As the title states, I need to be able to calculate logs (base $10$) on paper without a calculator.
For example, how would I calculate $\log(25)$?
As the title states, I need to be able to calculate logs (base $10$) on paper without a calculator.
For example, how would I calculate $\log(25)$?
This is a method I found a year ago. This method takes a lot of time but it will give an accurate answer.
To calculate log(25):
1) Divide 25 by the nearest power of 10. The condition must be 25 ≥ 10n.
2) The value of n is 1 because 25 ≥ 101. So the initial answer is 1.xxxxxx.
3) Divide 25 by 101. The result is 2.5.
4) Raise 2.5 by 10. So 2.510 ≈ 9536.7
(Note: The number is raised to 10 because we are already looking for the digits after the decimal point.)
5) For the next values, the same process will be used.
6) Divide 9536.7 by the nearest power of 10.
7) 9536.7 ≥ 103 so n=3. The answer is now 1.3xxxxx.
8) 9536.7 / 103 = 9.5367
9) Raise 9.5367 to 10. 9.536710 = 6222733625
10) 6222733625 ≥ 10n so n=9. The answer is now 1.39xxxx.
11) Repeat the same process until you get the desired precision.
12) So log (25) ≈ 1.39794.
This also works on logs with bases other than 10, even with decimals. In solving loga(x), just replace 10n with an. Also in solving for n, simply just divide the number by the base repeatedly until you get a quotient nearest to 1. The number of times you divided is n. (ie. 250/10= 25 (1), 25/10=2.5 (2), so n=2)
This is a method I had formulated on my own so I'm not saying that this is 100% reliable. It would be better to check your answer with a calculator. But I've tried this many times without flaws. No log tables, no need to memorize, just pure math.
In case anybody wondered why the algorithm given by Ezui actually works, here is a little algebra to explain why:
The algorithm states, that to find the base $10$ logarithm of $x$ one should repeatedly carry out the following three steps:
- $d=\max(n\mid 10^n\leq x)$, store $d$ as the next digit
- $y=x/10^d$
- $x=y^{10}$
To prove the correctness, it suffices to prove that each "round" is correct. For simplicity, let $\log$ denote the base $10$ logarithm. First note that $d=\lfloor\log(x)\rfloor\in[0,\infty)\cap\mathbb Z$ is the integer part of $\log(x)$ and then $$ \begin{align} \log(y)&=\log(x/10^d)\\ &=\log(x)-d\in[0,1) \end{align} $$ where $\log(y)$ must be the fractional part of $\log(x)$. Thus we have $\log(x)=d+\log(y)$. Now, $\log(y^{10})=10\log(y)\in[0,10)$, so if determine $\log(y^{10})$ this result may be used to compute $\log(x)=d+\log(y^{10})/10$. The first digit of $\log(y^{10})$ is found in step 1. in the next "round" of the algorithm where $x=y^{10}$. So the algorithm is correct and produces a new digit of $\log(x)$ in each step.
For calculating $\log_b(x)$, the algorithm should be:
BigFloat), you must iterate $30$ times. Generally speaking, when you want to get $p$-digit precision, you may want to set the number of iterations to a number much larger than $p$ when $b < 10$.
– ynn
Aug 25 '23 at 00:56
f64 (2) Julia with BigFloat.
– ynn
Aug 25 '23 at 00:58
Calculating them to high precision is tedious, which is why the tables were once so important. The tables relied on interpolation formulae and inevitably contained errors, carried from book to book as a result of silent copying, sometimes for 200 years or more; errors in Vlacq and de Decker's table (1627) were still turning up in tables in the 19th century. This was one of Babbage's motivations for trying to construct a general purpose computer. Luckily, estimating a logarithm reliably to three or four decimal places isn't too hard if you are willing to memorize a handful of values and a simple formula.
Memorize $\log_{10}2,3,5,7$ and $\tfrac1{\ln10}\approx0.4343$.
(Note that $\log_{10}5=1-\log_{10}2$.) Then use $$\ln x\approx2\cdot\tfrac{x-1}{x+1}\text{ for }x\approx1$$ So for example $\log_{10}17=\log_{10}(2^4\cdot\tfrac{17}{16})=4\log_{10}2+\tfrac1{\ln10}\cdot\ln\tfrac{17}{16}$
And that's about $4\cdot0.30103+0.4343\cdot2\cdot\tfrac1{33}=1.23044\overline{12}$. True value: $1.2304489...$
Similarly $\log_{10}22=\log_{10}(3\cdot 7\cdot \tfrac{22}{21})=\log_{10}3+\log_{10}7+\tfrac1{\ln 10}\cdot\ln\tfrac{22}{21}$
Approximately $0.477121+0.845098+0.4343\cdot2\cdot\tfrac1{43}=1.342419$. True value: $1.34242268...$
Something like $\log_{10}3.57$ can be calculated as $-2+\log_{10}357$ which you can expand as $=-2+\log_{10}3+\log_{10}7+\log_{10}17\approx 0.55266$. True value: $0.5526682...$ In general the level of accuracy depends on how far you want to go in memorizing the logarithms of prime numbers.
