280

I try to generate a lot of examples in my research to get a better feel for what I am doing. Sometimes, I generate a plot, or a figure, that really surprises me, and makes my research take an unexpected turn, or let me have a moment of enlightenment.

For example, a hidden symmetry is revealed or a connection to another field becomes apparent.

Question: Give an example of a picture from your research, description on how it was generated, and what insight it gave.

I am especially interested in what techniques people use to make images, this is something that I find a bit lacking in most research articles. From answers to this question; hope to learn some "standard" tricks/transformations one can do on data, to reveal hidden structure.

As an example, a couple of years ago, I studied asymptotics of (generalized) eigenvalues of non-square Toeplitz matrices. The following two pictures revealed a hidden connection to orthogonal polynomials in several variables, and a connection to Schur polynomials and representation theory. Without these hints, I have no idea what would have happened. Explanation: The deltoid picture is a 2-dimensional subspace of $\mathbb{C}^2$ where certain generalized eigenvalues for a simple, but large Toeplitz matrix appeared, so this is essentially solutions to a highly degenerate system of polynomial equations. Using a certain map, these roots could be lifted to the hexagonal region, revealing a very structured pattern. This gave insight in how the limit density of the roots is. This is essentially roots of a 2d-analogue of Chebyshev polynomials, but I did not know that at the time. The subspace in $\mathbb{C}^2$ where the deltoid lives is quite special, and we could not explain this. A subsequent paper by a different author answered this question, which lead to an analogue of being Hermitian for rectangular Toeplitz matrices.

Perhaps you do not have a single picture; then you might want to illustrate a transformation that you test on data you generate. For example, every polynomial defines a coamoeba, by mapping roots $z_i$ to $\arg z_i$. This transformation sometimes reveal interesting structure, and it partially did in the example above.

If you don't generate pictures in your research, you can still participate in the discussion, by submitting a (historical) picture you think had a similar impact (with motivation). Examples I think that can appear here might be the first picture of the Mandelbrot set, the first bifurcation diagram, or perhaps roots of polynomials with integer coefficients.

Max Horn
  • 5,112

47 Answers47

246

The third image below was certainly unexpected for my soon-to-be-collaborators, Emmanuel Candes and Justin Romberg. They started with a standard image in signal processing, the Logan-Shepp phantom:

Original image

They took a sparse set of Fourier measurements of this image along 22 radial lines (simulating a crude MRI scan). Conventional wisdom was that this was a very lossy set of measurements, losing most of the original data. Indeed, if one tried to use the standard least squares method to reconstruct the image from this data, one got terrible results:

least squares reconstruction

However, Emmanuel and Justin were experimenting with a different method, in which one minimised the total variation norm rather than the least squares norm subject to the given measurements, and were hoping to get a somewhat better reconstruction. What they actually got was this:

TV reconstruction

Unbelievably, using only about 2% of the available Fourier coefficients, they had managed to reconstruct the original Logan-Shepp phantom so perfectly that the differences were invisible to the naked eye.

When Emmanuel told me this result, I couldn't believe it either, and tried to write down a theoretical proof that such perfect reconstruction was impossible from so little data. Much to my surprise, I found instead that random matrix theory could be used to guarantee exact reconstruction from a remarkably small number of measurements. We then worked together to optimise and streamline the results; this led to some of the pioneering work in the area now known as compressed sensing.

Terry Tao
  • 108,865
  • 31
  • 432
  • 517
  • 31
    This is amazing! Here's the paper reference ("Robust Uncertainty Principles: Exact Signal Reconstruction From Highly Incomplete Frequency Information"). http://home.ustc.edu.cn/~zhanghan/cs/Candes%20et%20al.06.pdf – Alex R. Aug 10 '14 at 05:08
161

The histogram of all OEIS sequences shows an unexpected gap known as Sloane's gap. The plot shows how cultural factors influence mathematics. (http://arxiv.org/abs/1101.4470v2)

enter image description here

paw
  • 101
  • 8
    This is really interesting! – Per Alexandersson Aug 10 '14 at 21:05
  • 89
    $N(n)$ is the number of times an integer $n$ occurs in the database. (This wasn't clear to me from the plot.) – Kirill Aug 11 '14 at 10:00
  • Finding interesting correlations in seemingly trivial concepts. I love it. – AndreasT Aug 12 '14 at 01:52
  • 75
    From the article: "[...] the series of absent numbers was found to comprise 11630, 12067, 12407, 12887, 13258...". What about an OEIS sequence made up of numbers that aren't members of any OEIS sequence? :) –  Aug 26 '14 at 11:51
  • 1
    11630 is in five OEIS sequences, for example, http://oeis.org/A163279, which was posted in 2009. 12067 is in 9 sequences, including http://oeis.org/A163675, from 2009. 12407 is in two sequences, 12887 in seven, 13258 in three. – Gerry Myerson Jun 22 '15 at 23:54
  • 1
    What is the first number that isn't member of any OEIS sequence at this time (2016) ?! –  Mar 11 '16 at 19:12
  • 1
    @2000 Just went through the database: 14972 is your answer. – paw Mar 11 '16 at 23:39
  • 14
    It is better to link to arxiv abstract pages and not the PDF directly – Mariano Suárez-Álvarez Mar 13 '16 at 01:50
  • 1
    @MarianoSuárez-Alvarez, since this fortuitously changes more than 6 characters, it is very easy to fix (so I have done so). – LSpice Jun 09 '16 at 21:08
  • 2
    @paw, 14972 is in http://oeis.org/A272544, "Number of active (ON,black) cells at stage $2^n-1$ of the two-dimensional cellular automaton defined by `Rule 493', based on the 5-celled von Neumann neighborhood." The entry was made on 2 May 2016. – Gerry Myerson Jun 09 '16 at 22:58
  • 1
    Note that on the first page of PDFs from the arXiv there is a direct link (in the left hang margin) to the arXiv abstract page. So you can get quickly from the PDF to the abstract, not just vice versa. Still, because loading PDFs is slower than HTML, I agree with Mariano Suárez-Alvarez that linking to the abstract is preferred. – Jess Riedel Feb 26 '17 at 18:34
  • 2
    I made a similar plot back in 2006 by querying Google for each number and using the purported number of search results as a value. Sloane's gap appears here too, separating primes from ordinary numbers: http://imgur.com/a/edAhR – Dan Brumleve Feb 26 '17 at 21:08
127

Some years ago I was pleasantly surprised when an idea of Jan Mycielski led me to find a very explicit Banach-Tarski paradox in the hyperbolic plane, $H^2.$ $H^2$ can be decomposed into three simple sets such that each is a third of the space, but also each is a half of the space.

