363

What are some surprising equations/identities that you have seen, which you would not have expected?

This could be complex numbers, trigonometric identities, combinatorial results, algebraic results, etc.

I'd request to avoid 'standard' / well-known results like $ e^{i \pi} + 1 = 0$.

Please write a single identity (or group of identities) in each answer.

I found this list of Funny identities, in which there is some overlap.

MathFail
  • 21,128
Calvin Lin
  • 68,864
  • 71
    I really can't believe no one has posted this yet: http://xkcd.com/687/ – User1000547 Sep 26 '13 at 14:48
  • 29
    This is not in line with what you are looking for, but as a child I discovered that 10million pi is the number of seconds in a year to 1/2% accuracy. This is useful for quick back of envelope calculations, where seconds are involved. – JTP - Apologise to Monica Sep 26 '13 at 19:48
  • 20
    Pi seconds is a nanocentury! – Oscar Cunningham Oct 01 '13 at 21:59
  • @CalvinLin Is that until you get the most rare badge? I got the 81st favorite too! – zerosofthezeta Oct 02 '13 at 04:32
  • 2
    The three trigonometric identities in the following exercises of my Wikibook: https://en.wikibooks.org/wiki/On_2D_Inverse_Problems/The_case_of_the_unit_disc – DVD Oct 12 '15 at 02:51
  • 2
    This shouldn't be closed. There are still so many nice equations.In spherical trigonometry $$\frac{sin(A)}{sin(a)}=\frac{sin(B)}{sin(b)}=\frac{sin(B)}{sin(b)}$$ where the capital letters are the angles and lowercase are the opposite sides. – skan Nov 26 '16 at 17:12
  • I see your xkcd and raise you a ViHart: https://www.youtube.com/watch?v=GFLkou8NvJo (Wow) – Thomas Nov 24 '20 at 09:25

118 Answers118

259

This one by Ramanujan gives me the goosebumps:

$$ \frac{2\sqrt{2}}{9801} \sum_{k=0}^\infty \frac{ (4k)! (1103+26390k) }{ (k!)^4 396^{4k} } = \frac1{\pi}. $$


P.S. Just to make this more intriguing, define the fundamental unit $U_{29} = \frac{5+\sqrt{29}}{2}$ and fundamental solutions to Pell equations,

$$\big(U_{29}\big)^3=70+13\sqrt{29},\quad \text{thus}\;\;\color{blue}{70}^2-29\cdot\color{blue}{13}^2=-1$$

$$\big(U_{29}\big)^6=9801+1820\sqrt{29},\quad \text{thus}\;\;\color{blue}{9801}^2-29\cdot1820^2=1$$

$$2^6\left(\big(U_{29}\big)^6+\big(U_{29}\big)^{-6}\right)^2 =\color{blue}{396^4}$$

then we can see those integers all over the formula as,

$$\frac{2 \sqrt 2}{\color{blue}{9801}} \sum_{k=0}^\infty \frac{(4k)!}{k!^4} \frac{29\cdot\color{blue}{70\cdot13}\,k+1103}{\color{blue}{(396^4)}^k} = \frac{1}{\pi} $$

Nice, eh?

Luis Mendo
  • 1,834
  • 27
    Ramanujan used to say a goddess revealed those identities to him in dreams http://en.wikipedia.org/wiki/Srinivasa_Ramanujan#Personality_and_spiritual_life – Luis Mendo Sep 26 '13 at 20:32
  • 8
    What made Ramanujuan think like this? How did he arrive at this equation? – Prabhanjan Naib Sep 27 '13 at 12:02
  • 44
    One needs to realize that $26390 =5 \times 7\times 13\times 58$ and $9801=99 \times 99$ and $396=4 \times99$. Then, it's obvious.

