13

Let's define $$ e^x := \lim_{n\to\infty}\left(1+\frac{x} {n}\right)^n, \forall x\in\Bbb R $$

and

$$ \frac{d} {dx} f(x) := \lim_{\Delta x\to0} \frac{f(x+\Delta x) - f(x)} {\Delta x} $$

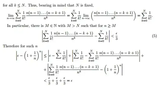
Prove that

$$ \frac{d} {dx} e^x = e^x $$

using the definition of $e^x$ and derivation above, without using L'Hôpital's rule or the "logarithm trick" and/or the "inverse function derivative trick".

$$ \left( \frac{d} {dx} f^{-1}(x)= \frac{1} {\left(\frac{d}{d(f^{-1}(x))}f(x)\right)(f^{-1}(x))}\right) $$

Or equivalently prove that the following two definiton of $e$ are identical $$ 1)\space\space\space\space e =\lim_{n\to\infty}(1+\frac{1} {n})^n $$

$$ 2) \space\space\space\space e\in\Bbb R,\space\space(\frac{d} {dx} e^x)(x=0) = 1 $$

What I've got is $$ \frac{d}{dx}e^x=e^x \lim_{\Delta x\to0}\frac{e^{\Delta x} - 1} {\Delta x} = e^x \lim_{\Delta x\to0}\lim_{n\to\infty}\frac{\left(1+\frac{\Delta x}{n}\right)^{n}-1}{\Delta x} = e^x \lim_{\Delta x\to0}\frac{e^{0+\Delta x}-e^0}{\Delta x} $$

If i assume that $n\in\Bbb N$ I could use binomial theorem but I didn't got much out of it. Wolframalpha just uses L'Hospital rule to solve it, but I am looking for an elementary solution. What I'm interested in is basically is the equivalence of the two definition of $e$ mentioned above. And I'd like to get a direct proof rather than an indirect(I mean which involves logarithms or the derivatives of invers functions).

I look forward getting your aswers.

05storm26
  • 315
  • 2
    To o5storm26: You seem to using the fact that $e^{x + y} = e^{x}\cdot e^{y}$ as if it is obvious from the definition $e^{x} = \lim_{n \to \infty}\left(1 + \dfrac{x}{n}\right)^{n}$. It is not obvious as I have shown in my answer. – Paramanand Singh Oct 27 '13 at 11:25

5 Answers5

21

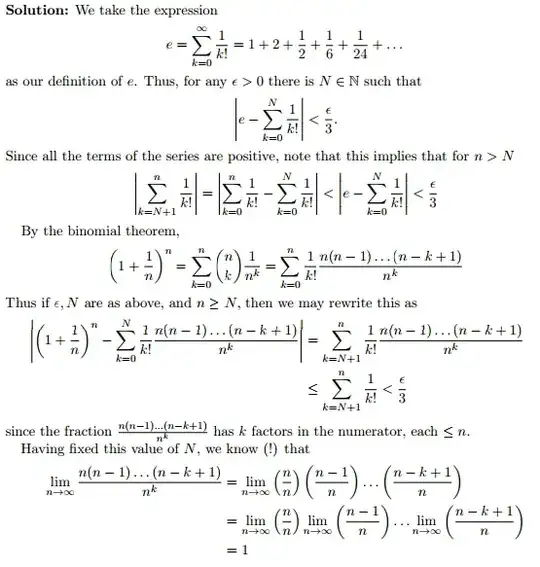
One needs to establish the following two properties:

1) $\displaystyle \lim_{x \to 0}\frac{e^{x} - 1}{x} = 1$

2) $\displaystyle e^{x + y} = e^{x}\cdot e^{y}$

and it turns out that both of these can be derived (albeit with some minor difficulty) using the definition $$e^{x} = \lim_{n \to \infty}\left(1 + \frac{x}{n}\right)^{n}$$