A neat trick is to first reduce the problem to calculating the log of a number that's very close to 1, then use $\log{(1+x)}=\log{\frac{1+y}{1-y}}$ where $y=\frac{x}{2+x}$. Then use $$\log{\frac{1+y}{1-y}} = 2\sum_{n=0}^\infty\frac{y^{2n+1}}{2n+1}$$
This method is good because the error term converges much faster in the second expansion.
For example, $\log{2}=\log{\frac{1+1/3}{1-1/3}}=\log{\frac{1+1/7}{1-1/7}}-\log{\frac{1+(-1/5)}{1-(-1/5)}}=\log{\frac{1+1/7}{1-1/7}}+\log{\frac{1+1/5}{1-1/5}}$
Then $\log{\frac{1+1/7}{1-1/7}}= 2(1/7+1/(3\times7^3)+\cdots)$, $\log{\frac{1+1/5}{1-1/5}}= 2(1/5+1/(3\times5^3)+\cdots)$. Take only 2 terms, we get $$\log{\frac{1+1/7}{1-1/7}}\approx 2(1/7+1/(3\times7^3))=0.28766\cdots$$ $$\log{\frac{1+1/5}{1-1/5}}\approx 2(1/5+1/(3\times5^3))=0.40533\cdots$$ so $\log{2}\approx 0.28766+0.40533 = 0.69299$
The actual value is $\log{2}=0.69315\cdots$, so by just taking 2 terms from each expansion, we've already got a relative error of less than $3\times10^{-4}$.
Now, this method can be iterated to even more terms, and in general it would increase the accuracy, but at the price of making the formula more complicated.
Another way to accomplish the goal of achieving rapid convergence is by exploiting number coincidences (these two examples taken from section 7.7 of Introduction to Higher Mathematics by Hua Lo-Keng): $$4\log{2}=\log{\frac{16}{15}} + \log{3} + \log{5}$$ $$2\log{5}=\log{\frac{25}{24}} + 3\log{2} + \log{3}$$ $$4\log{3}=\log{\frac{81}{80}} + 4\log{2} + \log{5}$$ Let $a=\log{\frac{16}{15}}, b=\log{\frac{25}{24}}, c=\log{\frac{81}{80}}$, we get $$\log{2}= 7a+5b+3c, \log{3}= 11a+8b+5c, \log{5}= 16a+12b+7c$$.
Each $a, b, c$ is very close to $0$, so the serial expansion converges rapidly. For example, if we take 2 terms to calculate each of $a, b, c$, then: $$a=\log{(1+\frac{1}{15})}=\log{\frac{16}{15}}\approx 2(1/31+1/(3\times31^3))=0.0645385$$ similarly, $b=0.0408220, c=0.0124225$ then $\log{2}= 7a+5b+3c = 0.6931470$. Relative error is $\leq 3\times10^{-7}$
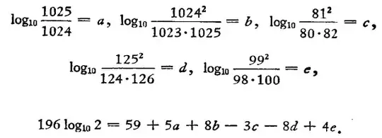
As a more dramatic example, the following can be used to calculate $\log_{10}{2}$, $\log_{10}{3}$, and $\log_{10}{41}$: 
The error analysis can be done by Taylor remainder. For example, $$|\log{\frac{1+x}{1-x}}-2(x+\frac{x^3}{3})|\leq 0.4|\frac{x^5(1+10x^2+5x^4)}{(1-x^2)^5}|$$ So if $|x|<0.3$, then the error is $$|\log{\frac{1+x}{1-x}}-2(x+\frac{x^3}{3})| \leq 1.3|x|^5$$.
Use the power series $ln(y) = -ln(1-x) = \sum_{k=1}^{\infty}\frac{x^k}{k}$ with $y=\frac{1}{1-x}$. For x<1 or y>1 respectively the sum converges.
To get to a different base like 10 use the relation $log_n(x) = \frac{ln(x)}{ln(n)}$
The algorithm is much older than Ezui: I have a booklet at home (written in dutch) from the 19th century, May 1st 1846, 2nd edition, Delft, NL, written by H. Strootman, lecturer at the Royal Academy in Delft, where the algorithm is explained in gory detail.
Entitled: "Iets over de LOGARITHMEN" in english: "Some about LOGARITHMS" It works for all bases g in e.g. $\log g (X)$ in which case you should not take the nearest power of 10 instead the nearest power of g:
so 10^n becomes $g^n$ ....
It is from what I read in this pocketformat booklet the standard way how people computed logarithms those days ...
http://osf1.gmu.edu/~jschreif/math/math.htm
– Ryan Jun 04 '14 at 06:09