    ;-)

    – leonbloy Sep 27 '13 at 19:09
  • 5
    Almost any formula given by Ramanujan can be posted here especially in the way Ramanujan himself wrote them. Each single formula of his is totally unexpected. After almost a century later there are mysteries regarding his formulas and his methods to find such formulas. – Paramanand Singh Sep 28 '13 at 10:01
  • 37
    How is this formula not immediately obvious? – Kenshin Oct 02 '13 at 10:47
  • 9
    Can anyone tell me how one obtains the equation? I can't seem to figure out why is this so. – Idonknow Dec 10 '13 at 20:34
  • 2
    @leonbloy Can you tell me how this is obvious? – A Googler Feb 21 '15 at 16:56
  • 2
    @Mew Can you tell me how this is obvious? – A Googler Feb 21 '15 at 16:57
  • 3
    Read G.H.Hardy's memoir about Ramanujan.Even he and Littlewood ,who both collaborated with him, were often baffled by his method of discovery. When they were looking for a formula in combinatorics and musing about the form it might have, R, said "No.It has to have a 24th root in it somewhere." The formula is a real hodge-podge of terms, and R was right. – DanielWainfleet Sep 07 '15 at 18:25
  • 10
    @AGoogler They are joking. – Akiva Weinberger Mar 24 '19 at 08:53
241

${1\over 2} < \left\lfloor \mathrm{mod}\left(\left\lfloor {y \over 17} \right\rfloor 2^{-17 \lfloor x \rfloor - \mathrm{mod}(\lfloor y\rfloor, 17)},2\right)\right\rfloor$

The above is the most interesting inequality in mathematics. If you plot it so that areas satisfying the inequality are shaded, this is what you get:

enter image description here

This is known as Tupper's self referential formula.

Mario Krenn
  • 924
  • 1
  • 10
  • 43
Kenshin
  • 2,152
  • 56
    @GottfriedHelms To be fair, a large portion of the miracle is hidden in the labelling of the $y$-axis. – Erick Wong Sep 28 '13 at 14:51
  • 37
    "The formula itself is a general purpose method of decoding a bitmap stored in the constant $k$, so it could actually be used to draw any other image. When applied to the unbounded positive range $0 \le y$, the formula tiles a vertical swath of the plane with a pattern that contains all possible 17-pixel-tall bitmaps. One horizontal slice of that infinite bitmap depicts the drawing formula itself, but this is not remarkable since other slices depict all other possible formulae that might fit in a 17-pixel-tall bitmap." (Wikipedia) – Vladimir Reshetnikov Sep 28 '13 at 20:18
  • 3
    c.f. “The Library of Babel” by Jorge Luis Borges http://www.arts.ucsb.edu/faculty/reese/classes/artistsbooks/The%20Library%20of%20Babel.pdf – David Holden Jan 03 '15 at 10:23
  • Is there a derivation of how such function is constructed which graph itself ? – WizardMath Mar 15 '21 at 01:16
203

$\mathrm{GCD}(F_{n},F_{m}) = F_{\mathrm{GCD}(n,m)}$ where $F_n$ is the $n$th Fibonacci number.

filmor
  • 541
162

Taken from the first question I posed upon joining M.SE:

Define a function $f(\alpha, \beta)$, $\alpha \in (-1,1)$, $\beta \in (-1,1)$ as

$$ f(\alpha, \beta) = \int_0^{\infty} dx \: \frac{x^{\alpha}}{1+2 x \cos{(\pi \beta)} + x^2}$$

You can use, for example, the Residue Theorem to show that

$$ f(\alpha, \beta) = \frac{\pi \sin{\pi \alpha \beta}}{ \sin{\pi \alpha} \sin{\pi \beta}} $$

Clearly, from this latter expression, $f(\alpha, \beta) = f(\beta, \alpha)$. But from where does such a symmetric result come? The integral itself does not lend itself to predicting any such symmetry so far as I (and many others so far) can see.

Ron Gordon
  • 138,521
  • 3
    I think you can transform the integral using complex numbers ($\mathrm{exp(iy)}$) into something more explicitly symmetrical... – Buck Thorn Feb 21 '19 at 10:17
142

$$\sum_{n=1}^\infty \frac{1}{n^2}=\frac{\pi^2}{6}$$

was surprising to me when I saw it for the first time.

