Please help me to evaluate this integral: $$ I={\large\int}_{0}^{\infty}{\ln\left(x\right) \over 1 + x}\, \,\sqrt{\,x + \sqrt{\,1 + x^{2}\,}\, \over 1 + x^{2}\,}\,\,{\rm d}x.\tag1 $$ Mathematica could not evaluate it in a closed form. A numerical integration returned $$I \approx 4.25314982536869548103063\ldots\,,\tag2$$ but neither WolframAlpha nor ISC+ could find a plausible closed form for this.
3 Answers
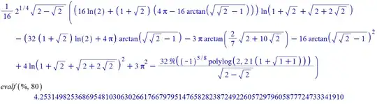
With some help from a CAS I got this result with only one dilogarithm term: $$I=\frac{\sqrt[4]2\sqrt{2-\sqrt2}}{16}\\\left\{\left[16\ln2+\left(1+\sqrt2\right)\left(4\pi-16\arctan\sqrt{\sqrt2-1}\right)\right]\ln\left(1+\sqrt2+\sqrt{2+2\sqrt2}\right)\\-\Big(32\left(1+\sqrt2\right)\ln2+4\pi\Big)\arctan\sqrt{\sqrt2-1}-3\pi\arctan\frac{2\sqrt{2+10\sqrt2}}7\\-16\arctan^2\sqrt{\sqrt2-1}+4\ln^2\!\left(1+\sqrt2+\sqrt{2+2\sqrt2}\right)\\+3\pi^2-\frac{32}{\sqrt{2-\sqrt2}}\,\Re\left[\left(-1\right)^{5/8}\operatorname{Li}_2\!\left(2i\left( 1+\sqrt{1+i}\right)\right)\right]\right\}.$$
Update: It was suggested in comments that this expression gives a numerically incorrect result when evaluated with Maple. Here is what I got with Maple 18:

This value numerically matches the integral. I also checked it with Mathematica 10 and it gave the same numeric result.
- 47,122
-
1
-
5I started with a large expression similar to one given in another answer, then simplified it using Mathematica, then using Maple, then manually, and again, and again..., and finally I got this :) I do not recall any particularly remarkable idea that I used during this process. – Vladimir Reshetnikov Aug 30 '14 at 00:52
-
1
-
7Forgive my obscure reference to Spartacus, but: The bringer of results!... The slayer of integrals!... The champion of Stack Exchange!... VLADIMIR !!! :-) – Lucian Aug 31 '14 at 15:11
-
5
-
1@V-Moy Cleo's answers usually cannot be easily obtained using Mathematica or Maple. Clearly, she communicates directly with Namagiri :) – Vladimir Reshetnikov Sep 03 '14 at 18:07
-
Anyway, could you please look for closed-forms of my problem using Mathematica or Maple: http://math.stackexchange.com/q/917154/133248 Thanks. (✿◠‿◠) – Anastasiya-Romanova 秀 Sep 03 '14 at 18:40
\begin{align} -\frac{1}{4}\int^\infty_0\frac{\ln{x}}{1+x}\sqrt{\frac{x+\sqrt{1+x^2}}{1+x^2}}{\rm d}x &=-\frac{1}{4}\int^\infty_0\frac{\ln{\sinh{x}}}{1+\sinh{x}}e^{x/2}{\rm d}x\\ &=-\frac{1}{2}\int^\infty_1\frac{\ln\left(\frac{x^2-x^{-2}}{2}\right)}{1+\frac{x^2-x^{-2}}{2}}{\rm d}x\\ &=\int^1_0\frac{\ln(1-x^4)-\ln(2x^2)}{x^4-2x^2-1}{\rm d}x\\ \end{align} For simplicity's sake, let $\displaystyle\frac{1}{x^4-2x^2-1}=\sum^4_{k=1}\frac{c_k}{x-r_k}$. The integral becomes $$I=-4\sum^4_{k=1}\int^1_0\frac{c_k\ln(1-x^4)-c_k\ln{2}-2c_k\ln{x}}{x-r_k}{\rm d}x$$ The second