We start with 1) first and that too with limitation $x \to 0+$. We have

$\displaystyle \begin{aligned}\lim_{x \to 0+}\frac{e^{x} - 1}{x} &= \lim_{x \to 0+}\dfrac{{\displaystyle \lim_{n \to \infty}\left(1 + \dfrac{x}{n}\right)^{n} - 1}}{x}\\ &= \lim_{x \to 0+}\lim_{n \to \infty}\frac{1}{x}\left\{\left(1 + \dfrac{x}{n}\right)^{n} - 1\right\}\\ &= \lim_{x \to 0+}\lim_{n \to \infty}\frac{1}{x}\left\{\left(1 + x + \dfrac{(1 - 1/n)}{2!}x^{2} + \dfrac{(1 - 1/n)(1 - 2/n)}{3!}x^{3} + \cdots\right) - 1\right\}\\ &= \lim_{x \to 0+}\lim_{n \to \infty}\left(1 + \dfrac{(1 - 1/n)}{2!}x + \dfrac{(1 - 1/n)(1 - 2/n)}{3!}x^{2} + \cdots\right)\\ &= \lim_{x \to 0+}\lim_{n \to \infty}(1 + \phi(x, n))\end{aligned}$

where $\phi(x, n)$ is a finite sum defined by $$\phi(x, n) = \frac{(1 - 1/n)}{2!}x + \cdots + \frac{(1 - 1/n)(1 - 2/n)\cdots(1 - (n - 1)/n)}{n!}x^{n - 1}$$ For fixed positive $x$ the function $\phi(x, n)$ is a increasing sequence bounded by the convergent series $$F(x) = \frac{x}{2!} + \frac{x^{2}}{3!} + \cdots$$ Hence the limit $\lim_{n \to \infty}\phi(x, n)$ exists and let say it is equal to $\phi(x)$. Then $0 \leq \phi(x) \leq F(x)$. Now let $x < 2$ and then we can see that $$F(x) \leq \frac{x}{2} + \frac{x^{2}}{2^{2}} + \frac{x^{3}}{2^{3}} + \cdots = \frac{x}{2 - x}$$ Hence $\lim_{x \to 0+}F(x) = 0$ and therefore $\lim_{x \to 0+}\phi(x) = 0$.

We now have

$\displaystyle \begin{aligned}\lim_{x \to 0+}\frac{e^{x} - 1}{x} &= \lim_{x \to 0+}\lim_{n \to \infty}1 + \phi(x, n)\\ &= \lim_{x \to 0+}1 + \phi(x)\\ &= 1 + 0 = 1\end{aligned}$

From this it follows that $\lim_{x \to 0+}e^{x} = 1$. To handle the case for $x \to 0-$ we need to use another trick. We show that for $x > 0$ we have $$\lim_{n \to \infty}\left(1 - \frac{x}{n}\right)^{-n} = e^{x}$$ Clearly we have

$\displaystyle \begin{aligned}\left(1 - \frac{x}{n}\right)^{-n} - \left(1 + \frac{x}{n}\right)^{n} &= \left(1 + \frac{x}{n}\right)^{n}\left\{\left(1 - \frac{x^{2}}{n^{2}}\right)^{-n} - 1\right\}\\ &< e^{x}\left\{\left(1 - \frac{x^{2}}{n}\right)^{-1} - 1\right\} = \frac{x^{2}e^{x}}{n - x^{2}}\end{aligned}$

and this last expression tends to $0$ as $n \to \infty$ and hence $$\lim_{n \to \infty}\left(1 - \frac{x}{n}\right)^{-n} = \lim_{n \to \infty}\left(1 + \frac{x}{n}\right)^{n} = e^{x}$$ Taking reciprocals we see that $$\lim_{n \to \infty}\left(1 - \frac{x}{n}\right)^{n} = \frac{1}{e^{x}}$$ or in other words $e^{-x} = 1/e^{x}$ for $x > 0$ and by duality it holds for $x < 0$ also. Thus we can see that if $x \to 0-$ then we can write $x = -y$ so that $y \to 0+$ and then

