9

Ramanujan's famous factorial approximation, $$n!\approx\sqrt{\pi}\left(\frac{n}{e}\right)^n\root\LARGE{6}\of{8n^3+4n^2+n+\frac{1}{30}}$$ is far more accurate that the Stirling approximation when applied to numbers less than 1, but it's not quite there. What could be done to tweak it without adding to its complexity?

Update: After experimenting with Ramanujan's approximation, I've discovered this disturbing fact: apparently, the error decreases slower than the factorial increases, leading to massive integer-level errors the higher the factorial gets. Allow me to demonstrate: $$\begin{array}{r|rr} n&\text{actual }n!&\text{Ramanujan}\\\hline 0&1&1.005513858315898906334685\\ 1&1&1.000283346113497298280502\\ 2&2&2.000066137639113675155990\\ 3&6&6.000048293969899370824935\\ 4&24&24.000067662060676644042510\\ 5&120&120.000147065856635128019467\\ 6&720&720.000442402580258517644894\\ 7&5040&5040.001717876125295382828871\\ 8&40320&40320.008220460028928349902077\\ 9&362880&362880.046912269278701001557543\\ 10&3628800&3628800.311612606631103904381528\\ 11&39916800&39916802.364768173672637433190699\end{array}$$ At first the error reduction is apparent, but then the zeroes start to disappear, until at $11!$ the error overtakes the decimal point. Now I'm not saying the error is increasing—only that it it not decreasing fast enough. What can be done to correct this problem without radically altering the formula? I know that Ramanujan himself anticipated this problem when he wrote this inequality: $$\sqrt{\pi}\left(\frac{n}{e}\right)^n\root\LARGE{6}\of{8n^3+4n^2+n+\frac{1}{100}}<n!<\sqrt{\pi}\left(\frac{n}{e}\right)^n\root\LARGE{6}\of{8n^3+4n^2+n+\frac{1}{30}}$$ Could this hold the key? (See Formula 2.1 here)

6 Answers6

9

Interestingly, if we do a series expansion in Mathematica

Series[(Gamma[n + 1]/Sqrt[Pi] (n/Exp[1])^-n)^6, {n, Infinity, 6}]

We get $$8 n^3+4 n^2+n+\frac{1}{30}-\frac{11}{240 n}+\frac{79}{3360n^2}+\frac{3539}{201600 n^3}-\frac{9511}{403200 n^4}-\frac{10051}{716800n^5}+\frac{233934691}{6386688000n^6}+O\left(\frac{1}{n}\right)^{13/2}.$$ This suggests that your ad hoc adjustment of the constant term is probably not strictly justified.

heropup
  • 135,869
  • I was simply making it more accurate without making it more complex. My goal was not to add more baggage to the equation, but simply to fine-tune it. My results are purely experimental at this point, with no formal mathematical proof; I'm simply musing. But considering that the approximation 1. is greater than every value of the factorial, and 2. less than Ramanujan's approximation in every case, I think I'm on firm ground. – Brian J. Fink Feb 15 '14 at 02:58
  • I didn't intend my comment to be a criticism of your adjustment. Indeed, if you look at the series expansion around $n = 1$, your adjustment is in fact superior. The point I was raising is that the series expansion doesn't strictly reflect such a choice. – heropup Feb 15 '14 at 03:33
  • That is why they are called "approximations." :-) – Brian J. Fink Feb 15 '14 at 03:42
  • As long as you're making comments like that, I think you should be more respectful with your wording: Ramanujan was not "off by a tiny bit." That approximation is completely mathematically justified. – heropup Feb 15 '14 at 04:04
  • I simply meant that the approximation wasn't accurate enough and could use some improvement, that's all. – Brian J. Fink Feb 15 '14 at 04:08
  • @BrianJ.Fink. I wanted to thank you since it is your answer which made me remembering that empirical work I did really so long time ago. As in your case, I wanted to be and stay very respectful to Ramanujan. A so great mathematician. Cheers. – Claude Leibovici Feb 15 '14 at 18:58
  • This answer probably greatly explains the error margins noticed in OP's calculations. If Ramanujan used this expansion to approximate the factorial (assuming this is the case), then the truncated formula can oscillate around the correct values, but when $n$ grows large (and $n = 11$ is definitely NOT large...), the deleted terms will grow very small, and the approximation will grow better.

    An horrible suggestion for the factorial, but actually the only option ; if you really want to know how good it is numerically, IMO push your computations further.