integral is \begin{align} -c_k\ln{2}\int^1_0\frac{1}{x-r_k}{\rm d}x=-c_k\ln{2}\ln\left(\frac{1-r_k}{-r_k}\right) \end{align} The third integral is \begin{align} -2c_k\int^1_0\frac{\ln{x}}{x-r_k}{\rm d}x &=2c_k\int^{1/r_k}_0\frac{\ln(r_kx)}{1-x}{\rm d}x\\ &=-2c_k{\rm Li}_2\left(\frac{1}{r_k}\right) \end{align} Pluck these results back in. $$I=4\sum^4_{k=1}c_k\left[\ln{2}\ln\left(\frac{1-r_k}{-r_k}\right)+2{\rm Li}_2\left(\frac{1}{r_k}\right)-\int^1_0\frac{\ln(1-x^4)}{x-r_k}{\rm d}x\right]$$ The remaining integral is \begin{align} &\ \ \ \ \ \int^1_0\frac{\ln(1-x^4)}{x-r_k}{\rm d}x\\ &=\sum_{j=1,-1,i,-i}\int^1_0\frac{\ln(1+jx)}{x-r_k}{\rm d}x\\ &=-\sum_{j=1,-1,i,-i}\int^{\frac{\lambda}{1-r_k}}_{-\frac{\lambda}{r_k}}\ln\left(1+\frac{j\lambda}{y}+jr_k\right)\frac{{\rm d}y}{y}\\ &=-\sum_{j=1,-1,i,-i}\int^{\frac{\lambda}{1-r_k}}_{-\frac{\lambda}{r_k}}\left[\ln\left(1+\frac{1+jr_k}{j\lambda}y\right)-\ln\left(\frac{y}{j\lambda}\right)\right]\frac{{\rm d}y}{y}\\ &=-\sum_{j=1,-1,i,-i}\int^{\frac{1+jr_k}{j-jr_k}}_{-\frac{1+jr_k}{jr_k}}\frac{\ln(1+y)}{y}-\frac{1}{y}\ln\left(\frac{y}{1+jr_k}\right){\rm d}y\\ &=-\sum_{j=1,-1,i,-i}\left[{\rm Li}_2\left(\frac{1+jr_k}{jr_k}\right)-{\rm Li}_2\left(\frac{1+jr_k}{jr_k-j}\right)+\frac{1}{2}\ln^2\left(-jr_k\right)-\frac{1}{2}\ln^2\left(j-jr_k\right)\right] \end{align} Final Result: \begin{align} \color\purple{\int^\infty_0\frac{\ln{x}}{1+x}\sqrt{\frac{x+\sqrt{1+x^2}}{1+x^2}}{\rm d}x =4\sum^4_{k=1}c_k\left[\ln{2}\ln\left(\frac{1-r_k}{-r_k}\right)+2{\rm Li}_2\left(\frac{1}{r_k}\right)+\sum_{j=1,-1,i,-i}\left[{\rm Li}_2\left(\frac{1+jr_k}{jr_k}\right)-{\rm Li}_2\left(\frac{1+jr_k}{jr_k-j}\right)+\frac{1}{2}\ln^2\left(-jr_k\right)-\frac{1}{2}\ln^2\left(j-jr_k\right)\right]\right]} \end{align} where \begin{align} \frac{c_1}{x-r_1}&=\frac{1}{4\sqrt{2+2\sqrt{2}}\left(x-\sqrt{1+\sqrt{2}}\right)}\\ \frac{c_2}{x-r_2}&=-\frac{1}{4\sqrt{2+2\sqrt{2}}\left(x+\sqrt{1+\sqrt{2}}\right)}\\ \frac{c_3}{x-r_3}&=-\frac{1}{4\sqrt{2}\left(x+i\sqrt{\sqrt{2}-1}\right)}\\ \frac{c_4}{x-r_4}&=-\frac{1}{4\sqrt{2}\left(x-i\sqrt{\sqrt{2}-1}\right)}\\ \end{align}
- 5,554
-
Do you think these sums can be evaluated? Probably not, but would like your comments @SuperAbound – apg Aug 28 '14 at 15:17
-
@AlexanderGiles Technically, they can be, but it is certainly not possible by hand, as would get an ugly barrage of terms as shown in user153012's answer. – SuperAbound Aug 28 '14 at 15:20
-
-
-
-
2The numerical value doesn't match the other answer. At least the $2$ in $2\log2\log(\cdots)$ looks wrong. – Kirill Aug 29 '14 at 09:17
-
@Kirill Do you mind enlightening me on what you mean by "looks wrong"? Please correct me if I am wrong, but the term you mentioned came from splitting up the term $\ln(2x^2)=\ln{2}+2\ln{x}$, and that seems to be a legitimate step. Thanks a lot. – SuperAbound Aug 29 '14 at 09:36
