How do I prove $(-1)\cdot(-1)=1$ (or in other words that $-1$ is the multiplicative inverse of itself), based only on the field axioms?
Thanks
How do I prove $(-1)\cdot(-1)=1$ (or in other words that $-1$ is the multiplicative inverse of itself), based only on the field axioms?
Thanks
This is to get the result of the multiplication $ \cdot $ of $- 1 $ by $-1$. The number $-1$ is the symmetric of $1$ with respect to addition $ + $. The axioms that relate addition $+$ to multiplication $\cdot$ are distributivity to the left and right distributivity. Any way to prove this result has to pass through the axiom distributive property which connects the multiplication operation with the addition operation. These equality is a relatively easy exercise.
\begin{align} (-1)\cdot (-1)= & (-1)\cdot(-1)+\color{red}{0}\\ = & (-1)\cdot(-1)+\color{red}{[(-1)+1]}\\ = & (-1)(-1)+\color{red}{\Big(1\cdot(-1)+1\cdot 1\Big)}\\ = & \color{blue}{\Big((-1)(-1)+1\cdot(-1)\Big)}+\color{red}{1\cdot 1} \\ = & \color{blue}{\Big([(-1)+1]\cdot(-1)\Big)}+\color{red}{1} \\ = & \color{blue}{\Big(0\cdot(-1)\Big)}+\color{red}{1} \\ = &\color{blue}{0}+ \color{red}{1}\\ =&1 \end{align}
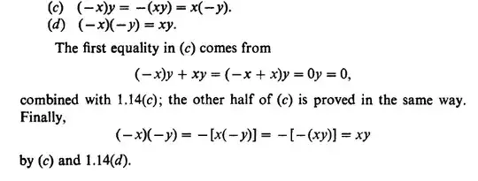
Principles of Mathematical Analysis - Walter Rudin, 3rd Ed, p7:

$(-1) \cdot (-1)=(-1) \cdot (-1)+(-1) \cdot (1)-(-1) \cdot 1=(-1) \cdot (-1+1)-(-1)=1.$
$-1\cdot\text{sth.}=\text{additive inverse of sth.}$,thus $-1\cdot(-1)=1$, as $1$ is the additive inverse of $-1$.