In fact, I found recently how to this even a little more simply, but I like this picture. The second image is just a viewpoint shift of the first, but makes evident how the blue and green together are congruent to the red.

enter image description here

Michael Hardy
  • 11,922
  • 11
  • 81
  • 119
  • 2
    Is this a troll? Look at the center of the circle. The top image has 3 lines through it, and the bottom one doesn't. They're not the same image... – Clark Gaebel Feb 27 '17 at 02:27
  • 21
    The author didn't mention it, but the images are not standard Euclidean 2D plane, but rather are projections of hyperbolic plane using a Poincare disk projection. It has a fisheye-like effect: Straight lines appear as circular arcs meeting the bounding circle at right angles. The outer circle is the projection of all the points at infinity. The projection can be re-centered and thus altered yet describe the same ideal image. – Jonathan Lidbeck Feb 27 '17 at 06:57
  • 28
    Gee, I've never been called a troll before. Lidbeck has it perfectly right. It is like the viewer is in an airplane and moves from being over one point (where 3 lines intersect) to being over another point (the center of image #2, where there are no intersections. I have a demo of this that actually shows the motion: it is at: http://demonstrations.wolfram.com/TheBanachTarskiParadox/ – stan wagon Feb 28 '17 at 02:51
  • Yes, but how is it connected to Banach-Tarski paradox? It is like a straight line on an Euclidean plane: from one point it looks like dividing the plane in two halves, while from another point it looks like one part is definitely greater. – Anixx Mar 20 '21 at 17:11
  • 7
    The heart of the BT Paradox is the partition of a group era set into three sets so that they are all congruent (so each is a third of the group or set), but also any two are congruent to the third (so each is also a half of the group or set). In the image above, the upper images shows that red is congruent to grey is congruent to blue, so each is a third. But when the viewpoint is changed, and green is turned to light blue, one sees that red is congruent to blue+green, which appears as blue + light blue. – stan wagon Mar 21 '21 at 19:57
116

One can obtain a nice picture showing somewhat unexpected patterns by marking all rational points on the unit sphere whose coordinates have denominator less than some upper bound, and projecting this to one of the coordinate planes (cf. this answer of mine to another question). The following picture shows such projection of one octant of the sphere:

alt text

This picture in resolution 2048 x 2048 pixels can be found at https://stefan-kohl.github.io/images/sphere1.gif.

Update: The picture has meanwhile been used on the website of the AMSI/AustMS workshop "Geometry and Analysis", Flinders University, Adelaide, September 25 – September 27, 2015.

Stefan Kohl
  • 19,498
  • 21
  • 73
  • 136
71

Sorry for the duplicate with @paw 's entry , but I'm the discoverer of Sloane's gap and I don't have enough reputation here yet to comment his/her answer...

So here is another explanation of this phenomenon I propose in http://www.drgoulu.com/2009/04/18/nombres-mineralises/ with this figure:

enter image description here

  • primes are shown in red,
  • perfect powers are shown in green
  • highly composite numbers are shown in yellow

Since these numbers cover most of the "high zone" of Sloane's gap, I suspect the gap arises from the fact that many OEIS properties are derived from a few very basic ones like the 3 listed above. So numbers in these sequences will very likely also be present in many other sequences.

Tadashi
  • 1,580
Dr. Goulu
  • 403
  • 27
    About 6 percent of men (many less women) are blindcolour. Please be nice for these disabled persons and don't use green and red spots in the same figure. – Denis Serre Mar 11 '16 at 15:12
  • 2
    What do the axes mean? And what are the blue dots? – darij grinberg Mar 12 '16 at 23:33
  • 5
    the plot shows for each integer n=1..10000 the number of sequences in OEIS in which n appears. The unexpected thing is the white strip in the points cloud, which shows there are numbers more "interesting" (above) than others (below). The blue dots are numbers which do not belong to the 3 "base" properties (primes, perfect powers, HCN) – Dr. Goulu Mar 14 '16 at 06:22
  • 6
    I made a similar plot back in 2006 by querying Google for each number and using the purported number of search results as a value. Sloane's gap appears here too, separating primes from ordinary numbers: http://imgur.com/a/edAhR – Dan Brumleve Feb 26 '17 at 21:05
  • 1
    So, basically, primes. – Anixx Mar 20 '21 at 17:21
  • What about powers of two, factorials, powers of two factorial times, Bernoulli numbers? – Anixx Mar 20 '21 at 17:23
  • Where can we find the raw data for this? One $(x,y)$ pair for each dot? Maybe in the form of many rows of length $2$ with a comma or a blank space between the two entries in each row? – Michael Hardy Oct 22 '23 at 20:46
70

John Baez explains here how plotting the roots of polynomials with integer coefficients led to patterns ressembling well known fractals, and how some people figured out ways to explain the unexpected connection.

Jules Lamers
  • 1,813
godelian
  • 5,682
  • Reminds me of the popular complex plane fractal "inside" colouring algorithm "Triangular Inequality Average" with some of the more angular fractals like the Burning Ship, and Nova. – alan2here Mar 12 '17 at 04:16
  • 2
    I produced a wide variety of images with greater symmetry at the time. I recently revisited this as a little project https://github.com/evanberkowitz/littlewood/ – evanb Sep 25 '20 at 03:56
68

This image, from the MO question "Gaussian prime spirals," was certainly unexpected:


      3_5i.jpg
But the main question I raised,

Q1. Does the spiral always form a cycle?

seems out of reach (as per François Brunault's comment) under "current technology." (Stan Wagon found a cycle of length 3,900,404.)

Joseph O'Rourke
  • 149,182
  • 34
  • 342
  • 933
61

I think that Barnsley's Fern is a really surprising image, that such complex shapes can be encoded in four very simple affine transformations.
Barnsleys fern

If you allow for a larger class of functions (stochastic, $\mathbb{R}^3 \to \mathbb{R}^3$, and introduce a log-density plot and color each point according to orbit history, the possibilities are endless (image created by Silvia C.):
Flame fractal

The most common applications of the latter algorithm seems to be producing abstract book covers for books about the universe:
The Grand design Asymptotic time delay Biocentrism

polfosol
  • 573
  • 2
    By sheer coincidence, I've been listening to Bloom Ascension by Steve Roach while reading this thread, and the album cover looks very similar to the Sylvia C image: https://steveroach.bandcamp.com/album/bloom-ascension. – Todd Trimble Aug 24 '19 at 00:07
  • 2
    @ToddTrimble Ah, yes the cover image is also generated by the flame fractal algorithm. The picture you refer to is a "bloom" style fractal - image googling for "bloom fractal" gives a bunch of more examples :) – Per Alexandersson Aug 24 '19 at 05:19
  • 1
    If the points that make up the fern build up tone continuously rather than taking one step to change foreground (green), into background (white), the view is zoomed a little perhaps near but not at the base, and the transformations/symmetry shapes are moved around a little to taste, for example so they are less tidy and overlap more. Then as with flame fractals the results can be really good, visually uncanny. – alan2here May 19 '20 at 22:53
55

I'm guessing that no one expected uniformly random Aztec diamonds (and similar lozenge/domino tilings) to exhibit circular limit shapes with frozen regions outside.

enter image description here

The colors in the image are determined from a certain combinatorial object called a height function.

There are a number of ways of generating these images, but the most useful one is via the domino shuffling algorithm. Essentially one builds successively larger uniform tilings by taking a uniformly random $n\times n$ tiling and then expanding it followed by filling in the blanks thus getting a uniformly random $n+1$ tiling.

A nice summary can be found here.


