The gradient of the function $\phi$ is:
$$ \nabla\phi =(\frac{\partial\phi}{\partial x},\frac{\partial\phi}{\partial y},\frac{\partial\phi}{\partial z}) $$
and the unit normal is:
$$ \vec{N}=\frac{\nabla\phi}{|\nabla\phi|} $$
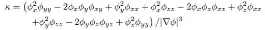
while the curvature can be defined as (I copy it from a book):
$$ \kappa =\nabla\cdot\vec{N}=\nabla\cdot(\frac{\nabla\phi}{|\nabla\phi|}) $$
The book gives the answer like this which I have no idea how does it come out :

I'm appreciate for the detailed explanation:-)