$\displaystyle \begin{aligned}\lim_{x \to 0-}\frac{e^{x} - 1}{x} &= \lim_{y \to 0+}\frac{e^{-y} - 1}{-y}\\ &= \lim_{y \to 0+}\frac{e^{y} - 1}{y}\frac{1}{e^{y}} = 1\cdot 1 = 1\end{aligned}$

Thus we have established two properties of $e^{x}$ namely $$\lim_{x \to 0}\frac{e^{x} - 1}{x} = 1,\,\, e^{-x} = \frac{1}{e^{x}}$$ The second property allows us to consider only positive arguments of the exponential function. Thus to establish the fundamental property $e^{x + y} = e^{x} \cdot e^{y}$ we need to consider $x, y > 0$ (for $x = y = 0$ it is obviously true). We can see that

$\displaystyle \begin{aligned} f(x, y, n) &= \left(1 + \frac{x}{n}\right)^{n}\left(1 + \frac{y}{n}\right)^{n} - \left(1 + \frac{x + y}{n}\right)^{n}\\ &= \left(1 + \frac{x + y}{n} + \frac{xy}{n^{2}}\right)^{n} - \left(1 + \frac{x + y}{n}\right)^{n}\\ &= \left(1 + \frac{x + y}{n}\right)^{n}\left\{\left(1 + \frac{xy}{n(n + x + y)}\right)^{n} - 1\right\}\\ &< e^{x + y}\left\{\left(1 + \frac{xy}{n^{2}}\right)^{n} - 1\right\}\\ &= e^{x + y}\left\{\frac{xy}{n} + \frac{(1 - 1/n)}{2!}\left(\frac{xy}{n}\right)^{2} + \cdots\right\}\\ &< e^{x + y}\left\{\frac{xy}{n} + \left(\frac{xy}{n}\right)^{2} + \cdots\right\}\\ &= e^{x + y}\frac{xy}{n - xy}\end{aligned}$

This shows that for fixed $x, y > 0$ the function $f(x, y, n) \to 0$ as $n \to \infty$. And therefore we have established $e^{x}e^{y} - e^{x + y} = 0$. Now we can easily show that

$\displaystyle \begin{aligned}\frac{d}{dx}e^{x} &= \lim_{h \to 0}\frac{e^{x + h} - e^{x}}{h}\\ &= \lim_{h \to 0}e^{x}\cdot\frac{e^{h} - 1}{h} = e^{x} \cdot 1 = e^{x}\end{aligned}$

  • 1
    Note that this is a bit long answer. But this arises because of using a complicated definition of $e^{x}$ as a limit. I have tried to keep the derivation at a very elementary level using simple inequalities and theorems on limits. – Paramanand Singh Oct 27 '13 at 10:42
  • 4
    A big "+1" for this thoughtful, rigorous, and well-written development of an elementary function that is taken for granted. This post should be protected. -Mark – Mark Viola Sep 28 '16 at 19:24
  • 1
    Thanks @Dr.MV. Even a single word of appreciation from people like you counts a lot more than the upvotes. I am glad that you liked the answer. – Paramanand Singh Sep 28 '16 at 20:03
  • 1
    You're most welcome and you are deserving of this approbation. -Mark – Mark Viola Sep 28 '16 at 20:06
11

Define the function sequence $f_n(x):=\left(1+\frac{x}{n}\right)^n$. Then all $f_n$ are differentiable, and you can easily show by using the definition of the derivative that $$ f'_n(x)=f_n(x)\left(1+\frac{x}{n}\right)^{-1}, $$ hence $f_n'(x)\to e^x$ as $n\to\infty$. Moreover, one can show that $f_n$ converges locally uniformly to $e^x$ and hence $f_n'$ converges locally uniformly to $e^x$ as $n\to\infty$ (show that $f_n\leq f_{n+1}$, i.e. $f_n$ is monotonically increasing, and use Dini's theorem). Finally we conclude, that $(e^x)'=\lim_{n\to\infty}f_n'(x)=\lim_{n\to\infty}f_n(x)=e^x$.

