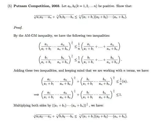
I just wanted to have your opinions on my solution to this question. Any criticism would be welcome, especially with LaTeX formatting. I'm new to this website and still can't seem to get my LaTeX code to work on here. I assume it's not as simple as copy and pasting the code. There is a blank box or \qed symbol at the bottom, it just wasn't shown in the screen shot.
Here is an updated proof.
