3

I'm trying to calculate the following integral $$\int\limits_S \exp\left\{\sum_{i=1}^n \lambda _ix_i\right\} \, d\sigma$$ where the $\lambda_i$ are constant real parameters, $S$ is a surface in $\mathbb{R}^n$ determined by the conditions $$\sum _{i=1}^n x_i=1$$ and $$\forall _i0\leq x_i\leq 1,$$ and $d\sigma$ is the element of area on this surface.

I have the feeling that a relatively simple expression can be found. Thanks.

a06e
  • 6,665
  • 1
    This is integral is equal to zero. Maybe, you meant related surface integral? – SBF Aug 09 '11 at 17:26
  • @Gortaur: Yes, that is correct. I'm fixing it now. – a06e Aug 09 '11 at 17:28
  • 1
    there may be more elegant methods like use of Stokes theorem, but one of the methods is to use an induction since if you will calculate it using sections, the sections again will be simplices. – SBF Aug 09 '11 at 17:30
  • I'm not sure how I can invoke Stokes theorem, since $S$ is not a closed surface. The other method you mention, can you elaborate? Thanks. – a06e Aug 09 '11 at 17:37
  • The lower bound $0$ is enough; together with the normalization condition, it implies the upper bound $1$. – joriki Aug 09 '11 at 17:37
  • Looks like your feeling was right :-) – joriki Aug 09 '11 at 21:10

2 Answers2

5

It is easy to remap the simplex into unit hypercube by changing variables: $x_1 = u_1$, $x_2 = (1-u_1)u_2$, $x_{n-1} = (1-u_1)(1-u_2)\cdots (1-u_{n-2}) u_{n-1}$, $x_{n} = (1-u_1)(1-u_2)\cdots (1-u_{n-2})(1- u_{n-1})$. The Jacobian will be $(1-u_1)^{n-1} (1-u_2)^{n-2} \cdots (1-u_{n-2})$. The integral thus becomes

$$ \int_0^1 du_1 \cdots \int_0^1 du_{n-1} (1-u_1)^{n-1} (1-u_2)^{n-2} \cdots (1-u_{n-2}) \; \mathrm{e}^{ \lambda_1 u_1 + \lambda_2 (1-u_1)u_2 + \cdots + \lambda_{n} (1-u_1)\cdots (1-u_{n-1}) } $$

Now carry out integration with respect to $u_{n-1}$. The part of exponential that depends on $u_{n-1}$ is $ (1-u_1)\cdots (1-u_{n-2})(\lambda_{n-1} u_{n-1} + \lambda_{n} (1-u_{n-1}))$, hence integration over $u_{n-1}$ gives

$$ \int_0^1 du_1 \cdots \int_0^1 du_{n-2} (1-u_1)^{n-2} (1-u_2)^{n-3} \cdots (1-u_{n-3}) \; \mathrm{e}^{ \lambda_1 u_1 + \lambda_2 (1-u_1)u_2 + \cdots + \lambda_{n-2} (1-u_1)\cdots (1-u_{n-3}) } f $$

where $f = \frac{1}{\lambda_{n} -\lambda_{n-1}} ( e^{(1-u_1)(1-u_2)\cdots (1-u_{n-2}) \lambda_{n}} - e^{(1-u_1)(1-u_2)\cdots (1-u_{n-2}) \lambda_{n-1}}) $.

Iterating over gives the answer:

$$ \sum_{k=1}^{n} \frac{e^{\lambda_k}}{\prod_{k\not= m} (\lambda_k - \lambda_m)} $$

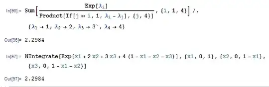
I ran numerical simulations, which confirm the answer above:

Screen-shot of simulation performed

Sasha
  • 70,631
  • it's a nice solution. I'm just curious why you and Didier used $n+1$ variables instead of $n$. Do you think I should further edit OP's question to match your notation? ) – SBF Aug 09 '11 at 20:16
  • @Gortaur Thanks. I used $n+1$ for no particular reason. I guess we both wanted to integrate over $n$ variables. Changing the OP's question seems like a good idea. – Sasha Aug 09 '11 at 20:21
  • 1
    @Sasha: I don't think changing the question to say $n+1$ is a good idea. $n+1$ is a natural aspect of the derivation, not of the question. One would usually want to know what happens with $n$ variables, not with $n+1$ variables. – joriki Aug 09 '11 at 20:37
  • 1
    @joriki I have updated my post to use $n$ variable to conform to OP's question. – Sasha Aug 09 '11 at 20:47
  • Thanks. It's interesting that this is such a nice result if all the $\lambda_i$ are different, turns rather ugly if you take the limit where two or more of them are equal, but becomes very simple again when all of them are equal. – joriki Aug 09 '11 at 21:09
  • @joriki Similar story with PDF of hypoexponential distribution. It also admits a matrix formulation which is devoid of this asymmetry. Now looking at this, I guess one could have solved the OP's question by interpreting the integrand as pdf of hypoexponential distribution at $x=1$. – Sasha Aug 09 '11 at 21:15
  • 1
    I think that the $d\sigma$ in the original question was meant to be the "surface area" on the simplex, but your Jacobian and integral were done integrating against $dx_1\wedge dx_2\wedge\cdots\wedge dx_{n-1}$. Luckily, on the simplex, $d\sigma=\sqrt{n}dx_1\wedge dx_2\wedge\cdots\wedge dx_{n-1}$, if I'm not mistaken. – robjohn Aug 09 '11 at 23:22
  • I think @robjohn comment is correct. I think either my question or this answer needs to be edited to correct this. – a06e Aug 11 '11 at 01:25
  • 1
    @becko But if $d\sigma$ is meant to be measure induced from ambient $\mathbb{R}^n$ on a simplex $x_1+x_2+\ldots+x_n=1$ then the measure I used it correct: $\int_{\mathbb{R}^n} f(x_1,\ldots,x_n) \delta(x_1+x_2+\ldots+x_n -1) dV \int_0^1 dx_1 \int_0^{1-x_1} dx_2 \int_0^{1-x_1-x_2} dx_3 \ldots \int_0^{1-x_1-x_2-\ldots-x_{n-2}} dx_{n-1} f $ – Sasha Aug 11 '11 at 01:31
  • See my comment in the answer below. @robjohn – a06e Aug 11 '11 at 17:03
1