Add-on (29 March 2017). It was recently found [arXiv:1702.05474] that the interior of the circle also hides interesting patterns. These are not clear in single configurations, such as the 'typical' tiling shown above, but emerge after averaging over all possible configurations. The following shows a quadrant of the square, rotated over $\pi/4$:

figure

The uniform grey areas here correspond to the uniform coloured areas in the above picture. The bottom-left panel ($\Delta=0$) corresponds to domino tilings of the Aztec diamond. The density profile plotted contains information about average domino tilings (and configurations of a related model, see below). Two types of oscillatory patterns are clear inside the circle, one with dark bands following the circle, and one with hyperbola-like bands with asymptotes given by the two diameters of the circle that are orthogonal to the square bounding the circle (which would form an "x" in the middle of the color picture above).

In fact, domino tilings of the Aztec diamond are related to (a special one-parameter case of) the six-vertex model from statistical mechanics, with parameter $\Delta\in\mathbb{R}$, cf. this MO Q&A. At the "combinatorial" or "ice" point $\Delta=1/2$ the patterns seem almost invisible, but interestingly at the "critical point" $\Delta=-1$ there are further "higher" patterns with several saddlepoint-like features. A few weak saddle-like features can be discerned along the diagonal for the domino case $\Delta=0$ too. Especially the higher oscillatory patterns seem to be new, and beg for a mathematical understanding. From arXiv:1702.05474 (p.12):

A more quantitative understanding of these vertex-density oscillations in the temperate region, e.g. using the methods of [28] or [32], would be very interesting. In fact, similar finite-size oscillatory behaviour is known to occur for the eigenvalue distributions in random-matrix models [56], see e.g. [57]; this might shed light on the oscillations at least for $\Delta=0$, cf. [28].

Alex R.
  • 4,902
  • 2
  • 40
  • 66
  • I believe you're looking at moire. https://en.wikipedia.org/wiki/Moir%C3%A9_pattern – John P Dec 11 '18 at 08:24
  • @JohnP I agree that it looks a lot like a Moiré pattern, but this is not an artifact of the image rendering -- the figure shows a discrete probabilistic model (the six-vertex model) defined on a square lattice, where the gray-scale of each little square in the figure -- which are more clearly visible in the full-size version of the figure in the top panel -- represents some local expectation value for each vertex. – Jules Lamers Apr 10 '21 at 03:55
  • 1
    This reminds a me a bit of the pictures you get when you plot Krawtchouk (or Kravchuk) matrices ( https://en.wikipedia.org/wiki/Krawtchouk_matrices ), with black for positive values and white for negative values. Unfortunately I cannot find any of these pictures on the Internet. (I had made ones myself a while ago, but did not keep them. If there is popular demand, I can probably re-draw them.) – Ilia Smilga Jul 01 '21 at 09:39
  • 1
    This looks like a "wavy" function sampled at integer coordinates ("defined on a square lattice"). That's precisely what gives rise to moiré patterns. – Szczepan Hołyszewski Oct 18 '22 at 19:44
  • 1
    @IliaSmilga Like in https://mathoverflow.net/q/440958, I suppose? Interesting. Krawtchouk matrices are indeed known to be related to this setting (cf e.g. Johansson, https://arxiv.org/abs/math/0306216). – Jules Lamers Mar 17 '23 at 08:58
  • Yes, exactly! Glad to see some activity around these - I have a very long-standing fascination with these matrices. – Ilia Smilga Mar 17 '23 at 22:24
43

Suppose we have a function representated as discrete Fourier series (DFS). Each DFS coefficient has an argument and modulus. But which of them is more important?

This strange question was discussed in the book "Two-Dimensional Phase Unwrapping: Theory, Algorithms, and Software" by Dennis C. Ghiglia and Mark D. Pritt. The following picture illustrates the answer:

enter image description here

In the first row you see Lena and Tiffany. Second row contains their DFS's absolute values and arguments.

In the last row there are LenaTiffany (absolute values from Lena, arguments from Tiffany) and TiffanyLena (absolute values from Tiffany, arguments from Lena). So it is clear that arguments are more important than absolute values!

Ghiglia and Pritt in their book crossed Einstein with Mona Lisa. This picture is taken from the talk "Control for high resolution imaging" by Oleg Soloviev (Delft University of Technology and Flexible Optical B.V.), course Control for High Resolution Imaging.

Gerry Myerson
  • 39,024
  • You answer made me remembering something from my electronic engineering training: in the past, when everything was analog (as opposed to digital) electronics, video amplifiers (the devices in the "big" TV sets) had their bandwidth specified at $-1\mathrm{dB}$ instead of $-3\mathrm{dB}$ as it is customary. Why? Because the eye is more sensitive to phase distortion than the ear, thus even if the amplitude is not so different, few degrees of difference on the phase of a sinusoid can undermine the correct image reconstruction. – Daniele Tampieri Oct 16 '23 at 18:57
  • 1
    @DanieleTampieri in response to your query-via-flag: you don't have to do anything – David Roberts Oct 19 '23 at 01:42
  • @DavidRoberts thank you David, I'll do so. – Daniele Tampieri Oct 19 '23 at 04:23
  • 1
    If $a,b$ are translations of each other, then $|\mathcal{F}(a)|=|\mathcal{F}(b)|$, so the absolute value of the Fourier transform does not give any information for example about where the eyes should be. I therefore would not expect the inverse Fourier transform of the absolute value of the Fourier transform to look like the original image since it at least has to be translated. But the absolute value of the Fourier transform is still important if one wants to compute translation invariant characteristic of the image. – Joseph Van Name Oct 26 '23 at 12:17
37

This image shows the boundary of the space of "stabilizable matrices", which in some precise sense dictate the behavior of the scaling limit of the abelian sandpile model on the grid $\mathbb{Z}^2$:

enter image description here

This image is taken from http://arxiv.org/abs/1208.4839. See also http://arxiv.org/abs/1309.3267. The appearance of Apollonian circle packing in questions related to the scaling limit of the abelian sandpile model and integer superharmonic functions was quite unexpected. As I understand it, the connection was made by computing the above image numerically (and maybe it was even the case that the authors thought they had a mistake in their code when these fractal patterns emerged?).

Sam Hopkins
  • 22,785
33

The Hofstadter butterfly enter image description here

plots, as a function of the $y$-coordinate, the spectrum of the almost Mathieu operator $H^y:l^2(\mathbb Z)\to l^2(\mathbb Z)$ $$H^y(f)(n)=f(n+1)+f(n-1)+2\cos(2\pi ny)f(n).$$

30

A long time ago, while attempting to classify certain two-dimensional rational conformal field theories (these are certain quantum field theories which enjoy a particular high level of mathematical rigorosity), I found an interesting image which is related to the modular group $\mathbb{P}\mathrm{SL}(2,\mathbb{Z})$, i.e. the matrices $$ M = \begin{pmatrix}a & b\\ c& d\end{pmatrix}\,,\ \ \ \ a,b,c,d\in\mathbb{Z}\,, \mathrm{det}\,M = +1\,. $$ Leaving out the details of my classification attempts, I discovered a set of certain conformal field theories characterized by two real parameters $x$ and $y$. They turned out to be rational if and only if $x=a/d$ and $y=b/c$ are both rational numbers with the additional condition that $ad-bc=1$. The connection to the elements of the modular group should be clear from my suggestive notation.