Twnk
  • 2,436
  • 72
    This is one of those times when you just have to accept Euler was a god among men. They had been trying to solve the sum of inverse squares for a very long time, and Euler just solved it matter-of-factly along with several other relations using roots of trigonometric taylor series and some simple substitutions. – DanielV Sep 27 '13 at 05:35
  • 2
    How did he find these series summations? I know they are trivial once you have Fourier decomposition, but to get them without having Fourier series... – finitud Nov 19 '13 at 14:46
  • 5
    @finitud There is a nice article on this in the book Journey through Genius: The Great Theorems of Mathematics, Chapter 9: The Extraordinary Sums of Leonhard Euler. If you search the chapter title you can find several references that essentially tells the same story. It's a great read (and not lengthy)! – Yong Hao Ng Feb 24 '14 at 10:41
138

By far my favorite identity: $\displaystyle\int_{-\infty}^{\infty} \frac{\sin \left( x\right )}{x} \mathrm{d}x = \int_{-\infty}^{\infty} \frac{\sin ^ 2\left( x\right )}{x^2} \mathrm{d}x$

The fun part about this one (for me) is that it looks absolutely false at first glance. They both evaluate to $\pi$.

rnorris
  • 111
  • 39
    +1 Oh gods, I can just imagine setting this as a question, and having students be frustrated with proving it via substitution. Let $x = y^2$ would be the start of most of their answers. – Calvin Lin Sep 27 '13 at 13:45
  • Would this hold for any convex function f: $\int_{-\inf}^\inf\frac{f(sin(x))}{f(x}}dx=\pi$? – Michael Sep 27 '13 at 20:56
  • Calvin: the simplest way is to prove it using integration by parts and a trig identity. It would be a good challenge problem to throw on a calculus II exam/homework. – rnorris Sep 27 '13 at 22:40
  • 11
    +1: Of course I wondered what the next powers would return and they returned all fractions of $\pi$ (starting with $p=1$) : $$1,1,\frac 34, \frac 23,\frac {115}{192},\frac {11}{10},\cdots$$ OEIS. – Raymond Manzoni Sep 29 '13 at 09:08
  • $\displaystyle{{\rm d}\sin^{2}\left(x\right)/x \over {\rm d}x} = -,{\sin^{2}\left(x\right) \over x^{2}} + {\sin\left(2x\right) \over x}}$. – Felix Marin Sep 29 '13 at 09:46
  • 4
    @RaymondManzoni Your last fraction is a typo: it should be $ 11 \over 20 $. – Mark Hurd Sep 30 '13 at 19:10
  • 1
    You are right @MarkHurd but I can't correct that. Btw the denominators are here. – Raymond Manzoni Sep 30 '13 at 20:19
  • how can we prove that equation? – skan Nov 26 '16 at 16:56
  • 2
    @skan: use integration by parts, starting from the right-hand side. Let $u=\sin^2(x)$, and $dv = x^{-2}dx$. Look at trig identities that involve the product $\sin(x)\cos(x)$. If you want to evaluate the integral, you will probably need complex analysis. – rnorris Nov 27 '16 at 10:43
  • 1
    @rnorris it can be done using entirely real methods, if I remember correctly. This site has a highly upvoted post on this question... I recommend looking it up if you haven't! – Brevan Ellefsen Jan 23 '17 at 15:37
137

$$10^2+11^2+12^2=13^2+14^2$$ I found that one stunning.

P.S. In general, for $n>0$, the sum of $n+1$ consecutive squares starting with $x_1 = 2n^2+n$ is equal to $n$ consecutive squares starting with $y_1 = x_1+(n+1)$. Hence,

$$3^2+4^2 = 5^2$$

$$10^2+11^2+12^2=13^2+14^2$$

$$21^2+22^2+23^2+24^2 = 25^2+26^2+27^2$$

and so on.

imranfat
  • 10,029
129

This is slightly contrived, but consider a situation where you have two balls, of mass $M$ and $m$, where $M=16\times100^N\times m$ for some integer $N$. The balls are placed against a wall as shown:

We push the heavy ball towards the lighter one and the wall. The balls are assumed to collide elastically with the wall and with each other. The smaller ball bounces off the larger ball, hits the wall and bounces back. At this point there are two possible solutions: the balls collide with each other infinitely many times until the larger ball reaches the wall (assume they have no size), or the collisions from the smaller ball eventually cause the larger ball to turn around and start heading in the other direction - away from the wall.

