9

Wolfram Alpha is able to telescope sums of the form $\sum (n+1)\cdots(n+k)$

e.g. $(1\cdot2\cdot3) + (2\cdot3\cdot4) + \cdots + n(n+1)(n+2)$

How does it do it?

EDIT: We can rewrite as: $\sum {(n+k)! \over n!} = \sum k!{(n+k)!\over n!k!} = \sum k!{{n+k} \choose n}$ (Thanks Daniel Fischer)

EDIT2: We can also multiply out and split sums. So e.g.

$$\sum (n-1)n(n+1) = \sum (n^3-n) = \sum n^3 - \sum n$$

But sums of powers actually seem to be more nasty than the original question, involving Bernoulli numbers. (Thanks Claude Leibovici)

And is there any name for this particular corner of maths? (i.e. How might I go about searching the Internet for information regarding this?)

PS please could we have a 'telescoping' tag?

P i
  • 2,136
  • 2
    Note that the terms are $k!\binom{n+k}{n}$. You probably know a bit about binomial coefficients that helps summing. – Daniel Fischer Sep 01 '14 at 10:07
  • 1
    I don't understand why you speak about "telescoping". Beside Daniel Fischer's suggestion, you could also develop $i(i+1)(i+2)= i^3+3 i^2+2 i$ and compute the three sums. – Claude Leibovici Sep 01 '14 at 10:16
  • Is the sum over n or k? Makes a big difference. – marty cohen Sep 01 '14 at 15:18
  • What great answers! Now I am stuck. Both RobJohn and HyperGeometric have nailed it from opposite directions. To accept either answer above the other would not seem right. I guess I will leave it open until SE provides some machinery for resolving these situations. – P i Sep 01 '14 at 17:49
  • @P-i- Thank you! That's very considerate of you. It was an interesting question, which I enjoyed solving. I've upvoted the question as well. Have also just posted a comment on a recent observation on its resemblance to the power integral. A related question which you might want to pose would be to find the sum of a series with each term being the reciprocal of the corresponding in the present series, i.e the reciprocal of the product of consecutive integers. – Hypergeometricx Sep 04 '14 at 06:14
  • See also: http://math.stackexchange.com/questions/707799/how-to-find-the-sum-of-ii1-cdotsik-for-fixed-k-between-i-1-and-n – Martin Sleziak Sep 10 '15 at 13:12

8 Answers8

3

Hint: $$ \sum_{n=k}^m\binom{n}{k}=\binom{m+1}{k+1} $$ A generalization is discussed in this answer. The equation above is equation $(1)$ with $m=0$.


Telescoping sum

To turn the sum in the question into a "telescoping sum", we can use the recurrence for Pascal's Triangle: $$ \binom{n+1}{k+1}=\binom{n}{k}+\binom{n}{k+1} $$ Using this recurrence, we get $$ \begin{align} \sum_{n=k}^m\binom{n}{k} &=\sum_{n=k}^m\left[\binom{n+1}{k+1}-\binom{n}{k+1}\right]\\ &=\sum_{n=k+1}^{m+1}\binom{n}{k+1}-\sum_{n=k}^m\binom{n}{k+1}\\ &=\left[\binom{m+1}{k+1}+\color{#C00000}{\sum_{n=k+1}^m\binom{n}{k+1}}\right]-\left[\binom{k}{k+1}+\color{#C00000}{\sum_{n=k+1}^m\binom{n}{k+1}}\right]\\ &=\binom{m+1}{k+1}-\binom{k}{k+1}\\ &=\binom{m+1}{k+1} \end{align} $$ The sums in red are the terms that are telescoped out, leaving just the first and last terms. In this case, the last term $\binom{k}{k+1}=0$.

robjohn
  • 345,667
3

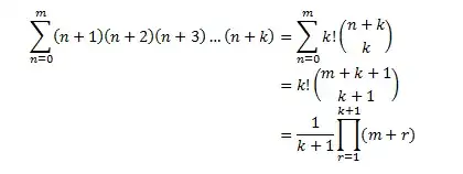
Let $$p_n=\prod_{r=1}^k (n+r)=\overbrace{(n+1)(n+2)\cdots(n+k)}^{k \ \text{terms}}$$ which is the product of $k$ consecutive integers.