Now, within the classification of conformal field theories, it was natural to look at the $x$-$y$-plane and plot all the points which belong to the set of the rational theories -- which produces the following type of image (showing the first quadrant, and only points with $x<1$ and $y<1$), which I called "modular chaos".

modular chaos

As one might guess, this is only a crude approximation as only points up to a (rather small) maximal denominator are plotted. In fact, one can show that the emerging pattern is dense in $\mathbb{R}^2$, but it is also apparent that it has some fractal-like structure. (Actually, to be more precise, to have points in all four quadrants of the $x$-$y$-plane, one has to consider the weaker condition $ad - bc = \pm 1$.

The above image is not yet particular beautiful, but one can consider the whole plane and use a Poincare map to squeeze it into a unit disk. To enumerate and plot the valid points, one generates the modular group by the two matrices $$ S = \begin{pmatrix}0 & -1\\ 1 & 0\end{pmatrix}\,,\ \ \ \ T = \begin{pmatrix}1 & 1\\ 0 & 1\end{pmatrix}\,, $$ keeping in mind the relations $S^2=(ST)^3=\mathbb{1}$. It is relatively easy to generate the group in terms of words in $S$ and $T$ up to length $40$ as a binary tree. Encoding by color the length of the word, one finds the following much nicer image.

greater modular chaos

If you are interested in the connection to conformal field theories, see my two works arxiv:hep-th/9312097 and arxiv:hep-th/9207019. The one from 1993 contains my "proof" that the set is dense in the $\mathbb{R}^2$. I apologize to the mathematicians for the lack of rigor, I am a mere theoretical physicist.

Nithilher
  • 81
  • 3
  • 7
29

enter image description here

The spiral of prime numbers (white dots) the "pattern" is amazing, for an explanation of the picture you can take a look to this short youtube video.

Andrés E. Caicedo
  • 32,193
  • 5
  • 130
  • 233
Ilias A.
  • 1,974
28

A recent blog post from google shows what happens if you enhance the parts of an image that triggers image recognition (using neural networks) of certain features.

The results are quite spooky, and reveal some hidden structure on what the neural network actually look for when recognizing certain features.

This is the text about the image below:

Instead of exactly prescribing which feature we want the network to amplify, we can also let the network make that decision. In this case we simply feed the network an arbitrary image or photo and let the network analyze the picture. We then pick a layer and ask the network to enhance whatever it detected. Each layer of the network deals with features at a different level of abstraction, so the complexity of features we generate depends on which layer we choose to enhance. For example, lower layers tend to produce strokes or simple ornament-like patterns, because those layers are sensitive to basic features such as edges and their orientations.

Example

  • 4
    ok but neural network are also quite random, and if they do the job or not is quite random too. so you enhanced some random features of the image :) – reuns Mar 11 '16 at 18:47
  • 9
    @user1952009 These patterns are not random at all. These are the result of edge detecting filters and other features useful for image recognition. – Houshalter Feb 26 '17 at 17:55
  • This is truly amazing! This may sound ridiculous, but perhaps neural networks one day may give a hint to us how extraordinary minds like Van Gogh viewed the world. – Onur Oktay Aug 15 '21 at 21:06
26

there are many aspects of the Collatz conjecture that lend themselves to visualization to the point that significant research insights not found elsewhere can be found in basic graphs of its properties, and a visualization-based/-centric approach can constitute the base of a major "attack" on the problem. one might state that it is an entirely new form of mathematical exploration when combined with computational experiments. with a few caveats on this notoriously difficult problem that even top experts like Erdos are quite wary of:

  • note the literature on Collatz is quite sizeable and not highly detailed anywhere (although there are good high-level surveys/ overviews by Lagarias).
  • many visualizations of it only look very random, so a lot of ingenuity is required but also rewarded.

here is one such striking example that apparently has not been published (outside of cyberspace).

this visualization shows the function/graph/tree $f'^n(x)$ where $n$ is the $n$th iteration of the Collatz function working in reverse. ie the function starts at 1 and based on the conjecture, visits all integers. the $x$ axis is logarithmic scale. a $2n$ operation moves upward to the right, a $(n-1)/3$ operation moves up to the left. there are two inset details of line intersection "closeups" that show the fractal quality, somewhat reminiscent of the rings of Saturn.

the insight is that this shows the dichotomy/ juxtaposition of order (macroscopic) vs randomness (microscopic) in the problem and leads to other ideas/ strategies about how to approach further analysis.

plots were generated with Ruby/Gnuplot. more details on generation and other visualizations on this page.

polfosol
  • 573
vzn
  • 529
  • 6
    There's a really nice video with some fascinating visualizations of this here, they kind of blow away the traditional visualizations. – Jason C Apr 30 '17 at 23:42
24

When I was plotting some parametric curves, accidentally I found this one:

$x=t\cos^3(t)$

$y=9t\sqrt{| \cos(t)|}+t\sin(\frac{t}{5})\cos(4t)$

$0<t<\frac{39\pi}{2}$

enter image description here

Glorfindel
  • 2,743
21

Hardly research level, though visually interesting.

These might show some relations between the discrete and the continuous.

For integer $n$, let $M$ be $n$ by $n$ matrix. For some function $F$, define $M_{x,y}=F(x,y) \mod n$.

Map $M_{x,y}$ to shadows of grey where smaller is darker and larger is closer to white.

Here are some examples for $F(x,y) \in \{x^2+y^2,4x^2+y^2,x^3+x-y^2,xy\}$.

$$x^2+y^2, n=503$$ enter image description here

$$4x^2+y^2, n=503$$ enter image description here

$$x^3+x-y^2, n=503$$ enter image description here

$$xy, n=1961=37\cdot 53$$ enter image description here

joro
  • 24,174
  • What is your $n$ ? – darij grinberg Aug 09 '14 at 10:59
  • @darijgrinberg for the first 3, n=503. For the last n=1961 = 37*53 (to show relation to factoring). – joro Aug 09 '14 at 11:05
  • 1
    @joro: This is quite nice, I remember experimenting a lot on my graph calculator with this type of patterns when I was half my current age. – Per Alexandersson Aug 09 '14 at 11:35
  • @PerAlexandersson I don't claim novelty. Saw the first as avatar on a forum loooong ago. – joro Aug 09 '14 at 11:38
  • These types of images I found very rare. Thanks for uploading it. –  Aug 09 '14 at 11:02
  • Nice! In your first picture there appear horizontal and some vertical stripes at a constant distance of ~20. Please reassure me that those are not part of the picture, but due to resolution/pixel problems. – Wolfgang Aug 09 '14 at 12:54
  • @Wolfgang I am not sure the lines are real. PNG compresses, so they might be artifacts of compression. Will try with something lossless. – joro Aug 09 '14 at 13:07
  • 2
    @Wolfgang The lines appear artifacts of scaling. On a bigger plot they disappear: http://s12.postimg.org/fpi9upxgt/x_2_y_2_2.png – joro Aug 09 '14 at 13:15
  • @PerAlexandersson Is there explanation of all of my plots? Larger plot of the first remotely resembles the plot in the oldest answer: http://s12.postimg.org/fpi9upxgt/x_2_y_2_2.png – joro Aug 09 '14 at 14:58
  • @joro: The plots should agree with the corresponding level curves, so my strong suspicion is that it is just the level curve set, but "colored" with a strange function; taking mod is sort of "strange". Thus, the pictures are explained by level curves and interplay with coloring function. – Per Alexandersson Aug 09 '14 at 15:18
  • @PerAlexandersson Actually I am asking why taking mod preserves the corresponding curves. mod is discrete, curves are not. – joro Aug 09 '14 at 15:43
  • 3
    Imagine drawing mod n, mod 2n, mod 3n,... the picture will be essentially the same, just the period between repeating "colors" (or shadows of grey) changes. Likewise between mod n and mod (n+1) etc. So, as @Per also says, the "discretisation" doesn't reveal many more details. You might as well define a continuous (say, periodic) color spectrum. – Wolfgang Aug 09 '14 at 16:39
  • 1
    Such pictures were discussed in "Kvant" magazine, see http://kvant.ras.ru/1987/11/pti.htm – Alexey Ustinov Aug 23 '16 at 11:33
  • that last picture looks a lot like artifacts that appeared on images I generated using fourier transforms of sine waves: https://lh3.googleusercontent.com/-0fNn0QHwwPg/T3FpdUtrs9I/AAAAAAAACtE/rz-ekmKxqXU/w1060-h842-p-rw/inacurrate.png – jes5199 Feb 27 '17 at 00:16
21

