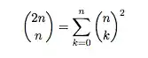
Need to prove this formula 
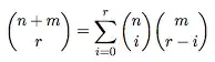
based on Vandermode's Convolution Formula which is

not sure how to prove first one based on second one.
It could make sense if C(n, i) = C(n, r-i)
though, I am not sure if such identity exists.
If it exists than second formula is pretty much first formula with just n and m being same value. If there is such an identity - please tell me how its name :)
I will be thankful for your explanation.