Consider the difference of two consecutive terms, where each term is the product of $k+1$ consecutive integers, i.e. $$\begin{align} &\prod_{r=1}^{k+1}(n+r)-\prod_{r=0}^k(n+r)\\ &=\overbrace{\underbrace{(n+1)(n+2)\cdots(n+k)}_{p_n}(n+k+1)}^{(k+1) \ \text{terms}}-\overbrace{n\underbrace{(n+1)(n+2)\cdots(n+k)}_{p_n}}^{(k+1) \ \text{terms}}\\ &=p_n[(n+k+1)-n]\\ &=p_n(1+k) \end{align}$$

Hence, $$p_n=\prod_{r=1}^k (n+r)=\frac1{1+k}\left[\prod_{r=1}^{k+1} (n+r)-\prod_{r=0}^k (n+r) \right]$$ which is convenient for telescoping.

Required summation, $$\begin{align} S=\sum_{n=0}^{m}p_n&=\sum_{n=0}^{m} \prod_{r=1}^{k} (n+r)=\sum_{n=0}^{m}(n+1)(n+2)(n+3)\cdots (n+k)\\ &=\frac1{k+1}\sum_{n=0}^{m} \left[ \prod_{r=1}^{k+1} (n+r)-\prod_{r=0}^{k} (n+r)\right]\\ &=\frac1{k+1}\prod_{r=1}^{k+1} (m+r) \qquad \blacksquare\end{align}$$ by telescoping.

In your example, $k=3$, hence the general term is

$$(n+1)(n+2)(n+3)=\frac14\left[(n+1)(n+2)(n+3)(n+4)-n(n+1)(n+2)(n+3)\right]$$

Hence, by telescoping from $n=0$ to $m$, $$\begin{align}S&=1\cdot2\cdot3+2\cdot3 \cdot 4+\cdots +(m+1)(m+2)(m+3)\\ &=\frac14(m+1)(m+2)(m+3)(m+4) \end{align}$$


NB: It is interesting to note that this result bears a striking resemblance to integration.

Compare the standard integral $$\int_0^m n^k dn=\frac{m^{k+1}}{k+1}$$ to the result of the summation above, which can also be stated as $$\sum_{n=0}^{m}n^{[k]}=\frac {m^{[k+1]}}{k+1}$$ where $n^{[k]}$ is my adjusted* Pochhammer symbol for rising factorials, defined as $$n^{[k]}=\prod_{r=1}^{k}(n+r)=(n+1)(n+2)(n+3)\cdots(n+k)$$

The actual Pochhammer symbol for rising factorials, $n^{(k)}$, starts from $n$ itself and not $n+1$, i.e. $$n^{(k)}=\prod_{r=1}^{k}(n+r-1)=n(n+1)(n+2)\cdots(n+k-1)$$

  • I've upvoted this as it appears valid. But I can't see any clear motivation for the initial algebraic manipulations. Is it possible to rework this logic in a way that does not require inspirational leaps? – P i Sep 01 '14 at 14:08
  • @P-i- - thank you, that's very kind :) in order to make the series telescope, the approach is to convert one term (or product, in this case) into a difference of two terms, usually of a higher 'order'. for instance, to telescope the sum of squares, one would start from the difference of cubes. in this case, we want to sum $k$-term products hence we start from the difference of two consecutive $(k+1)$-term products. – Hypergeometricx Sep 01 '14 at 14:19
  • @P-i- - the proposed solution has been reworked slightly and hopefully this provides greater clarity. – Hypergeometricx Sep 01 '14 at 14:30
  • thanks to all who upvoted. a short appendix has been added to the solution to highlight the resemblance of the summation result to the standard power integral. comments are most welcome. – Hypergeometricx Sep 03 '14 at 15:22
2

For completeness, a solution using the combinatorial/binomial approach, as initiated by RobJohn:

enter image description here

1

Let $p(n, k) =n(n+1)...(n+k-1) =\prod_{j=0}^{k-1} (n+j) $.