    – Patrick Da Silva Feb 16 '14 at 03:50
  • 2
    @PatrickDaSilva Indeed. This is understood from the code itself: it is the series expansion at $n = \infty$, so of course, it is asymptotic for large $n$, not small $n$. Making the adjustment is fine if you want to do small approximations but (1) one should justify it using more than empirical observation, and (2) one should keep in mind that for large $n$, such modifications no longer hold asymptotically. That is why I felt it disrespectful to claim "Ramanujan was off," considering that he was well aware of exactly what he was doing, and under what conditions the expansion holds. – heropup Feb 16 '14 at 04:10
  • btw @heropup, your answer should have been posted as a comment on my answer. You have way more reputation than you need to comment, and you should know better than to respond to an answer with another answer. – Brian J. Fink Feb 17 '14 at 18:30
  • @heropup, is a similar expansion found when using, say, 8 instead of 6? Just curious. – Brian J. Fink Feb 20 '14 at 20:03
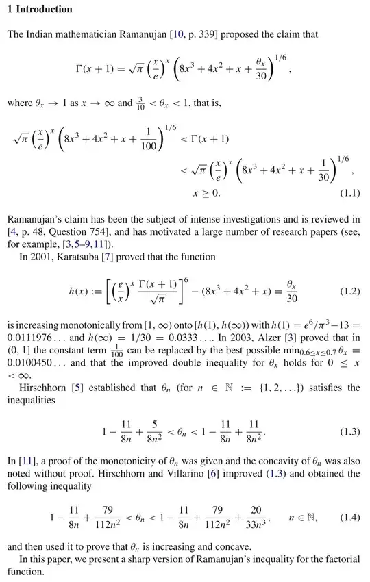
7

Long time ago, needing an explicit formula for statistical thermodynamics, I was facing the same problem of the calculation of $n!$ for $0<n<1$. Starting from Ramanujan's approximation, what I did was to write $$n!\approx\sqrt{\pi}\left(\frac{n}{e}\right)^n\root\LARGE{6}\of{8n^3+4n^2+n+x(n)}$$ What can be easily established is that $$x(0)=\frac{1}{\pi ^3}$$ just as proposed by Brian J. Fink. We can also show that $$x(1/2)=\frac{1}{8} \left(e^3-20\right)$$ and $$x(1)=13-\frac{e^6}{\pi ^3}$$ and I used (this is totally empirical and cannot be justified) a quadratic expansion of $x(n)=a+b n+c n^2$ which leads to $$a=\frac{1}{\pi ^3}$$ $$b=\frac{1}{2} \left(6+e^3-\frac{2 \left(3+e^6\right)}{\pi ^3}\right)$$ $$c=\frac{1}{2} \left(-32-e^3+\frac{4 \left(1+e^6\right)}{\pi ^3}\right)$$ Again, this has never been supposed to be used outside the range $[0,1]$

  • I know the formula can be improved further; I simply wanted to make a minor adjustment to a formula that is greater than $n!$ for all $n$. I'm going for simplicity, not further complication. – Brian J. Fink Feb 15 '14 at 18:34
5

The fraction $\tfrac{1}{30}$ may not be, practically speaking, the best upper bound for the final term of the radicand. Indeed, according to Ramanujan's own notes, the number ranges from $\tfrac{1}{30}$ down to $\tfrac{1}{100}$. Observe that when evaluated at $0$, $$\begin{align}0!&\approx\sqrt{\pi}\left(\frac{0}{e}\right)^0\root{\LARGE{6}}\of{8\cdot0^3+4\cdot0^2+0+\frac{1}{30}}\\ &=\sqrt{\pi}\cdot1\cdot\root{\LARGE{6}}\of{\frac{1}{30}}\\ &=\frac{\sqrt{\pi}}{\root{\LARGE{6}}\of{30}}\\ &=\root{\LARGE{6}}\of{\frac{\pi^3}{30}}\\ &\approx1.00551\end{align}$$ Notice the error in the result. However, if we replace the number $30$ in the above formula with $\pi^3$, the result is dead accurate: $$\begin{align}0!&\approx\sqrt{\pi}\left(\frac{0}{e}\right)^0\root{\LARGE{6}}\of{8\cdot0^3+4\cdot0^2+0+\frac{1}{\pi^3}}\\ &=\sqrt{\pi}\cdot1\cdot\root{\LARGE{6}}\of{\frac{1}{\pi^3}}\\ &=\frac{\sqrt{\pi}}{\root{\LARGE{6}}\of{\pi^3}}\\ &=\root{\LARGE{6}}\of{\frac{\pi^3}{\pi^3}}\\ &=1\end{align}$$ Now let's try it on $n=1$: $$\begin{align}1!&\approx\sqrt{\pi}\left(\frac{1}{e}\right)^1\root{\LARGE{6}}\of{8\cdot1^3+4\cdot1^2+1+\frac{1}{\pi^3}}\\ &=\frac{\sqrt{\pi}}{e}\root{\LARGE{6}}\of{13+\frac{1}{\pi^3}}\\ &\approx1.0002695\end{align}$$ For this reason, I recommend this modification to Ramanujan's approximation: $$n!\approx\sqrt{\pi}\left(\frac{n}{e}\right)^n\root\LARGE{6}\of{8n^3+4n^2+n+\frac{1}{\pi^3}}$$ Alternatively, since $\pi^3\approx31.00627668$, a slightly less robust adjustment to the formula can be made by substituting $31$ for $30$, instead of $\pi^3$.

