I think I have a pretty good understanding of implication and equivalence (I also found this question), but there are some things I am unsure about.
First of all, in maths class in high school, when for example given a quadratic function $f(x)$ with the derivative $f'(x)=2ax+b$, to compute the extremum of $f$ we would write something like
$$ f'(x)=0 \\ \Downarrow \\ 2ax+b=0 \\ \Updownarrow \\ x=-\frac{b}{2a} $$
formatting notwithstanding.
I understand why the second implication is an equivalence, but I'm not so sure why the first is not. (I also think I have seen Sal Khan on Khanacademy write a double arrow in cases like this, though I'm not sure.) I guess my confusion springs from the following, considering the growth of a linear function $f(x)=ax+b$ in the interval $\Delta x$:
$$ f(x+\Delta x)=a(x+\Delta x)+b=ax+b+a\Delta x=f(x)+a\Delta x $$
(By the way, this was printed in my sophomore textbook.) Here, in the third step, the function $f(x)$ is inserted into the expression. Then, if these are equal (which they obviously are), why is the first implication above not an equivalence?
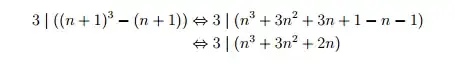
Secondly, I previously asked this question, but later stumbled upon these notes. I'm a bit confused about the use of arrows on page 29. First, this:

Here, I understand the use of the arrows to mean, that each expression on the right sides are equivalent to each other, the last expression being equivalent to the first one on the right, which in turn is equivalent to the left hand expression. Then, this:

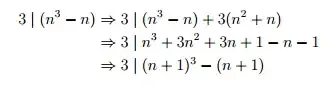
Here, I assume the three right hand expressions are equivalent? In that case, what I don't understand is the use of single arrows. I assume the formatting could imply that the first expression implies the three right hand expressions and that the right hand expressions are not explicitly stated to be equivalent
About the question I asked, I was also wondering if this would be an acceptable way of formatting for instance the solving of an equation (like the quadratic above)?
I would very much appreciate if someone could shed some light on this. Thanks.