Then (writing each step in detail)

$\begin{array}\\ p(n+1, k)-p(n, k) &=\prod_{j=0}^{k-1} (n+1+j)-\prod_{j=0}^{k-1} (n+j)\\ &=\prod_{j=1}^{k} (n+j)-\prod_{j=0}^{k-1} (n+j)\\ &=(n+k)\prod_{j=1}^{k-1} (n+j)-n\prod_{j=1}^{k-1} (n+j)\\ &=((n+k)-n)\prod_{j=1}^{k-1} (n+j)\\ &=k\prod_{j=1}^{k-1} (n+j)\\ &=k\prod_{j=0}^{k-2} (n+1+j)\\ &=kp(n+1, k-1)\\ \end{array} $

or, putting $k+1$ for $k$ and $n$ for $n+1$, $p(n, k) =\frac{p(n, k+1)-p(n-1. k+1)}{k+1} $.

Therefore

$\begin{array}\\ \sum_{n=1}^M p(n, k) &=\sum_{n=1}^M \frac{p(n, k+1)-p(n-1. k-1)}{k+1}\\ &=\frac1{k+1}\sum_{n=1}^M (p(n, k+1)-p(n-1. k+1))\\ &=\frac1{k+1}(p(M, k+1)-p(0, k+1))\\ &=\frac{p(M, k+1)}{k+1}\\ \end{array} $

marty cohen
  • 107,799
1

$\newcommand{\angles}[1]{\left\langle\, #1 \,\right\rangle} \newcommand{\braces}[1]{\left\lbrace\, #1 \,\right\rbrace} \newcommand{\bracks}[1]{\left\lbrack\, #1 \,\right\rbrack} \newcommand{\ceil}[1]{\,\left\lceil\, #1 \,\right\rceil\,} \newcommand{\dd}{{\rm d}} \newcommand{\ds}[1]{\displaystyle{#1}} \newcommand{\expo}[1]{\,{\rm e}^{#1}\,} \newcommand{\fermi}{\,{\rm f}} \newcommand{\floor}[1]{\,\left\lfloor #1 \right\rfloor\,} \newcommand{\half}{{1 \over 2}} \newcommand{\ic}{{\rm i}} \newcommand{\iff}{\Longleftrightarrow} \newcommand{\imp}{\Longrightarrow} \newcommand{\pars}[1]{\left(\, #1 \,\right)} \newcommand{\partiald}[3][]{\frac{\partial^{#1} #2}{\partial #3^{#1}}} \newcommand{\pp}{{\cal P}} \newcommand{\root}[2][]{\,\sqrt[#1]{\vphantom{\large A}\,#2\,}\,} \newcommand{\sech}{\,{\rm sech}} \newcommand{\sgn}{\,{\rm sgn}} \newcommand{\totald}[3][]{\frac{{\rm d}^{#1} #2}{{\rm d} #3^{#1}}} \newcommand{\verts}[1]{\left\vert\, #1 \,\right\vert}$ \begin{align}&\color{#c00000}{\sum_{n = 0}^{m}\pars{n + 1}\ldots\pars{n + k}}= \sum_{n = 0}^{m}{\pars{n + k}! \over n!} =k!\sum_{n = 0}^{m}{n + k \choose k} =k!\sum_{n = 0}^{m}\oint_{\verts{z}\ =\ 1}{\pars{1 + z}^{n + k} \over z^{k + 1}} \,{\dd z \over 2\pi\ic} \\[3mm]&=k!\oint_{\verts{z}\ =\ 1}{\pars{1 + z}^{k} \over z^{k + 1}} \sum_{n = 0}^{m}\pars{1 + z}^{n}\,{\dd z \over 2\pi\ic} =k!\oint_{\verts{z}\ =\ 1}{\pars{1 + z}^{k} \over z^{k + 1}} {\pars{1 + z}^{m + 1} - 1 \over \pars{1 + z} - 1}\,{\dd z \over 2\pi\ic} \\[3mm]&=k!\bracks{\oint_{\verts{z}\ =\ 1} {\pars{1 + z}^{k + m + 1} \over z^{k + 2}}\,{\dd z \over 2\pi\ic} -\oint_{\verts{z}\ =\ 1}{\pars{1 + z}^{k} \over z^{k + 2}}}\,{\dd z \over 2\pi\ic} \\[3mm]&=k!\bracks{{k + m + 1 \choose k + 1} - {k \choose k + 1}} \end{align}