Let me know what you think about this!

Additional thoughts: Based on the material I added to my question above, perhaps $\tfrac{1}{\pi^3}\approx31$ should be gradually reduced toward $\tfrac{1}{\pi^4}\approx97$ as $n$ increases. A draft formula, pending further investigation: $${\large n!\approx\sqrt{\pi}\left(\frac{n}{e}\right)^n\root\LARGE{6}\of{8n^3+4n^2+n+\frac{1}{\pi^{3+c}}}}$$ where $$\left(\frac{n}{n+1}\right)^3>c>\left(\frac{n}{n+1}\right)^2$$ The formula above is constantly evolving as I test and make adjustments. This formula is tricky to adjust. I have to express it in terms of an unknown value $c$ until I can dial it in, so to speak. My current estimate is $$c\approx\left(\frac{n}{n+1}\right)^{{\pi^3}\lower{2pt}/\lower{4pt}{12}}$$ Conclusion: The answer is no and no. According to my own analysis, Ramanujan's formula is only useful for estimating what the value of $n!$ might be for some $n$; and the error reduction rate appears painfully slow, slow enough to begin to accumulate error in the integer range as early as $11!$; as for tweaking it, the need appears to be for an adjustment of a major sort, which perhaps I will be unable to accomplish at this time. Indeed, any adjustment that optimizes the formula over one range appears to diminish its accuracy over another, as with all asymptotic approximations of Factorial and Gamma functions in general. I'm not saying a formula for the factorial function cannot be found that is optimal for all $x\geqslant0$; I simply have neither the time nor the mathematical expertise to do it myself.

  • I tried applying a similar adjustment to Gosper's approximation, but it seems not to help that one. – Brian J. Fink Feb 15 '14 at 05:28
  • So you mean $0^0 = 1$? – Soham Chowdhury Feb 15 '14 at 08:01
  • @Soham, yes it is. Any number to the zeroth power is 1. – Brian J. Fink Feb 15 '14 at 20:15
  • 2
    I'm not sure if you've grokked this, so I feel I should point out that tweaking the constants in a truncated Taylor series always makes the approximation worse for sufficiently large $n$. All you can hope to gain from tweaking the values of the constants is to get a better fit for smaller values of $n$. –  Feb 16 '14 at 22:58
3

Back to the problem three and half years later.

Considering heropup's interesting answer, considering $$n!\approx\sqrt{\pi}\left(\frac{n}{e}\right)^n\root\LARGE{6}\of{8n^3+4n^2+n+x(n)}$$ we can approximate $x(n)$ by $$x(n)=\frac{1}{30}+\frac{1455925-70798882\, n}{1544702880\, n^2+760646880\, n+981836548}$$ which leads to $$\left( \begin{array}{ccc} n & n! & \text{approximation}\\ 1 & 1 & 1.0000133314197806798 \\ 2 & 2 & 2.0000005398355538814 \\ 3 & 6 & 6.0000001098448978182 \\ 4 & 24 & 24.000000057274931372 \\ 5 & 120 & 120.00000005587036156 \\ 6 & 720 & 720.00000008585188238 \\ 7 & 5040 & 5040.0000001871217948 \\ 8 & 40320 & 40320.000000539851469 \\ 9 & 362880 & 362880.00000196433740 \\ 10 & 3628800 & 3628800.0000087019948\\ 11 & 39916800 & 39916800.000045696065 \end{array} \right)$$

This would make heropup's expansion $$8 n^3+4 n^2+n-\frac{644167196629}{44487442944000 \, n^5}+O\left(\frac{1}{n^6}\right)$$

3

The errata to the 4th volume (published in the 5th vol.) of Ramanujan's lost notebooks published in 2018—basically a survey of the results—mentions a couple new refinements of Ramanujan's approximation of the factorial

Hirschhorn & Villarino mentioned here:

⤵ Chen https://doi.org/10.1007/s11139-014-9625-0 mentioned here:

P. 1-2 of Chen's paper contains the 'sharpened' formula and best values for a and b:

(Apologies I'm posting from mobile and can't type that LaTex up right this minute)

See also Stirling's approximation, discussed with Python implementation here, it depends on the range of n you wish to estimate on

0

Although this question has been answered, I wondered what happened if I expanded on Claude Leibovici's answer, specifically the $x(n)$ part.

