacetime, saying “one can interpret this as implying that the time dependent metric or gravitational field has caused the creation of a certain number of particles". He said the uncertainty in the local energy can be thought of as corresponding to the local energy density of particles created by the gravitational field. He said "the gravitational field of a black hole will create particles and emit them to infinity at just the rate that one would expect if the black hole were an ordinary body with a temperature in geometric units of κc/2π, where κ is the ‘surface gravity’ of the black hole". Then he said that as the mass of the black hole decreased, the area of the event horizon would have to go down, thus "violating the law that, classically, the area cannot decrease". Hawking also said "this violation must, presumably, be caused by a flux of negative energy". He then said "one might picture this negative energy flux in the following way. Just outside the event horizon there will be virtual pairs of particles, one with negative energy and one with positive energy". He said one of the particles has negative energy relative to infinity, and that the other particle of the pair "having a positive energy, can escape to infinity where it constitutes a part of the thermal emission described above". There's more, but IMHO you have to sit down and read it for yourself.

Can a mathematician with no knowledge in physics understand this proof? Is there a paper that presents in suitable way for me?

It's hard to say. I think you can understand what Hawking is saying even if you don't know too much physics. See of the black hole thermodynamics by Xinyong Fu for more information, along with work by Yvan Leblanc.

John Duffield
  • 11,097