In fact, it is the second scenario which occurs: the larger ball eventually heads away from the wall. Denote by $p(N)$ the number of collisions between the two balls before the larger one changes direction, and gaze in astonishment at the values of $p(N)$ for various $N$:

\begin{align} p(0)&=3\\ p(1)&=31\\ p(2)&=314\\ p(3)&=3141\\ p(4)&=31415\\ p(5)&=314159\\ \end{align}

and so on. $p(N)$ is the first $N+1$ digits of $\pi$!

This can be made to work in other bases in the obvious way.

See 'Playing Pool with $\pi$' by Gregory Galperin.

mkoconnor
  • 196
John Gowers
  • 24,959
  • 2
    When the mass ratio gets large enough, the larger ball is going to have such a large radius that it will simply roll completely over the small ball.... unless you also allow infinite density, which I guess is a small gnat to swallow, given the camel of completely elastic collisions. – Ross Presser Sep 26 '13 at 18:22
  • At some point I instruct the reader to assume that the balls have no size. If you take that sort of thing into account, then yes - you don't get the result you want. – John Gowers Sep 26 '13 at 18:31
  • 3
    It must also be assumed that the balls do not roll, but rather slide without friction. (Of course, the point-mass idealization takes care of that too.) – r.e.s. Sep 27 '13 at 13:53
  • 55
    As a rule of thumb, you will normally get less beautiful mathematical results if you start getting pedantic about what might be called real-world considerations. – John Gowers Sep 27 '13 at 14:06
  • 3
    Can you do a sample calculation of p(4) please? – Neil Apr 06 '15 at 10:59
  • @Neil It's hard to do a calculation of p(4) without solving the general case. Simple physics gives us a recurrence relation in two variables for the velocities of the two balls after each collision. If we compute the terms of this recurrence relation by hand, then we see that the velocity of the larger ball first becomes negative after $31415$ iterations.

    Better is to solve the recurrence relation (which is not hard to do) and then show this result without having to compute $31415$ terms. But then one might as well provide the proof of the full result. Let me know what you would like.

    – John Gowers Dec 06 '17 at 12:12
  • 3
    Here's a great video series about this fact: https://www.youtube.com/watch?v=HEfHFsfGXjs&list=PLZHQObOWTQDMalCO_AXOC5GWsuY8bOC_Y – sdcvvc Sep 14 '20 at 21:57
  • At first I thought that $\pi !$ meant the factorial of pi :) –  Oct 19 '20 at 09:29
110

$3^3 + 4^3 + 5^3 = 6^3$.

Also,

$1/89 = 0.01 + 0.001 + 0.0002 + 0.00003 + 0.000005 + 0.0000008 + 0.00000013 + \cdots$.


Let $S = \sum \frac{F_n} {k^n}$. Then $S + kS = 1 + \sum \frac{ F_{n} + F_{n-1} } {k^n} = 1 + \sum \frac {F_{n+1}}{k^n} = 1 + k^2S -1 - k$

In particular, for $k=10$, we get $ S = \frac{10}{89}$. Divide by 10 to get the second equation.

Alex Provost
  • 20,991
107

$$\frac{\Gamma\left(\frac15\right)\Gamma\left(\frac4{15}\right)}{\Gamma\left(\frac13\right)\Gamma\left(\frac2{15}\right)}=\frac{\sqrt2\,\,\sqrt[20]3}{\sqrt[6]5\,\sqrt[4]{5-\frac{7}{\sqrt{5}}+\sqrt{6-\frac{6}{\sqrt{5}}}}}=\frac{\phi \,\, \sqrt[20]3 \,\, \sqrt{\!\sqrt 3 \cdot \sqrt[4] 5-\phi^{3/2}}}{\sqrt 2 \,\, \sqrt[24] 5}$$

102

Where $\varphi = \frac{1 + \sqrt{5}}{2}$ a golden ratio, $$\int_0^\infty\frac{1}{(1+x^\varphi)^\varphi}\mathrm dx = 1.$$

This follows immediately from the substitution $t=[x^{\varphi}(1+x^{\varphi})^{-1}]^{\varphi}$.

