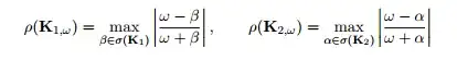
I've given the real valued matrix $K=K_1+K_2$, with $K_1$ and $K_2$ symmentric and positiv defined. Further there are given this 3 matrices:
with $\omega > 0$ and

Now I tried the whole day to show this:

and this:

Could somebody help me ???
My idea was the following: In every bracket of the matrix $M$ there is a symmetric positiv defined matrix. Hence we know $A*B=(B*A)^t$ (here the small t means transposed). With this in mind I tried to change the order of the brackets in M and the to use the triangle inequality to get the claim, but I didn't reached it.
I would be very happy if someone has a better idea