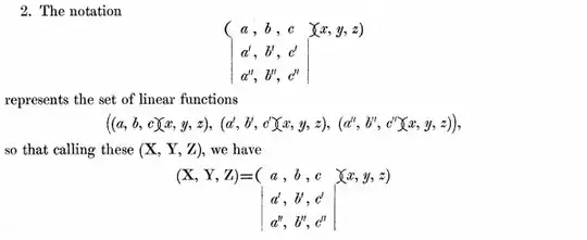
As in my post here, when matrix theory was developed, this notation was not used. Instead, it looked more like
$$ (X,Y,Z)= \left( \begin{array}{ccc}
a & b & c \\
a' & b' & c' \\
a'' & b'' & c'' \end{array} \right)(x,y,z)$$
Which represented the set of linear functions $(ax + by + cz, a'z + b'y + c'z, a''z + b''y + c''z)$ which are then called $(X,Y,Z)$.
This is not the exact notation that was used in 1857 (visible at the bottom of the post) but is more historically accurate than the current notation. We would write your problem as
$$ (1,2)= \left( \begin{array}{cc}
2 & -1 \\
1 & 2 \\
\end{array} \right)(X,Y)$$
It is clear what this is stating in the context of matrix equations. $2X-Y = 1$ and $X+2Y =2$. This is very intuitive but did not stand the test of history. As seen by my post, matrix multiplication was discovered and then was denoted by
$$ \left( \begin{array}{cc}
a & b \\
a' & b' \end{array} \right)\!\!\!\left( \begin{array}{ccc}
\alpha & \beta \\
\alpha' & \beta'
\end{array} \right) = \left( \begin{array}{cc}
a\alpha+b\alpha' & a\beta+b\beta' \\
a'\alpha+b'\alpha' & a'\beta+b'\beta'
\end{array} \right)$$
This notation for matrix multiplication is not consistent with the notation for linear systems so that at some point the matrix equations would be written with column vectors (as follows) and would match matrix multiplication.
$$\left( \begin{array}{c}
1 \\
2 \end{array} \right)= \left( \begin{array}{ccc}
2 & -1 \\
1 & 2
\end{array} \right)\left( \begin{array}{c}
X \\
Y \end{array} \right)$$
In short, this notation of matrices is not the most intuitive but makes the most sense because it matches matrix multiplication in function and form. I can only imagine that having a unified notation reduced confusion while still allowing a semi-intuitive notation.
For reference, this is what the older matrix notation looked like (Source: Memoir on the theory of matrices By Authur Cayley, 1857). If I ever figure out how to typeset this with cross browser compatibility I will edit it in.