$$ \color{#66f}{\large\sum_{n = 0}^{m}\pars{n + 1}\ldots\pars{n + k} =k!\,{k + m + 1 \choose m}} $$

Felix Marin
  • 89,464
  • blink complex analysis! That's fantastic! But how does the first path integral come from n+k choose k? – P i Sep 04 '14 at 12:45
  • 1
    @P-i- That's an identity: $$ {a \choose b}=\oint_{0\ <\ \left\vert ,z,\right\vert\ =\ c}{(1 + z)^a \over z^{b + 1}},{{\rm d}z \over 2\pi{\ic}} $$ It's valid for $c \in {\mathbb R},,\ c > 0$ and $b\ =\ 0,1,2,3,\ldots$ – Felix Marin Sep 04 '14 at 17:49
0

Also your terms can be re written as $$n(n+1)(n+2)=\dfrac{n(n+1)(n+2)(n+3)}{4}-\dfrac{(n-1)n(n+1)(n+2)}{4}.$$

Bumblebee
  • 18,220
  • 5
  • 47
  • 87
0

Following from RobJohn's hint, this can be proved very simply by reverse-engineering the hockey-stick identity.

hockey-stick identity

The blues sum to the red for any given 'hockey-stick'.

It is a straightforward proof by induction. For example, in the picture, 1+3+6+10+15 = 35, so 1+3+6+10+15 + 21 = 35+21 = 56

i.e. True(stick length k) => True(stick length k+1)

Induction can also be argued from the ${n \choose r}$ formula, but the above method avoids algebraic manipulation, working instead from the simple "each element is formed by summing its upper neighbours" definition of Pascal's Triangle.

But now we DO need some algebraic manipulation.

We write this hockey-stick identity as:

$${k+0 \choose k} + ... + {k+n \choose k} = {k+(n+1) \choose (k+1)} $$

(notice the hockey stick has been reflected)

$$ {(k+0)! \over {k!((k+0)-k)!}} + ... + {(k+n)! \over {k!((k+n)-k)!}} = {(k+(n+1))! \over {(k+1)!(((k+(n+1))-(k+1))!}}$$

$$ {(k+0)! \over 0!} + ... + {(k+n)! \over n!} = {1 \over {k+1}} \cdot {(k+(n+1))! \over n!}$$

So the original question turns out to be an emergent property of Pascal's Triangle, and I would hazard a guess that it is from this simple construct that the question originally arose.

However, this proof doesn't move forwards from start to finish in a sequence of intelligently chosen moves. It doesn't offer any insight into telescoping general sums, hence I am favouring hypergeometric's proof.

P i
  • 2,136
  • thank you! glad you liked it :) robjohn's approach using the pascal triangle identity is quite useful too, and i have used a similar approach elsewhere on MSE for another question. – Hypergeometricx Sep 02 '14 at 06:28
0

Induction

This question is actually a duplicate of: Finding a closed formula for $1\cdot2\cdot3\cdots k +\dots + n(n+1)(n+2)\cdots(k+n-1)$

But it is difficult to find duplicates when the question can only be expressed using maths symbols, and this question now acts as a more comprehensive resource.

One of the answers to that question is to manually construct formulae for the first few cases: $1+2+3+\dots+n$, $1\cdot2 +\dots + n\cdot(n+1)$, etc, notice a pattern and intuit a candidate formula, then prove this by induction.

P i
  • 2,136