Proof (below) by filmor

$$\begin{align} \int_0^\infty\frac{1}{(1+x^\varphi)^\varphi}\mathrm dx &= \varphi^{-1}\int_0^\infty\frac{y^{\varphi^{-1} - 1}}{(1+y)^\varphi}\mathrm dy \\ &= \varphi^{-1}\int_0^\infty\frac{y^{\varphi - 2}}{(1+y)^\varphi}\mathrm dy \\ &= \varphi^{-1} B\bigl(\varphi - 1, 1\bigr) \\ &= \varphi^{-1}\frac{\Gamma(\varphi-1)\ \Gamma(1)}{\Gamma(\varphi)} \\ &= \varphi^{-1} \frac{1}{\varphi - 1} = 1 \end{align}$$

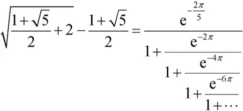
One more thing with golden ratio: by Ramanujan, $$r=\dfrac{e^{-2\pi/5}}{1 + \dfrac{e^{-2\pi}}{ 1 + \dfrac{e^{-4\pi}}{1 + \cdots}}} = \sqrt{ \sqrt{5}\varphi} - \varphi$$

and even more bizarrely (found based on the work of Vidunas), the hypergeometric function $N=\,_2F_1\big(\tfrac{19}{60},\tfrac{-1}{60},\tfrac{4}{5},1\big)$ is a deg-80 algebraic number given by,

$$N=\frac{1}{(r^{20}-228r^{15}+494r^{10}+228r^5+1)^{1/20}}$$

dust05
  • 2,314
89

If $A+B+C=180^\circ$ then $$\tan(A)+\tan(B)+\tan(C)=\tan(A)\tan(B)\tan(C)$$

87

Here is a mathematical scherzo.

$$\left(\sum_{k=1}^n k\right)^2 = \sum_{k=1}^n k^3.$$

ncmathsadist
  • 49,383
85

$\displaystyle\sum_{k=1}^{24} k^2=70^2$ is novel.

  • 19
    such a nontrivial pair (24, 70) is unique. – dust05 Sep 26 '13 at 03:52
  • 24
    It is also critical in the theory of the Leech lattice. See page 130, Theorem 4.5, in Lattices and Codes by Wolfgang Ebeling, second edition. Or see SPLAG, by Conway and Sloane, page 524 in Chapter 26, leading up to Theorem 3; chapter title Lorentzian Forms for the Leech Lattice. – Will Jagy Sep 26 '13 at 04:47
  • 4
    The cannonball problem. – Jon Claus Sep 26 '13 at 14:55
  • Related to sphere packing constant in 24-dimensional Euclidean space ie. the generalisation of the Kepler conjecture to dimension 24. – Tom Sep 26 '19 at 19:13
85

$$ {a \over b} = {c \over d} \quad\Longrightarrow\quad {a + b\over a - b} = {c + d \over c - d} $$

