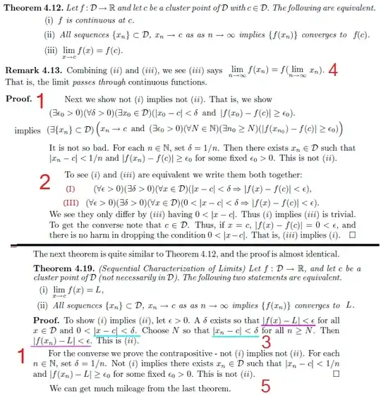
3

1. This post became too long, ergo I moved this here.

2. I questioned anew here. How does $\color{red}{(I) \implies (III)}$? This contradicts $a \le b \not \implies \Leftarrow a < b$.

3. Don't we need ${0 <}$ before $|x_n - c| < d$ ?

How $\color{red}{(III) \implies (I)}$ ? By the agency of dafinguzman's consummate answer, I understand $x = c \implies |f(x) - f(c)| < e$. But $\color{red}{(III)}$ contains $0 < |x - c|... $ which $\iff x \neq c$.
Ergo $x = c$ is impossible?

4. Why separate (ii),(iii)? I know (ii) says $\color{red}{\lim _{n\rightarrow \infty } x_n = c}$
$\implies (iii) \quad \lim _{n\rightarrow \infty } f(x_n) = f(\color{red}{c}) = f(\color{red}{\lim _{n\rightarrow \infty } x_n}) $.

I didn't notice we need only (ii) to assert $\lim _{n\rightarrow \infty } f(x_n) = f(\color{red}{c}) = f(\color{red}{\lim _{n\rightarrow \infty } x_n}) $? And my first course in analysis doesn't include "metric spaces".

5. Why is Theorem 4.19 is 'much mileage'? Does it signify Theorem 4.12 is less useful?

enter image description here

(pp 3, 5 sur 14 https://math.la.asu.edu/~dajones/class/371/ch4.pdf)

1 Answers1

0

2– The absolute value is always $\geq 0$. This means that $x$ satisfies $|x-c|<\delta$ –which appears in $\color{red}{(I)}$– if and only if

$\quad 0<|x-c|<\delta \,$ or $\, \color{dodgerblue}{|x-c|=0}$.

You know that $|x-c|=0$ just means that $x=c$, so that the same $|x-c|<\delta$ is equivalent to

$\quad0<|x-c|<\delta \,$ or $\, \color{dodgerblue}{x=c.}$

Therefore, from what is above, $\color{red}{(I)}$ implies $\color{red}{(III)}$, because $\color{red}{(I)}$ says that either in the case that $0<|x-c|<\delta$ or in the case that $x=c$ the images satisfy $|f(x)-f(c)|<\epsilon$.

For the converse, notice that $\color{red}{(III)}$ says that in the case that $0<|x-c|<\delta$ the images satisfy $|f(x)-f(c)|<\epsilon$. What you need to show, to prove that $\color{red}{(III)}$ implies $\color{red}{(I)}$, is: in the case $x=c$ the images also satisfy $|f(x)-f(c)|<\epsilon$.
But in that case $|f(x)-f(c)|=|f(c)-f(c)|=0$, so the implication is satisfied trivially.

This is no contradiction. It is still true that $a\le b$ does not imply $ a<b$. $\color{red}{(I)}$ implies $\color{red}{(III)}$ even if $a\le b$ does not imply $ a<b$, because the conclusion $f<\epsilon$ still holds trivially in the case that $x=c$.

3– Now that you know that $|f(x)-f(c)|<\epsilon$ is satisfied trivially for $|x-c|=0$, you don't have to worry too much about writing $|x-c|< \delta$ or $0<|x-c|< \delta$, as it doesn't make any difference for the continuity argument.

4– Statement $(ii)$ can be phrased as

"whenever $\lim x_n=c$, you have that $\lim f(x_n)=f(c)$."

You only need that phrase in order to assert that $\lim f(x_n)=f(\lim x_n)$ when the limits exist. It follows from replacing $f(c)$ with $f(\lim x_n)$ in the above phrase, because you know that $\lim x_n=c$. This is the meaning of "the limit passes through $f$": It doesn't matter if you perform the limit operation or the mapping under $f$ first on a sequence, the result will be the same. That is the important message that the author wanted to give you.

I sincerely don't know why he (the author) says that you "combine $(ii)$ and $(iii)$". However, if you have your ideas clear it shouldn't matter too much, maybe it is an error. What $(iii)$, or $\lim_{x\to c}f(x)=c$, means is that for every positive $\epsilon$ there exists a positive $\delta$ such that $$|f(x)-f(c)|<\epsilon \text{ whenever }|x-c|<\delta.$$

Now, don't try to totally understand now what I'm about to write, just get an idea (you will surely understand it completely after some time, or in another course): I would like to point out that the nature of these two definitions is different: (ii) asserts that the images are close whenever any countable subset (the sequence, starting from some N) of points of the domain are close; (iii) asserts that the images are close whenever all the points inside a neighborhood are close (an uncountable number of points in an open interval with "no holes").

These two definitions were not equivalent a-priori! It is very nice that they actually are equivalent, and it is not true in more abstract spaces called topological spaces, as this wikipedia article exemplifies (last paragraph of the "Examples" section). If this is confusing you, just ignore it.

5– He is just trying to tell you that the last theorem is very useful in the remainder of the course. He uses a figure of speech (or metaphor): "get much mileage from.." means "travel a lot of miles using..". In this context it means that you can make much progress using the last theorem. It's not that the other theorem is less useful, but it only deals with criteria for continuity, while the other is a more general statement about limits, involving not necessarily continuous functions. I think it is a matter of opinion, anyway, and you can have your own after going through the rest of the book.

dafinguzman
  • 3,437
  • @TuckerRapu I think I finally understood your problem. If you assume "$0<|x-c|<\delta$ implies $|f(x)-f(c)|<\epsilon$", this doesn't mean that $x$ cannot take the value $c$, it just means that when $x$ takes the value $c$ you are not assuming that $|f(x)-f(c)|<\epsilon$. By my explanation in the answer, it doesn't matter because in that case $|f(x)-f(c)|<\epsilon$ follows automatically. – dafinguzman Mar 12 '14 at 19:05
  • @TuckerRapu It doesn't contradict that. When you say that (I) implies (III) what you mean is that if you assume that "for all $x$ which satisfy $0\le |x-c|\dots$ their images satisfy..." it follows that "for all $x$ which satisfy $0< |x-c|\dots$ their images satisfy...". You are never asserting that "$a\le b$ implies $a<b$", which would be wrong. – dafinguzman Mar 13 '14 at 12:22
  • thanks. i'm still fazed. you wrote "... $0 \le |x - c| $... " it folows that "$ 0 < |x - c| ...$. How's this different from $ a\le b \implies a < b$ ? –  Mar 13 '14 at 12:31
  • "Every human dies" implies that "Every woman dies". It doesn't mean that "$a$ is human $\implies$ $a$ is woman" (I am certainly not one). – dafinguzman Mar 13 '14 at 12:45
  • @TuckerRapu I wish you well. – dafinguzman Mar 13 '14 at 16:24
  • thank you again. i rectified a wrong order. please apprise me if i should be reproached. –  May 01 '14 at 21:41