I am awakard to deal with math problem

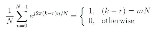
I am trying to understand the first condition that is (k-r)=mN
I can understand when (k-r) is mN, the left formula is 1
But I don't know how to left formular to be right two conditions
I thought that
the left one is going to be (1/N) * (1-e^(j*2*pi*(k-r)))/(1-e^(j*2*pi*(k-r)/N))
- I am curious about the upper formular is right or not.
so I substituted (mN) instead of (k-r) and
I got the result of 1/N, but it is not desirable.
please help me to understand this condition and formula
Thank you for advance