Abelian sandpile model:

Abelian sandpile model

The picture is taken from The Amazing, Autotuning Sandpile by Jordan Ellenberg.

  • 2
    Abelian sandpile model on a square grid, to be more precise. See other grids at http://www.math.cmu.edu/~wes/sandgallery.html . – darij grinberg Aug 20 '15 at 13:30
20

I was computing various (2D orthogonal) projections of the Leech polytope (the $196\,560$ points forming the smallest shell of the Leech lattice focusing on those which exhibit various symmetries (viz., eigenplanes from various elements of $\mathrm{Co}_0$, or combinations of such planes), and I stumbled upon this delightfully “snowflaky” projection:

A projection of the first shell of the Leech lattice

(it comes from class 30D of $\mathrm{Co}_0$, in the ATLAS notation, starting from an eigenplane on which the latter acts as a rotation of $2\pi/10$, and shifting it ever-so-slightly toward an eigenplane on which it acts as a rotation of $2\pi/15$; to be clear, this is just a particular orthogonal projection to $\mathbb{R}^2$ of the $196\,560$ points of the first shell of the Leech lattice).

I am very much reminded of the way Conway describes the sporadic simple groups as “Christmas tree ornaments” in this Numberphile video (at 12′16″ in the video).

This Twitter thread has a number of similar images.

Gro-Tsen
  • 29,944
  • 4
  • 80
  • 335
19

When Thierry Gallay and I introduced the Numerical measure of a matrix, we encountered the following simulation of the measure density (here a $3\times3$ matrix). This lead us to conjecture, and eventually prove, that the density is constant (in general, a polynomial of degree $n-3$) in the curved triangle. We eventually made a link with the theory of lacunae of hyperbolic differential operators.

The lines are level lines of the density. The outer line, where the density vanishes, is the boundary of the Numerical range. It is convex, according to the Toeplitz-Hausdorf Theorem.

Denis Serre
  • 51,599
19

Tupper's Self-Referential Formula is an inequality defined by:

$$\frac{1}{2} < \left\lfloor \mathrm{mod}\left(\left\lfloor {\frac{y}{17}} \right\rfloor 2^{-17 \lfloor x \rfloor - \mathrm{mod}(\lfloor y\rfloor, 17)},2\right)\right\rfloor$$

The best part of this is that when we plot it in certain range the $\textbf{graph is the formula itself} $

enter image description here

  • 14
    Why is this surprising? What images can't you encode by choosing some n? It looks like that n might contain more information that the image. – Douglas Zare Nov 13 '16 at 00:11
  • 13
    That’s right: the formula is just a gimmick for displaying an arbitrary 17-row bitmap encoded in the binary value of n. Since n is not part of the output, there’s no self reference—in fact, Tupper himself never called the formula “self-referential”. For details, see my Quora answer at http://qr.ae/TklUCI. – Anders Kaseorg Feb 26 '17 at 22:36
17

Students learning about polar coordinates for the first time may investigate the "roses"

rose

roses

Maybe they will even discover "greatest common divisor" from these.

Gerald Edgar
  • 40,238
16

This is unexpected Voronoi diagram (see the full story). By zooming in and out of the following pictures, such a picture can be seen on the screen for a short time (less than 1 second).

unexpected Voronoi diagram

It illustrates not the Voronoi diagram but a "brittle view of the internal logic of the X86 FPU". The same page contains some examples which are almost the same as pictures from the answer of joro but much more funny:

sin_2

sin_3

sin_9

Such pictures were discussed in Russian "Kvant" magazine.

16

The first sequence without triple in arithmetic progression
MathOverflow post - A229037 - Numberphile video (from 3:36 to 7:41) enter image description here enter image description here

The following colored plot of 16 million terms is due to reddit user garnet420 (horizontal divisions are 1000000; vertical divisions are 25000).

enter image description here

A variation by Richard Stanley: we only exclude the triple in weakly increasing arithmetic progression
MathOverflow post (last part) - Comment - A309890 - Listen it (marimba, incredibly pleasant!) enter image description here enter image description here

15

Having browsed all these fantastic images several times, only now did I remember that I also have something really unexpected to show. Many years ago Winfried Bruns suggested certain question about generic $n$-vectors (homogeneous elements in exterior algebras). I could not contribute much, and still return to his question from time to time. One really surprising feature we encountered there is some fractal-like pattern out of the blue.

For some "generic" field $k$, take a generic element $a\in\Lambda^n(k^{3n})$. Exterior multiplication by $a$ induces a linear operator $a\wedge\_:\Lambda^n(k^{3n})\to\Lambda^{2n}(k^{3n})$, which in the standard bases may be viewed as a (square) $\binom{3n}n\times\binom{3n}{2n}$-matrix. Plotting just nonzero entries of this matrix reveals something that was really unexpected for me. Here is an example with $n=5$ (a $3003\times3003$-matrix, since $\binom{15}5=\binom{15}{10}=3003$): enter image description here

14

The following shows a plane section of the $E_8$ lattice along a random translate of a Coxeter plane (plane of symmetry of order $30$). The gray scale indicates the (squared) distance to the the closest lattice point (with pure black indicating the distance $0$ and pure white indicating the distance $1$; so the light lines essentially show the Voronoi diagram of $E_8$ intersected along this plane):

Plane section of the E₈ lattice parallel to a Coxeter plane

I find it fascinating how approximate order $30$ symmetry appears in various places in this image.

It is even more interesting in video, where we can see the Voronoi cells appear and disappear as we translate the plane of section:

(In each case, the plane section is translated uniformly along a random axis perpendicular to it; in the latter two videos, the plane encounters a lattice point at the exact middle of the video and in the center of the image: this reveals a spectacular perfect symmetry at this point, while the symmetry is only approximate at other times.)

