3

Base-b Representation of an Integer: Why can I make the assumption about number of terms in expansions in uniqueness part?

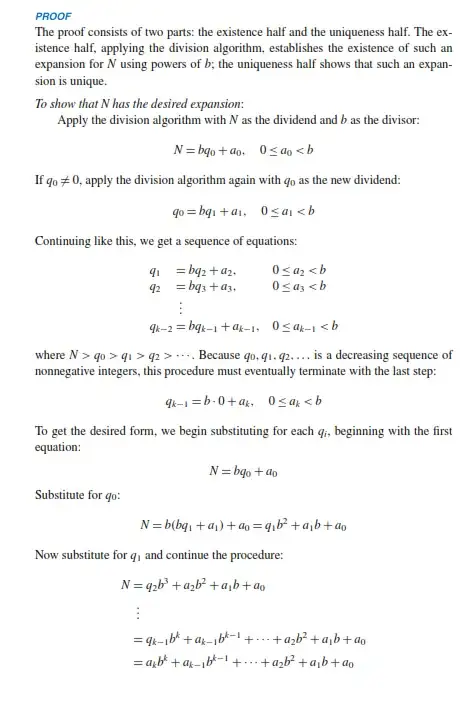
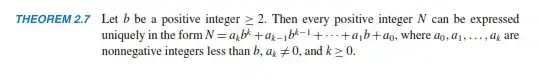
Reading the book of Koshy I have come across the below theorem. It states that I can write any integer $N$ in a base $b\ge2$ representation $N=a_kb^k+...+a_1b+a_0$ such that $0\le a_i<b$, $a_k \neq 0$ for some $k\ge0$.

In the uniqueness part, why can I assume the expansions contains the same number of terms ? I must prove that all expansions of $N$ equal the one in the theorem, but if I add terms to the expansion by zero coefficients, well, then the expansion is not in the proper form anymore ? (the greatest term in the expansion is $0$ if I add zero coefficients) .

Can someone help clear this out ?

enter image description here enter image description here

Why can I assume the expansions contain the same number of terms ? If I add terms to the expansion, well then I've violated the form of the expansion ?

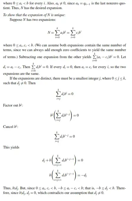
enter image description here enter image description here

Bill Dubuque
  • 272,048

2 Answers2

6

Appending the leading zeros is a notational convenience that permits one to write uniformly the coefficients in the subtraction. This can prove confusing, as you note. However, it is not needed since the proof can be presented more clearly as follows.

The idea behind the proof is that radix $\,b\,$ representation arises by iterating the operation of division by $\,b\,$ (with remainder). Since the quotient and remainder in the division algorithm are unique, this implies the uniqueness of the digits (remainder sequence) in radix representation. One can prove this by induction using the recursive definition of the radix representation. Alternatively one can prove it more directly as follows.

Suppose that $\,n\,$ has two different radix reps. Let $\,k\,$ be the least place (digit index) where the differ. Then, dividing both reps by $\,b^k\,$ yields $\ q b^k + r = n = q' b^k + r'.\ $ Note $\,r' = r\,$ since all digits of index $< k$ are equal, so subtracting $\,r = r'$ yields $\, q b^k = q' b^k.\,$ Cancelling $\,b^k\ne 0\,$ yields $\,q = q'.$ Thus $\,q\,$ and $\,q',\,$ being equal, have equal remainder when divided by $\,b,\,$ by the uniqueness of the remainder. But these remainders are the $k$'th digit of each rep which, by hypothesis, differ, a contradiction.

To formalize the proof in your book we can use polynomials as follows. If $\,g(x) = \sum g_i x^i$ is a polynomial with integer coefficients $\,g_i\,$ such that $\,0\le g_i < b\,$ and $\,g(b) = n\,$ then we call $\,(g,b)\,$ the radix $\,b\,$ representation of $\,n.\,$ It is unique: $ $ if $\,n\,$ has another rep $\,(h,b),\,$ with $\,g(x) \ne h(x),\,$ then $\,f(x)= g(x)-h(x)\ne 0\,$ has root $\,b\,$ but all coefficients $\,\color{#c00}{|f_i| < b},\,$ contra the following slight generalization of: $ $ integer roots of integer polynomials divide their constant term.