So let's state the altered version of Ramanujan's factorial approximation:

$$\fbox{$n!=\sqrt{\pi} (\frac{n}{e})^n \sqrt[6]{8n^3+4n^2+n+x(n)}$}\tag1$$

There will be 2 investigations of $x(n)$: the first investigation is to try and find the formula to it, the second investigation would be making $x(n) = \frac{1}{\pi^3}$ and seeing what happens before seeing the results when I add another value to $\frac{1}{\pi^3}$ as well as seeing the results when I expand upon Brian Fink's answer.

Investigation 1: Finding the exact formula for $x(n)$

From Claude, I know that

$$x(0)=\frac{1}{\pi^3}$$ $$x(1)=\frac{e^6}{\pi^3}-13$$

$x(1)$'s value given above is the correct value when doing calculations.

Calculating for more values of $n$, I get:

$$x(2)=\frac{e^{12}}{64\pi^3}-82$$ $$x(3)=\frac{64e^{18}}{531441\pi^3}-255$$ $$x(4)=\frac{729e^{24}}{1073741824\pi^3}-580$$ $$x(5)=\frac{191102976e^{30}}{59604644775390625\pi^3}-1105$$

Looking at all these values calculated above, I conjectured that

$$\fbox{$x(n)=\frac{m_1e^{6n}}{m_2\pi^3}-m_3$}\tag2$$

where $m_1, m_2, m_3$ are all constants.

Now, looking at $(1)$, I know that $\frac{e^{6n}}{\pi^3}$ is true, that $\frac{m_1}{m_2}$ is a simplified form of $\frac{(n!)^6}{n^{6n}}$ and that $m_3 = 8n^3 + 4n^2 + n$.

Looking at the above, I simplified $(2)$ to

$$x(n)=\frac{m_1e^{6n}}{m_2\pi^3} - (8n^3 + 4n^2 + n)$$

and hence, $(1)$ to

$$n!=n^n\sqrt[6]{\frac{m_1}{m_2}}$$

Now, to continue this investigation, I have to find the formula for $\frac{m_1}{m_2}$ (I am assuming that $\frac{m_1}{m_2} \neq \frac{(n!)^6}{n^{6n}}$ since that would render this investigation useless and remembering the fact that fractions can be simplified.).

However, upon further analysis, $\frac{(n!)^6}{n^{6n}}$ cannot be algebraically simplified any further and simultaneously have an impact on $(1)$. Therefore, this concludes Investigation 1.

Conclusion to Investigation 1: There is no direct formula for $x(n)$.

Investigation 2: Letting $x(n) = \frac{1}{\pi^3}$ before trying 2 different approaches to improve on it.

First, let $x(n)=\frac{1}{\pi^3}$. Therefore, $(1)$ becomes

$$n!=\sqrt{\pi} (\frac{n}{e})^n \sqrt[6]{8n^3+4n^2+n+\frac{1}{\pi^3}}$$

Now, if I draw up tables that compare the old Ramanujan approximation and the error to $n!$ compared to the new Ramanujan approximation and the error to $n!$, I find the following:

Old Ramanujan approximation:

$$\begin{array}{r|rr} n&\text{actual }n!&\text{Old Ramanujan approximation}\\\hline 0&1&1.005513858315898906334685\\ 1&1&1.000283346113497298280502\\ 2&2&2.000066137639113675155990\\ 3&6&6.000048293969899370824935\\ 4&24&24.000067662060676644042510\\ 5&120&120.000147065856635128019467\\ 6&720&720.000442402580258517644894\\ 7&5040&5040.001717876125295382828871\\ 8&40320&40320.008220460028928349902077\\ 9&362880&362880.046912269278701001557543\\ 10&3628800&3628800.311612606631103904381528\\ 11&39916800&39916802.364768173672637433190699\end{array}$$

New Ramanujan approximation:

$$\begin{array}{r|rr} n&\text{actual }n!&\text{New Ramanujan approximation}\\\hline 0&1&1\\ 1&1&1.000269507969642134171580\\ 2&2&2.000061741699989886660850\\ 3&6&6.0000440521341150228558159\\ 4&24&24.000060201780527149890347\\ 5&120&120.00012748634469514287008\\ 6&720&720.000373279217731143498611\\ 7&5040&5040.00140952823029378963784\\ 8&40320&40320.0065531124912329858538\\ 9&362880&362880.036299640411270243050\\ 10&3628800&3628800.23381599868447296934\\ 11&39916800&39916801.7188944492554382834\end{array}$$

Comparing these 2 tables shows that having $x(n)=\frac{1}{\pi^3}$ has had a miniscule yet impactful effect on the approximation, getting it closer to the exact value of $n!$.

Now, I will start the 2 sub-investigations and their respective results: adding an additional value to $x(n)$ and expanding upon Brian Fink's work. (TBD at a later date.)

All text in italics are either notes or thoughts.

Edits and suggestions to this post are welcome.