I also experimented with other kinds of coloring (defining the color of a point by the projection of the nearest lattice point along three perpendicular axes, see here), but they don't seem as visually interesting.

Gro-Tsen
  • 29,944
  • 4
  • 80
  • 335
  • "I find it fascinating how approximate order 30 symmetry appears in various places in this image." Tge Euler totient of 30 is 8, so an eight-dimensional lattice has a 30-fold quasilattice projection. See my answer to this q. The numbers 15, 16, 20 and 24 also have Euler totients of 8. – Oscar Lanzi Sep 26 '22 at 19:32
12

What do numbers look like? ( John Williamson) https://johnhw.github.io/umap_primes/index.md.html

Very interesting visualizations have been obtained relatively recently. Just the integers from 1 to 1 mio have been considered, each integer converted to a vector corresponding to its prime decomposition, thus obtained a dataset in higher-dimensional space, and final step is applying dimensional reduction technique (UMAP (see e.g. John Baez's blog for discussion)) to get 2-dimensional matrix which is visualized.

Other sequences can be processed in a similar way to get more beautiful pictures (see the link above).

What do numbers look like? ( John Williamson)

PS

Imho, the outcome is very unexpected, it might happen that certain patterns more likely due to UMAP, rather due to hidden patterns in integer numbers.

12

A classical exercise in a first calculus course is to find a function $f:[0,1]\to \mathbb{R}$ whose discontinuity points are precisely the rational points. An example is the "popcorn function": $$ f(x)=\begin{cases} 1/q \text{ if } x=p/q\in \mathbb{Q} \text{ (in reduced form)} \\ 0 \text{ if } x\notin \mathbb{Q} \end{cases} $$

sssss

I was certain that this function is the type designed purely for counter-example purposes, and not the one you would come across "in nature"; up until a year ago when I tried to understand the space of characters of the discrete Heisenberg group. It happens to be a bundle over a circle, where the fiber of a point $x$ is a torus of size $f(x)$:

enter image description here

The meaning of the term character I use here is in the sense of Thoma, as explained in this book. It extends the notion of characters of abelian groups in the Pontryagin sense and of finite groups in the Frobenius sense, and thus provides a way of doing harmonic analysis on arbitrary groups.

In a recent paper, Bader and I study dynamics and random walks on the space above (as well as dual spaces of other nilpotent groups), for the sake of understanding arithmetic groups.

11

The Mandelbulb is a three-dimensional fractal, constructed by Daniel White and Paul Nylander using spherical coordinates in 2009.Mandelbulb from wikipedia

  • 2
    These have been found 12 miles below the surface of the Pacific Ocean, where they are thought to have lived for about $21.5$ billion years, having come here from extraterrestrial places. They are the only highly intelligent life forms on Earth. – Michael Hardy Oct 22 '23 at 19:39
11

The Hasse diagram of a (partially) ordered set is often used to graphically represent an order relation; one may think of it as the minimal directed acyclic graph inducing this relation (its transitive reduction), with all arcs drawn from top to bottom.

The partitions of an integer $n$ (non-increasing sequences of integers of sum $n$) are ordered by the dominance order. A similar order may be defined on the different ways to write an integer $n$ as a sum of powers of integer $b$. Both have the lattice structure, and have a striking self-similar structure.

This self-similar structure was first noticed by observing the following drawings of Hasse diagrams.

The first one is defined over the integer partitions of $40$ and its self-similarity was studied in this paper.

                             configuration lattice of the SPM with n=40

The second one is defined over the partitions of $80$ into powers of $2$ and its self-similarity was studied in this paper.

partitions of 80 into powers of 2

They are also mentioned in this discussion.

10

Since the oeis has added the feature of having sequences displayed graphically, it has become so much easier to get a quick impression of their behaviour, particularly for many self similar sequences.

Wolfgang
  • 13,193
  • Do you know any instances where one of these pictures have lead to an insight, or unexpected development? – Per Alexandersson Aug 09 '14 at 08:15
  • @PerAlexandersson I don't know if these pictures have already raised unexpected developments, but obviously they allow deeper insights, e.g. comparing the toothpick sequence http://oeis.org/A188346/graph with this one http://oeis.org/A187210/graph. – Wolfgang Aug 09 '14 at 08:44
10

The discovery of the special nature of Costa's minimal surface has been made on a visualization.

Generally visualization seems to play an important role in the study of minimal surfaces.

Manfred Weis
  • 12,594
  • 4
  • 34
  • 71
10

We were highly impressed how very similar growth rules can form a mushroom shape. In the model, each point the growing fungi (network of the thin threads) generates some abstract scalar field. The tips turn towards preferred value of the field and branch when the field drops below some threshold. Add the preferred 45 degree orientation in the earth gravity field - and this is enough to make the system to grow into almost perfect shape of the most primitive mushrooms. Complete description and equations can be found in the published articles, referenced from the neighbour sensing model entry in Wikipedia.

enter image description here

h22
  • 101
10

Coefficients of cyclotomic polynomials with composite number:

enter image description here

The picture is taken from slides of the talk Cyclotomic Numerical Semigroups-2 given by Pieter Moree at International meeting on numerical semigroups with applications.

More images here

9

The very top of the large cardinal hierarchy was an unlikely place to look for computer generated mathematical images.

The $n$-th classical Laver table is the unique algebra $A_n=(\{1,\ldots,2^n\},*_n)$ where

  1. $x*_n(y*_n z)=(x*_n y)*_n(x*_n z)$, and

  2. $x*_n 1=x+1\bmod 2^n$.

Let $\mathcal{E}_\lambda$ be the set of all elementary embeddings $j:V_\lambda \rightarrow V_\lambda$. The critical points of non-trivial elementary embeddings $j\in\mathcal{E}_\lambda$ are known as rank-into-rank cardinals and the rank-into-rank cardinals are among the largest of the local large cardinals and the axiom positing the existence of a rank-into-rank cardinal is one of the strongest large cardinal axioms.

Define an operation $*$ on $\mathcal{E}_\lambda$ by $j*k=\bigcup_{\alpha<\lambda}j(k|_{V_\alpha})$. For each limit ordinal $\gamma<\lambda$, let $\equiv^\gamma$ be the equivalence relation on $\mathcal{E}_\lambda$ where $j\equiv^\gamma k$ iff $j(x)\cap V_\gamma=k(x)\cap V_\gamma$ for each $x\in V_\gamma$. Then for all $j\in\mathcal{E}_{\lambda}$ and limit ordinals $\gamma<\lambda$, there is some $n$ where $(\langle j\rangle/\equiv^\gamma)\simeq A_n$.

Let $L_n:\{0,\ldots,2^n-1\}\rightarrow\{0,\ldots,2^n-1\}$ be the mapping where $L_n(x)$ is the number obtained by reversing the digits in the binary expansion of $x$. In other words, $L_n(\sum_{k=0}^{n-1} a_k 2^k) = \sum_{k=0}^{n-1}a_k 2^{n-1-k}$.

Define an operation $\#_n$ on $\{0,\ldots,2^n-1\}$ by $x\#_n y=L_n(((L_n(x)+1)*_n(L_n(y)+1))-1)$.

