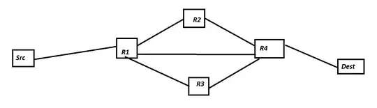
Assume we have a following topology.
R1 represents Router1, R2 represents Router2, R3 represents Router3 and R4 represents Router4.
Src represents the source Server.
Dest represents the destination.
There are 3 distinct paths to reach from Source server to the destnation.
R1--R2--R4 is path1,
R1--R4 is path2,
R1--R3--R4 is path3.
Assume, all of these are equal cost paths. BGP is running as the routing protocol and maximum paths is enabled for BGP.
Hence, we will have all the 3 paths to reach from R1 to R4.To be more precise, R1 will have all the 3 paths installed in the routing table, to reach R4.
Question1:
Let's say there is an application (which uses TCP) running on Src on port number 6811 and performing a transaction to destination on port number 53 for a period of 30 minutes.
So calculating the hash based on Source IP, Destination IP, Source Port, Destination Port and Protocol,we would get a unique hash value and this would be a TCP flow.
I believe that out of the 3 distinct paths mentioned above, only 1 of the paths will be used (even though we have BGP ECMP enabled). The remaining 2 paths will be unused since the hash value remains unchanged for those 30 minutes.
Is the above understanding correct ?
Question 2:
Let's say there is another application (which uses TCP) running on Src on port number
6812 and performing a transaction to destination on port number 64 for a period of 10 minutes.
(Note: source port and destination port have changed as compared to Question 1 scenario).
So calculating the hash based on
Source IP, Destination IP, Source Port, Destination Port and Protocol.
We would get a unique hash value and this would be a different TCP flow. This hash value will definitely be different from the one calculated in Question1.
I believe that out of the 3 distinct paths mentioned above, only 1 of the paths will be used (even though we have BGP ECMP enabled). The remaining 2 paths will be unused since the hash value remains unchanged for those 10 minutes.
Is the above understanding correct ?
