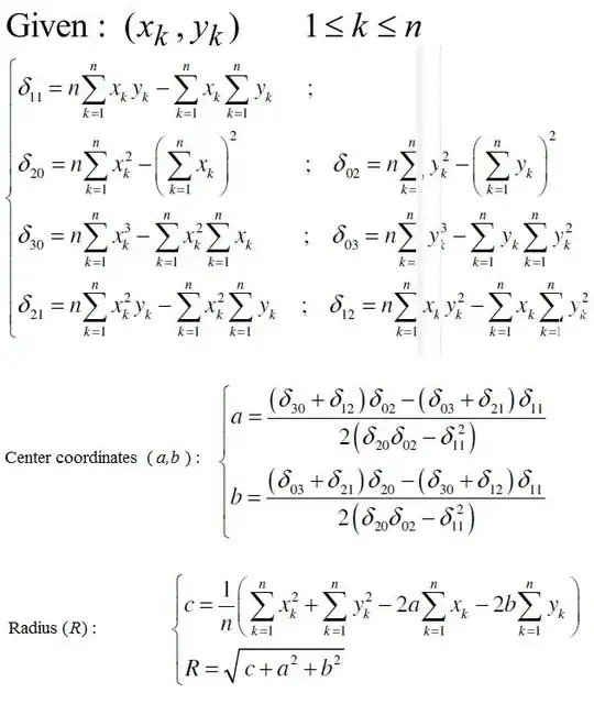
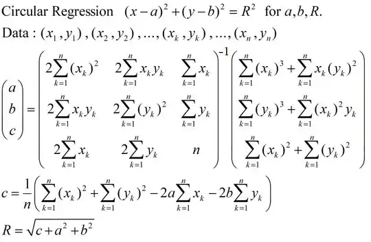
I am trying to work out if the centre of rotation of a measured sphere is actually at 0,0 or slightly offset from the centre.
The situation is as follows: I have a machine tool with a table that rotates about its centre. I wish to verify that the centre of the table is at 0,0 according to the machine coordinate system. I have measured the centre position of a sphere mounted on the table at various rotations of the table so have a number of x,y coordinates for the sphere centre relative to 0,0 (note: the sphere was not necessarily mounted on the table at x=0). Hopefully the image helps to illustrate this.

I would like to be able to calculate the actual centre of rotation (shown by the purple dot) from these coordinates and the angles.
I have a feeling that there is a simple way of doing this but I cannot work it out.
Any help on this would be greatly appreciated.
Many thanks in advance.



My name is Dr. Jon Stammers and I work at the "AMRC with Boeing". Please let me know if you need any more information.
– guitarmanjon Feb 14 '14 at 10:42