I don't understand the bit of the solution of highlighted in green. Up to this point I've been using $U'=\frac{dU}{d\xi}$. Why can I know interchange that with $U'=\frac{dU}{dx}$?
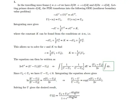
For the viscous Burgers equation $$u_t+uu_x=\nu u_{xx},\quad x\in\Bbb R,\quad t\gt0,$$ subject to boundary conditions $u(-\infty,t)=U_1, \ u(\infty,t)=U_2$ where $U_2\lt U_1$ are constants, derive the exact travelling wave equation of the form $u(x,t)=U(\xi=x-ct)$ ($c$ to be found) $$U(\xi)=\frac{U_2 + U_1e^{-\frac{(U_1-U_2)x}{\nu}}}{1 + e^{-\frac{(U_1-U_2)x}{\nu}}}.$$