In the following image, each pixel of the form $(x,x\#_n y)$ (we use matrix coordinates here) is colored white while all of the other coordinates are colored black (here $n=9$ so the image is a $512\times512$ image). As $n\rightarrow\infty$, the resulting image will give one finer and finer detail about the classical Laver tables.

enter image description here

At this link, you may zoom into the above image of the classical Laver tables.

All of the information about $A_9$ is contained in the above image.

The white points actually form a subset of a Sierpinski-like triangle. However, the white points are so sparse that the resulting image hardly resembles the Sierpinski triangle. However, while the white points do not quite make the Sierpinski triangle, if there exists a rank-into-rank cardinal, then every white point in this image has fractal structure if you zoom extremely far into the image and let $n\rightarrow\infty$.

This image is not the only image you may obtain from the classical Laver tables since on this answer, I have posted other images obtainable from the classical Laver tables and generalized Laver tables. You may also generate your own images obtainable from the generalized Laver tables here.

Michael Hardy
  • 11,922
  • 11
  • 81
  • 119
8

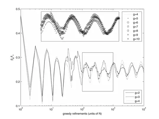
This image shows the behavior of a certain function (basically, the "inverse temperature modulo a timescale") associated to various "greedily refined" Markov partitions for the geodesic flow on a g-torus as a function of the (log-) number of partition refinements. When I saw that not only the limit but also even the oscillatory behavior was essentially identical for different genera, I was convinced that there was true physical relevance for this very abstract quantity. There was no reason (other than physics!) to expect such uniformity. Details are in http://arxiv.org/abs/1009.2127

8

In the Jones monoid, a monoid associated to the Temperley-Lieb algebra, the idempotents were discovered (see Organic Semigroup Theory for an overview) to exhibit fern-like qualities when the Green's $\mathcal{D}$-classes are drawn out. The below picture, taken from the earlier link and generated by James East in GAP, illustrates this quite beautifully, by having a black pixel for a group $\mathcal{H}$-class, indicating the presence of an idempotent, and otherwise a white pixel:

enter image description here

Why such beautiful patterns appear still seems to be a very exciting mystery!

8

Consider a root system of type D. The Hasse diagram is built up by writing, as bottom row, a node for each simple root, and then on each row above, connect up two roots if their sum is a root.

Hasse diagram of root system D8

The Hasse diagram has an obvious symmetry in the last two roots (7 and 8, in the picture), from the symmetry of the Dynkin diagram. We can picture that symmetry as flipping the box kite in the picture inside out. But the picture is also symmetric under the obvious diagonal reflection through the lower right corner of the picture, exchanging the bottom row with the right hand side. The bottom row is the simple roots. The right hand side is various sums of simple roots. As far as I can see, no other root system has a symmetry in its Hasse diagram not induced by a symmetry of the Dynkin diagram. This has very complicated consequences about the decomposition of the tangent bundle of any flag variety over D, for example. I saw this symmetry when I drew this picture, and I don't know if it was already known.

Ben McKay
  • 25,490
7

Just stumbled on this. I am currently working with cyclic elements in simple Lie algebras - these are elements of the form $e+F$ where $e$ is a generic element of degree 2 and $F$ a generic element of lowest possible degree, with respect to the grading defined by a semisimple element.

I took one such in E$_8$, took the matrix of its $\operatorname{ad}$, and made from it a graph, with 248 vertices, and edges connecting those $i$, $j$ with $(i,j)$th entry of that matrix nonzero. Voilà.

enter image description here

6

This may be late to the party, but hidden symmetries lurk in higher-dimensional lattices.

Four dimensions is enough to produce this effect. A four-dimensional lattice of points in $\mathbb{Z}^4$ appears not to have any regular pentagons. And yet the invertible transformation matrix $M$ given by

\begin{pmatrix} 0&0&0&-1\\1&0&0&-1\\0&1&0&-1\\0&0&1&-1\\ \end{pmatrix}

transforms the lattice into itself and satisfies the relation $M^5=I_4$. Thus a fivefold symmetry emerges with the inherited periodicity of the lattice, and may be converted into a quasiperiodic proper fivefold lattice by projecting the four-dimensional lattice into a plane.

Such is a construction of a quasilattice. Since the four-dimensional lattice and its quasilattice projection contain a center of inversion as well, the fivefold axis is further promoted to a tenfold axis.

Below 1 is a diffraction pattern produced by a quasicrystalline alloy possessing long-range tenfold symmetry. The full symmetry of such a quasilattice cannot be rendered in the plane with a discrete collection of points, but tenfold clusters derived from the quasilattice symmetry, and thus the four-dimensional parent lattice, are evident.

enter image description here

Transformation matrices with eight- or twelvefold symmetry can be constructed in the four-dimensional lattice, and higher dimensions open up still more possibilities. Six dimensions, for instance, yield the symmetries of the regular heptagon and enneagon (therefore also the 14-gon and 18-gon), as well as the full symmetry of a regular icosahedron.

Reference

  1. Seki, Takehito & Abe, E.. (2015). "Local cluster symmetry of a highly ordered quasicrystalline Al 58 Cu 26 Ir 16 extracted through multivariate analysis of STEM images". Microscopy (Oxford, England). 64. https://doi.org/10.1093/jmicro/dfv035.
Oscar Lanzi
  • 1,603
5

For better visualizing and understanding fractals like the Mandelbrot set, the idea of color cycling is a great invention.

Points outside the fractal are colored according to the number of iterations when a threshold assuring divergence ("bail out") is reached. Imagining the fractal bearing en electrical charge or a temperature, the points of same color, i.e. of same rate of divergence, form "equipotential lines" around it. Of course, those lines become more and more intricate as one comes close to the fractal.
So far, this is only static, but now cycling in time through the colors of the (periodic) color palette, either towards the fractal or outward, reveals so much more about its hard-to-see structures. E.g. for the Mandelbrot set, knowing that it is simply connected, cycling helps particularly in regions with spiral-like patterns to get an idea "where it is connected".
Just google for the terms fractal color cycling and you'll find tons of more or less hallucinating videos.

Wolfgang
  • 13,193
5

This wasn't exactly research, but I have a couple animations I made using a modified version of Melinda Green's Buddhabrot method to render the Mandelbrot set, and what came out was definitely unexpected and pretty shocking to me. I don't think I've ever seen this particular method anywhere else. I've been hoping to get some proper mathematicians to look at the process and give me some insight into why such wild objects seem to form.

This is the first one I made.

Then I tried to make a higher definition animation with different inputs.

You can turn up the quality to see the detail a bit better before watching them. It defaults to 480p, but can be changed to 720p.

To create these, I first began with Melinda's method, which is still explained at her site. It's basically a heat map of how many points in each pixel escaped to "infinity" under the action of the complex seed function. To create motion I decided I would take the coefficients of the function, which was a generalized Mandelbrot-type equation like this:

$$ z(w) = aw^3 + bw^2 + cw + C $$

Where $w$ is the complex conjugate of the previous value of the function.

And I would treat those coefficients like a 3-vector (a, b, c). To create motion, I rotated that vector just as if it was a spatial vector rotating through space. The animations are built up of individual images created by slightly transforming the coefficients little by little.

