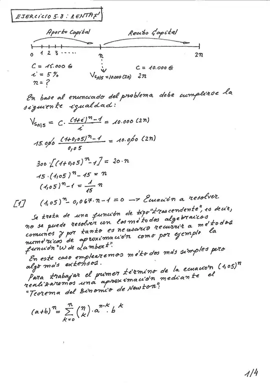
Does anyone know how to solve this equation, with the variable in the exponent and also in the base? $$1.05^{2y}-0.13y-1=0$$
Thank you very much.
Does anyone know how to solve this equation, with the variable in the exponent and also in the base? $$1.05^{2y}-0.13y-1=0$$
Thank you very much.
1.05 being nearly 1 is helpful. Writing it as $(1+0.05)^{2y} \approx 1 + 2y (0.05) + 2y(2y-1) (0.05)^2 /2$ gives $y=5.5$ Expanding to cubic term gives a quadratic equation that will give you a better estimate of y.
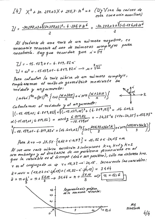
Equations like this can sometimes be "solved" using the Lambert W function, but many do not define that as a solution. Usually you are reduced to numeric rootfinding, which is discussed in any numerical analysis book. This one has a root at $y=0$ and another near $5.5$ as shown by this Alpha plot. Alpha gives this solution, but I don't feel much smarter. I haven't gotten it to solve it numerically
Following the proposal of @user121049, I attached the full resolution of the equation by a Newton binomial expansion to grade 3. Subsequently you have to use cubic equations solving methods and complex numbers to solve the negative root. The specific function is similar to the equation for this question: (1,05)^n-0,067n-1=0 @Deneb