At least for parameters $\lambda_i$ that are all different, the value of the integral is

$\qquad\quad\qquad\quad\qquad\quad\qquad\quad\qquad\quad\qquad\quad\displaystyle \sum_i\mathrm{e}^{\lambda_i}\prod_{j\ne i}\frac1{\lambda_i-\lambda_j}. $

To prove this formula, one can denote by $J_{n+1}(\lambda_1,\ldots,\lambda_{n+1})$ the integral of interest when there are $n+1$ parameters, hence $$ J_{n+1}(\lambda_1,\ldots,\lambda_{n+1})=\int_{[0,1]^n}\mathrm{e}^{\lambda_1x_1+\cdots+\lambda_nx_n+\lambda_{n+1}(1-x_1-\cdots-x_n)}\mathbf{1}_{0\le x_1+\cdots+x_n\le1}\text{d}x_1\cdots\text{d}x_n. $$ Equivalently, $$ J_{n+1}(\lambda_1,\ldots,\lambda_{n+1})=\mathrm{e}^{\lambda_{n+1}}K_n(\mu_1,\ldots,\mu_n), $$ with $\mu_i=\lambda_i-\lambda_{n+1}$ for every $i\le n$ and $$ K_n(\mu_1,\ldots,\mu_n)=\int_{[0,1]^n}\mathrm{e}^{\mu_1x_1+\cdots+\mu_nx_n}\mathbf{1}_{0\le x_1+\cdots+x_n\le1}\text{d}x_1\cdots\text{d}x_n. $$ Now, perform the integral along the last coordinate $x_{n}$. The domain of integration is $0\le x_{n}\le 1-x_{1}-\cdots-x_{n-1}$ and $$ \int_0^{1-s}\mathrm{e}^{\mu_{n}x_{n}}\mathrm{d}x_{n}=\frac1{\mu_{n}}(\mathrm{e}^{\mu_{n}(1-s)}-1), $$ hence, using the shorthand $\mu'_i=\mu_i-\mu_n=\lambda_i-\lambda_{n}$ for every $i\le n-1$, $$ K_{n}(\mu_1,\ldots,\mu_{n})=\frac1{\mu_n}(\mathrm{e}^{\mu_n}K_{n-1}(\mu'_1,\ldots,\mu'_{n-1})-K_{n-1}(\mu_1,\ldots,\mu_{n-1})). $$ This translates back in terms of $J_{n+1}$ and $J_n$ as $$ J_{n+1}(\lambda_1,\ldots,\lambda_{n+1})=\frac1{\mu_n}(J_{n}(\lambda_1,\ldots,\lambda_{n})-J_{n}(\lambda_1,\ldots,\lambda_{n-1},\lambda_{n+1})), $$ Starting from $$ J_2(\lambda_1,\lambda_2)=\mathrm{e}^{\lambda_1}\frac1{\lambda_1-\lambda_2}+\mathrm{e}^{\lambda_2}\frac1{\lambda_2-\lambda_1}, $$ this yield the desired formula through a recursion over $n$.

Did
  • 279,727
  • Can you explain how you got this result? – a06e Aug 09 '11 at 17:57
  • See above. Please whistle if something is not clear. – Did Aug 09 '11 at 18:41
  • 1
    @Didier: If you integrate over $n+1$ variables, there's a delta function in the integrand; you can't just integrate the integrand over $\mathrm dx_1\dotsc\mathrm dx_{n+1}$ instead of $\mathrm d\sigma$. Your domain of integration ensures that the sum is $\le1$, not $=1$. – joriki Aug 09 '11 at 19:50
  • @joriki: Thanks, you spotted the problem all right. Revised version. – Did Aug 10 '11 at 00:30
  • See @robjohn comment in the answer above. – a06e Aug 11 '11 at 01:25
  • @becko, I fully agree that your question needs to be reformulated, simply to define what is $d\sigma$. – Did Aug 11 '11 at 08:08
  • The integrand in my question is supposed to be a probability density function. Now, it could either be the probability per unit volume in $\mathbb{R}^n$ or the probability per unit surface area in $S$. I find it more convenient to define it as the probability per unit surface area, for otherwise I would have to carry around a $\delta$ factor in all the calculations. I'm sorry I failed to define this explicitly initially at the question. So, $d\sigma$ means the element of surface area of the surface $S$. In this case, I think that @robjohn comment needs to be heeded. – a06e Aug 11 '11 at 17:02
  • If you want, I'll edit the question to make this point clearer. – a06e Aug 11 '11 at 17:02