Felix Marin
  • 89,464
  • 7
    I have to admit I was way too surprised when I learnt this simple identity. – Lazar Ljubenović Oct 13 '13 at 11:35
  • @LazarLjubenović I learned it in high school. Thanks. – Felix Marin Oct 13 '13 at 19:18
  • 8
    This is true iff $a\neq b$. More generally, $\frac{a}{b}=\frac{c}{d}\implies \frac{a+kb}{a-kb}=\frac{c+kd}{c-kd}$, which is true iff $a\neq kb$. – user26486 Apr 03 '15 at 12:24
  • @user31415 You're right. Thanks. – Felix Marin Apr 06 '15 at 06:23
  • 18
    $\frac{a+b}{a-b}=\frac{a/b+1}{a/b-1}=\frac{c/d+1}{c/d-1}=\frac{c+d}{c-d}$ – Akiva Weinberger Aug 17 '15 at 20:12
  • 4
    Even more generally, $\frac{a}{b}=\frac{c}{d}$ implies $\frac{f(a,b)}{g(a,b)}=\frac{f(c,d)}{g(c,d)}$ where $f$ and $g$ are any two homogeneous polynomials of the same degree. – Carmeister Aug 09 '17 at 06:24
  • @Carmeister I wasn't aware of that. Thanks. – Felix Marin Aug 09 '17 at 23:31
  • @Carmeister. There is no condition for that?? – Rounak Sarkar Oct 18 '21 at 04:03
  • 2
    @RounakSarkar the only condition is that $g(a,b) \ne 0$. In fact the condition that they're polynomials can be lifted, they just need to be homogenous. Proof is simple, suppose $f,g$ have degree of homogeneity $n$. Since $\frac{a}{b}=\frac{c}{d}$ we can write $a=kc$ and $b=kd$ and make $\frac{f(a,b)}{g(a,b)} = \frac{f(kc,kd)}{g(kc,kd)} = \frac{k^nf(c,d)}{k^ng(c,d)}= \frac{f(c,d)}{g(c,d)}$. – Merosity Jan 21 '22 at 11:27
83

$$\int_0^\infty\frac1{1+x^2}\cdot\frac1{1+x^\pi}dx=\int_0^\infty\frac1{1+x^2}\cdot\frac1{1+x^e}dx$$

72

When I began my serious encounter with number theory and looked at properties of prominent combinatorical matrices I found this identity. This impressed me so much (even a bit philosophically) that I wanted to printed it on a t-shirt (but the white-on-black printing was then too expensive). The german phrase means "the exponential of the counting is the binomial"

Here is, how it looked asymptotically:

picture

  • 16
    Why on earth would you want that on a shirt? – Phaptitude Oct 22 '13 at 15:58
  • 12
    @Phap - well, why? Perhaps it was something, which I had myself discovered, and it had a much philosophical resembling: the human ability of counting, ... the step to the (otherwise) ubiquituous binomial numbers and the again ubiquituous exponential function - that was something really magic to me. – Gottfried Helms Oct 22 '13 at 17:28
  • 6
    @GottfriedHelms: So it won't be expensive, why not black print on a white shirt? :) – Tito Piezas III Jan 08 '14 at 05:50
  • 7
    Make a kickstarter and I will donate to help you fulfill your dream of having that shirt :) But don't be cheap with it also add in costs for matching pants, maybe a suit and a tie also :) – Neil Apr 06 '15 at 05:33
  • @Neil: very kind -thank you! If I happen to go for it... I'll let you know! :-) – Gottfried Helms Apr 06 '15 at 10:08
  • 3
    This is an interesting identity. It has a natural interpretation after you identify vectors with coefficients of polynomials/power series. Then the transpose of the left corresponds to differentiation D, and the transpose of the right corresponds to the "shift" map T : f(x) -> f(x+1), and the identity becomes e^D = T; i.e. Taylor's theorem – user399601 Feb 07 '17 at 08:03
68

$$\sum_{k=1}^{\infty}k^{-k}=\int_0^1x^{-x}\mbox{ d}x=\mathrm{Sophomore's}\mbox{ } \mathrm{dream}$$

57

This bit of notational juggling may cause one do double take...

$$\huge \sqrt[\sqrt{2}]{2} = \sqrt{2}^\sqrt{2}$$

By definition, the LHS is the number $x$ such that $x^\sqrt{2} = 2$. It is simple to check that the RHS also has this property.

Mike F
  • 22,196
49

$$\ \ \ \ \ 2592=2^59^2\ \ \ \ \ $$

John Gowers
  • 24,959
bof
  • 6,156
48

Do logic answers count? I like the Drinker Paradox, which isn't really a paradox but actually a theorem of logic:

$\exists x.\ [D(x) \rightarrow \forall y.\ D(y)]$

For every bar there is a person for whom, if that person is drinking, then everyone is drinking.