I would really enjoy hearing any insights people have as to why such incredible structures seem to come alive in these visualizations. It is almost eerie. You can see there is a smoke-like effect that gathers around the extended "arms" of the object as it moves, and it almost acts like it is responding to some kind of attractive force (which is mystifying considering what we're looking at). It also has these little three-pointed sparks that fly off the tips, but eventually look like creases in fabric rather than little stars. There are even biological looking structures that appear when the sparks come together and seem to annihilate each other.

On a simpler level, it shocked me that it actually looks like a very distorted physical rotation of some object rotating in higher dimensions, even though it is only a rotation in coefficient space, and not a an actual rotation of spatial coordinates. About halfway through each video, you can see that it really is a rotational transformation, because it comes back around and repeats the entire rotation once more as the vector comes back through its initial position, which was something like (1, 0, 0). In fact, in the first video you can see the exact moment it repeats because the numbers didn't come back around exactly right due to rounding errors that I fixed in the second video.

4

Picture based on research by Christopher Hoffman, Alexander Holroyd and Yuval Peres

enter image description here

Gil Kalai
  • 24,218
  • 19
    This is neat, but probably needs a couple of qualifications: (1) The apparent randomness in the picture is due to the centers of the circles being chosen at random (there is no deterministic chaos here), and (2) the concentric circles are (as far as I can tell) just an artistic way to make the various regions easier to distinguish from each other. – darij grinberg Aug 20 '15 at 13:26
  • https://en.wikipedia.org/wiki/Voronoi_diagram – reuns Mar 11 '16 at 18:49
4

The Collatz conjecture has already been mentioned here in an answer. I think it is worth however to add explicitly two more images here, both from the OEIS.

The first one simply displays the sum of numbers in the trajectory for each initial value $n$. trajectory And here is the same, but with the horizontal axis also logarithmic (both base $10$). trajectory, log What looks most remarkable to me here are the almost vertical gaps next to the bottom, about five of them between $n$ and $2n$, well visible on both images. Will they continue at that rate for bigger $n$?
And as for the cloud-like concentration of points with values just above $10^5$ (starting with $a(27)=101440)$, its visibility depends heavily on the scale used. But one could wonder whether for different scales/ranges one can see other horizontal point clouds of similar "thicknesses".

The second one displays the number of Collatz steps when starting with primes. The distance of two horizontal "relaying segments" of the slowly decreasing patterns (i.e. certain subsets of primes) seems to be always $5$. (Why?) prime lengths

Wolfgang
  • 13,193
3

These images are the graphs of simple functions using the sinus. You can see them, animated with a function tracer in Flash here: graph of two unexpected functions

graph of function 1 $$ a=a+3 \\ b=b+10 \times cos(a)\\ \begin{cases} x=a \times cos(a)+b \times cos(b)\\ y=b \times sin(b)+a \times sin(a)\end{cases} $$ graph of function 1 $$ a=a+\pi/3 \\ b=b+a \times sin(1/a)+a\times cos(1/a)\\da=da+0.0001\\ \begin{cases} x=0.02 \times 1/a \times cos(b\times da)+a \times cos(b\times da)\\ y=0.02 \times 1/a \times sin(b\times da)+a \times sin(b\times da)\end{cases} $$

  • 1
    Is this part of your research? – Per Alexandersson Aug 14 '14 at 20:38
  • @Per Alexandersson Yes, I coded the tracer with actionscript and tested functions... – helloflash Aug 14 '14 at 22:12
  • 10
    And so? What mathematical insights did this give rise to? – Todd Trimble Aug 17 '14 at 14:00
  • 1
    @Todd Trimble This specific research requires no superior knowledge, but who says that it was its pretension? It's an interesting way to create patterns and find textures. – helloflash Aug 17 '14 at 19:35
  • 15
    Sorry for not responding earlier. My comment was in reference to the wording of the OP, which asks specifically what mathematical insights did the image give rise to. I too take aesthetic pleasure in the pictures derived from applying the tracer to your parametric equations, but my reading is that the OP is interested specifically in examples which produced a mathematical insight, in order to be considered on-topic for MO. – Todd Trimble Aug 27 '14 at 19:36
3

See description below

Explanation:

Let $r(m)$ denote the residue class $r+m\mathbb{Z}$, where $0 \leq r < m$. Given disjoint residue classes $r_1(m_1)$ and $r_2(m_2)$, let the class transposition $\tau_{r_1(m_1),r_2(m_2)}$ be the permutation of $\mathbb{Z}$ which interchanges $r_1+km_1$ and $r_2+km_2$ for every $k \in \mathbb{Z}$ and which fixes everything else.

Let $G :=\left\langle\tau_{0(2),1(2)}, \tau_{0(5),4(5)}, \tau_{1(4),0(6)}\right\rangle$ be the group from the first remark to this question. The group $G$ has one "exceptional" orbit $0^G = \{0,1,4,5,6,7,8,9,10,11,12,13,14,15,18,19\}$ of length $16$. Also it has four series of orbits of length $2$ (namely $\{2(60), 3(60)\}$, $\{22(60), 23(60)\}$, $\{26(60), 27(60)\}$ and $\{46(60), 47(60)\}$) -- the "trivial" orbits.

There is numerical evidence that the other orbits come all in infinite series, have all length congruent to $8$ modulo $16$, and that all positive integers in the residue class $8(16)$ do occur as orbit lengths -- and that in particular all orbits are finite (but there is no proof of this). Also there is numerical evidence that $16(60) \cup 32(60) \cup 52(60) \cup 56(60)$ is a set of representatives for the non-"trivial" orbits.

The picture above shows the lengths of the orbits whose representative lies in the residue class $16(60)$; each color stands for a particular orbit length -- for example the big light-yellow rectangle on the right stands for the residue class $76(120)$ which is a set of representatives for a series $\{76(120), 77(120), 110(180), 111(180), 114(180), 115(180), 118(180), 119(180)\}$ of orbits of length $8$. The big blue rectangle on the upper left stands for the residue class $16(480)$ (orbit length $24$), the big green rectangle stands for the residue class $1216(1920)$ (orbit length $40$), etc., and the black areas between the colored rectangles stand for larger orbit lengths (in the hundreds and above -- also the orbit of length $47610700792$ discussed in the question linked above belongs here). Presumably the colored rectangles would completely tile the picture if one wouln't have to stop drawing at some point.

Larger versions of the picture can be found here (2.5MB SVG file) and here (17MB SVG file -- may exceed capacities depending on used computer and browser). The longest orbits represented in the largest picture have length $984 = 61 \cdot 16 + 8$, which is still tiny in comparison with the $47610700792$ mentioned above.

The picture below indicates by color in which of the four residue classes $16(60)$, $32(60)$, $52(60)$, $56(60)$ the representative of the orbit of given $n \in 30(60)$ lies -- the trisection alternates between horizontal and vertical, i.e. the left third of the picture corresponds to the residue class $30(180)$, the middle third to $90(180)$, the right third to $150(180)$, the top left $9$-th to $30(540)$, the top right $9$-th to $150(540)$, the bottom left $9$-th to $390(540)$, and the bottom right $9$-th to $510(540)$:

See description above

There is a larger version of the picture available here (1.2MB SVG file).

Stefan Kohl
  • 19,498
  • 21
  • 73
  • 136