sranthrop
  • 8,497
9

First, as in Paramanand Singh's answer, let's prove that $e^{x+y}=e^xe^y$. To do that, note that, for big $n$, from Bernoulli's inequality, $$\begin{align}\frac{\left(1+\frac{x}{n}\right)^n\left(1+\frac{y}{n}\right)^n}{\left(1+\frac{x+y}{n}\right)^n}&=\left(\frac{1+\frac{x+y}{n}+\frac{xy}{n^2}}{1+\frac{x+y}{n}}\right)^n\\ &=\left(1+\frac{xy}{n^2+nx+ny}\right)^n\\ &\geq1+\frac{nxy}{n^2+nx+ny},\end{align}$$ which goes to $1$ as $n\to \infty$, and also $$\begin{align}\frac{\left(1+\frac{x+y}{n}\right)^n}{\left(1+\frac{x}{n}\right)^n\left(1+\frac{y}{n}\right)^n}&=\left(\frac{1+\frac{x+y}{n}}{1+\frac{x+y}{n}+\frac{xy}{n^2}}\right)^n\\ &=\left(1-\frac{xy}{n^2+nx+ny+xy}\right)^n\\ &\geq1-\frac{nxy}{n^2+nx+ny+xy},\end{align}$$ which also goes to $1$ as $n\to \infty$. So, the ratio coverges to $1$, therefore $e^{x+y}=e^xe^y$.

Now, if $\displaystyle e^x=\lim_{n\to\infty}\left(1+\frac{x}{n}\right)^n$, then, using Bernoulli's inequality, you have that $\displaystyle\frac{x}{n}>-1$ for big $n$, so, for those $n$, $$\left(1+\frac{x}{n}\right)^n\geq 1+n\frac{x}{n}=1+x\Rightarrow e^x\geq 1+x.$$ This holds for all $x\in\mathbb R$, so it also holds for $-x$, therefore, for $x<1$, $$e^{-x}\geq 1-x\Rightarrow e^x\leq\frac{1}{1-x}\Rightarrow e^x-1\leq\frac{x}{x-1},$$ where we used that $e^xe^{-x}=e^0=1$. So, if $x\in(0,1)$, from the second inequality you have that $\displaystyle\frac{e^x-1}{x}\leq\frac{1}{1-x}$, and the first inequality gives that $\displaystyle\frac{e^x-1}{x}\geq 1$. So, $\displaystyle\lim_{x\to 0^+}\frac{e^x-1}{x}=1$. You treat the case $x<0$ similarly, and you have that $e^x$ is differentiable at $0$, with derivative equal to $1$.

Using that, you have that $$\lim_{h\to 0}\frac{e^{x+h}-e^x}{h}=e^x\lim_{h\to 0}\frac{e^h-1}{h}=e^x,$$ so the derivative of $e^x$ is $e^x$.

Thomas Andrews
  • 177,126
detnvvp
  • 8,237
  • 1
    I liked your proof for the limit of $(e^{x} - 1)/x$, it is perhaps smarter and simpler to understand than my approach. +1 for you! – Paramanand Singh Oct 28 '13 at 19:04
-1

enter image description here

enter image description here

If I am understanding the question correctly, I believe this should do it.

Mr.Fry
  • 5,003
  • 3
  • 19
  • 28
-1

Use power series of $\exp(x) = \sum \frac{x^n}{n!} $

$$ \therefore ( \exp(x) )' = \lim_{ \Delta x \to 0 } \frac{\exp(x + \Delta x) - \exp(x) }{\Delta x } = \exp(x) [\lim \frac{ \exp(\Delta x) - 1 }{\Delta x }]$$

Notice

$$ \exp( \Delta x) - 1 = 1 + \Delta x + \frac{\Delta x^2}{2!} + .... - 1 = \Delta x [1 + \text{Factors of $\Delta$ x}]$$

$$ \therefore \exp(x) [\lim \frac{ \exp(\Delta x) - 1 }{\Delta x }] = \exp(x) [ \lim \frac{\Delta x [1 + \text{Factors of $\Delta$ x}]}{\Delta x} ] = \exp(x).$$

ILoveMath
  • 10,694