DanielV
  • 23,556
  • 7
    I've seen this in the context of the Riemann Hypothesis: there exists a real number $c>0$ such that if $\zeta$ has no roots $\rho$ off of the critical line with $\vert \mathrm{Im} \rho \vert < c$, then the Riemann Hypothesis is true. – awwalker Sep 27 '13 at 05:22
  • well, "In every bar there is something for ..." (we should at least say "someone"). Saying "there is a person" is too strong, since the bar might be empty at the moment (FOL supposes that domain is non-empty, but predicates such as "x is as person" are allowed to have an empty extension) – Luka Mikec Sep 27 '13 at 08:04
  • 3
    @LukaMikec In every populated bar…? You can't very well say something is drinking. That just sounds creepy. – kojiro Sep 27 '13 at 15:13
  • It's ok if it's creepy, being creepy shouldn't be too strange to mathematicians :) But we could say something like "In every bar there is something or someone for which it holds that if that something or someone is a person who drinks, then..." (or something shorter, but the point is that the "x" in the formula above might not be a person, it might be a number or whatever) – Luka Mikec Sep 27 '13 at 19:14
  • If you take the statement to mean "there exists a person in the bar" then it does need to be a populated bar. If you take the statement to mean "there exists a person somewhere in the universe for which..." then it doesn't need to be a populated bar. Perhaps I should have said "for every bar", I'll change that now. – DanielV Sep 28 '13 at 07:48
  • (1/2) This one irritates me a bit. It works if you look at it with predicate logic as $D(x)\rightarrow\forall y . D(y)\iff\neg D(x)\vee\forall y.D(y)$. And this is clearly true since either there's someone in the pub who's not drinking or everybody is drinking. In natural language, it seems to be saying "there's one person left who needs to be drinking so that everybody is". But what it's really saying is that any number of people could not be drinking! – Jam Sep 20 '18 at 19:29
  • (2/2) So this is really a failure in our descriptions of "if then" in natural language. I think this is a bit ridiculous since we can still make the statement hold if we change it to "in a group of teetotallers, who will never drink again, there is one person who if they are drinking, everybody is drinking". – Jam Sep 20 '18 at 19:29
  • The "big surprise" here is that the truth value of $D(x)$ attains a maximum value. This holds for any function on a nonempty domain whose range is a finite set of real numbers. – bof Mar 07 '19 at 11:04
  • @bof I'm pretty sure that any inhabited function whose range is a finite set of reals has a maximum value? – DanielV Mar 07 '19 at 17:46
  • @DanielV Yes, that's why I said. – bof Mar 07 '19 at 21:17
  • Where is this "For every bar" in the theorem? –  Jul 09 '19 at 23:18
  • @Isa It is implicit in most first order logic. In the same way that for $1+1=2$ people don't ask "where is = defined?" It comes from the fact that in most FOL the theorem $\forall x.Px \implies \exists x.Px$ is provable. Otherwise the statement in the problem isn't actually true in an empty universe. – DanielV Jul 10 '19 at 01:36
45

Easy geometric series but I found this one charming when I found out:

1/7 = 0,142857...
    = 0,14 +
      0,0028 +
      0,000056 +
      0,00000112 +
      0,0000000224 + ... (double the value and shift it by two spaces)
  • 5
    Quite generalizable, 7 * 14 = 100 - 2, therefore you start with 14, divide by 100 and multiply by 2. You could also use 7 * 143 = 1000 - -1 for an even simpler series. – aaaaaaaaaaaa Oct 02 '13 at 11:35
  • 3
    It would read like this: $$ \frac{1}{7}=7\sum_{k=0}^{\infty}\frac{2k}{10^{2k}} $$ Or, as I prefer it $$ \frac{1}{49}=\sum_{k=0}^{\infty}\frac{2k}{10^{2k}} $$ – TheVal Jun 24 '18 at 12:29
41

