As far as I know this is the formula for FT : 
On this question on part b) I fint on the answer the part with e^-jwt is changed with cos(wt) I have no idea how cos(wt) came in ... would you please enlighten me?

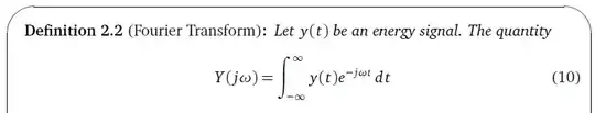
As far as I know this is the formula for FT : 
On this question on part b) I fint on the answer the part with e^-jwt is changed with cos(wt) I have no idea how cos(wt) came in ... would you please enlighten me?