-
2@SuperAbound The answer's numerical value doesn't match the integral's numerical value, that's the main issue. What I meant was: you have $-4\sum_k\int\frac{-c_k \log 2}{x-r_k}$ in one line, evaluate the integral to $-c_k\log2\log\frac{1-r_k}{-r_k}$, and then in the answer you have $4\sum_k c_k(2\log2\log\frac{1-r_k}{-r_k})$, where the $2$ came out of nowhere. I also think the evaluation of $\int\frac{\log(1-x^4)}{x-r_k}$ is incorrect, it doesn't match the integral numerically, according to my computer. – Kirill Aug 29 '14 at 23:10
-
@Kirill I certainly see what you mean by "appear out of nowhere now. It was really careless of me to have made that mistake. I have fixed it and thank you for pointing that out and putting up with my ignorance. As for the evaluation for the last integral, it seems to match the identity in this post. However, I will double-check my working again to find any errors. – SuperAbound Aug 30 '14 at 00:43
-
@SuperAbound I haven't checked your solution myself, but the issue might be that $\log(ab)=\log a+\log b$ isn't necessary true for arbitrary $a$ and $b$ in the complex plane, depending on their phase and the logarithm's branch cut. For reference here is the relevant formula. – Kirill Aug 30 '14 at 01:16
Okay, first of all: it is not easy to answer this question, and I'm not able to show the truth in an elegant way. I did the job with Maple computer algebra system (CAS).
In this form there is no chance to evaulate to solution even with CAS, so we transform into the form, what @Lucian offered. Let $f$ be $$f:=\frac{\ln(\sinh x)}{1+ \sinh x} \cdot e^{x/2}$$
I calculated for you the indefinite integral $\int f(x) \ dx$. It is too long to render with $\LaTeX$, so I paste here the raw Maple output:

After that I calculated the definite integral $\int_0^{\infty} f(x) \ dx$. Here is the closed form:

Which is by 100 digits precision: $4.253149825368695481030630266176679795147658282 \\ 387249226057297960587772473334190569825379100016048097$
A good approximation for this integral for example $$\frac{5}{9} \cdot 3^{4/5} \cdot 5^{2/3} \cdot \ln(3)^{8/9}.$$ The value of this one is $4.2531498232523271$ which is correct for $9$ digits, and also has quite an easy form.
If you need the closed form in raw text I can paste here. For a more accurate answer I think we need here @Cleo or @Tunk-Fey.
- 12,240
-
5After about 4 days I tried to crack this integral, I decided to gave up. Of course I have a partial answer, but as a partial answer it turns out somewhat too lengthy and messy. I doubt it can be solved analytically. Maybe @Cleo can do it. – Tunk-Fey Sep 02 '14 at 08:05
PolyLogterm, but it still looks bad... – Vladimir Reshetnikov Jul 24 '14 at 19:53