Theorem $\ $ If $\,f(x) = x^k(\color{#0a0}{f_0}\!+f_1 x +\cdots + f_n x^n)=x^k\bar f(x)\,$ is a polynomial with integer coefficients $\,f_i\,$ and with $\,\color{#0a0}{f_0\ne 0}\,$ then an integer root $\,b\ne 0\,$ satisfies $\,b\mid f_0,\,$ so $\,\color{#c00}{|b| \le |f_0|}$

Proof $\ \ 0 = f(b) = b^k \bar f(b)\,\overset{\large b\,\ne\, 0}\Rightarrow\, 0 = \bar f(b),\,$ so, subtracting $\,f_0$ from both sides yields $$-f_0 =\, b\,(f_1\!+f_2 b+\,\cdots+f_n b^{n-1})\, \Rightarrow\,b\mid f_0\, \overset{\large \color{#0a0}{f_0\,\ne\, 0}}\Rightarrow\, |b| \le |f_0|\qquad {\bf QED}\qquad\quad$$

Bill Dubuque
  • 272,048
  • Thank you, Bill. So I've two questions more: How exactly is an expansion defined ? Say, $N = a^kb^k + ... + a_1b+ a_0$ is an expansion of $N$. Then we can always put zeros in front, which is the exact same expansion ? Does an expansion of $N = a^kb^k + ... + a_1b+ a_0$ implicitly contains an infinite number of zero terms in front of the leading non-zero $a_kb^k$ that we don't write ? - That is an expansion is determined by the coefficients $a_i$ up to and including the last non-zero coefficient $a_k$ ? Every expansion with some $0$-coefficients in front $a_j = 0$ for $j>k$ is equal to this? – Andreas Lykke Iversen May 04 '14 at 17:39
  • @Andreas One way to formalize this is to define the digit sequence not as a finite sequence but, instead, as in infinite sequence that is eventually zero, just as one does for the coefficient sequence of a polynomial. – Bill Dubuque May 04 '14 at 18:06
  • Is this the way (you think) it is defined in my textbook, or is there an error ? There is no definition of an expansion given. So an expansion is a digit sequence ? The digit sequence is unique only up the most significant digit $a_k$ ? – Andreas Lykke Iversen May 04 '14 at 18:34
  • @AndreasLykkeIversen The expansion is the polynomial expression in the radix. If it is nonunique then the proof derives the contradiction that a polynomial has too big a root. I appended to my answer a more formal presentation of the proof in your book, highlighting the role played by polynomials. – Bill Dubuque May 04 '14 at 21:57
  • @AndreasCaranti The proof from the OPs book is also nice if one expresses it in terms of polynomials - see my appended edit. Iirc that theorem occurs here in some other questions, but probably will not be easy to locate by search. – Bill Dubuque May 04 '14 at 22:00
  • Thank you very much so far @BillDubuque. In the OP-theorem, isn't it a bit contradictory to state "we can always add terms by $0$-coefficients for the expansions to equal the same number of terms", since the proof shows every expansion MUST contain the same number of terms ? Otherwise we add at least one $0$-coefficient that must equal $a_k$ (leading term) in the expansion containing most terms ? – Andreas Lykke Iversen May 05 '14 at 08:50
0

The proof technique supplied by Koshy works if you are in the integer setting.

There is no problem padding with zeroes since all you want to do is to show that all the coefficients of any Base-b representation agree.

But, there is a slight error (typo?) in Koshy's proof. The last inequality states that

$-b \le d_j \lt b$

What you really have is

$-b \lt d_j \lt b$

and that is needed to complete the proof.

CopyPasteIt
  • 11,366