$$\int_{0}^{1}\sin{(\pi x)}x^x(1-x)^{1-x}dx=\dfrac{\pi e}{4!}$$

GA316
  • 4,324
  • 27
  • 50
math110
  • 93,304
  • 2
    I'm not too surprised that this would come out to something like that (though I would never guess that in particular). It is a fairly complicated integral, it seems like it was specifically crafted to evaluate to a certain value – fhyve Sep 26 '13 at 02:58
  • Could you add a link to a method to evaluate this? – Potato Sep 26 '13 at 04:29
  • 14
    It would be more attractive if you wrote $4!$ instead of $24$ – zerosofthezeta Sep 26 '13 at 05:19
  • 14
    This doesn't strike me as remarkable at all. The $\pi$ probably comes from the $\sin$, the $e$ probably comes from the $x^x$. – Jack M Sep 26 '13 at 11:27
  • What do you have if you integrate $\sin\pi(1-x) \times \textrm{the integrand}$? – dust05 Sep 26 '13 at 17:20
  • @Potato I posted a solution to this one on http://math.stackexchange.com/questions/958624/prove-that-int-01-sin-pi-xxx1-x1-x-dx-frac-pi-e24. – Sungjin Kim Oct 05 '14 at 18:51
40

$ \tan 10^\circ = \tan 20^\circ \times \tan 30^\circ \times \tan 40^\circ $.
$\tan 80^\circ = \tan 70^\circ \times \tan 60^\circ \times \tan 50^\circ $.

Calvin Lin
  • 68,864
39

$$ \int_0^1 \frac{\ln(1+t^{4+\sqrt{15}})}{1+t}dt= -\frac{\pi^2}{12}(\sqrt{15}-2)+\ln 2\cdot \ln(\sqrt{3}+\sqrt{5})+\ln\frac{1+\sqrt{5}}{2}\cdot \ln(2+\sqrt{3}) $$

For references, see http://ega-math.narod.ru/Chowla/index.htm (there is a scan of a paper of Herglotz where it is proved).

Boris Bukh
  • 372
  • 4
  • 12
  • 7
    I don't get it: how is this striking? I must be missing something... – Jesse Madnick Sep 30 '13 at 06:30
  • 17
    How would one even approach such an integral? How does one evaluate integrals with quadratic irrationalities in the exponent? (Note that there is no formula for the same expression with arbitrary $p$ in place of $4+\sqrt{15}$). – Boris Bukh Sep 30 '13 at 13:18
  • 4
    This is an amazing integral! Are there other real non-rational algebraic exponents such that the integral can be expressed in an elementary closed form? – Piotr Shatalin Oct 03 '13 at 18:08
37

The square root of 2 is also the only real number other than 1 whose infinite tetrate is equal to its square...

$$\sqrt{2}^{\sqrt{2}^{\sqrt{2}^{.^{.^.}}}}=2.$$

Hakim
  • 10,213
Xavier
  • 1
  • 15
    Hardly remarkable. It's just $2=\sqrt{2}^2$. – user85798 Nov 19 '13 at 02:47
  • 5
    Proof is pretty trivial: $m = {{x^x}^x}^{\dots}$. Then $x^m = m$ and $x = \sqrt[m]{m}$. So you could also say that $\sqrt[3]{3}$ is the only real number other than $1$ whose infinite tetrate is equal to its cube. – MT_ Feb 26 '14 at 04:33
  • 1
    @Soke Be careful! Your "proof" also works when $m=4$. Any correct proof must address converge. – Boris Bukh Feb 08 '16 at 16:55
  • @BorisBukh Convergence is trivial. $z = \sqrt{2}^\sqrt{2}$ is less than $2$, so inductively $(\sqrt{2})^z$ is less than $2$ since $\sqrt{2}^2 = 2$ and $z < 2$, repeat.... – MT_ Feb 08 '16 at 22:55
  • 2
    @Soke I was pointing out that your original "trivial" proof was flawed as (if taken literally) it implied that 2=4. The new proof is almost complete --- you show that the sequence is bounded. It remains to show that the sequence is increasing (which is not too hard). – Boris Bukh Feb 09 '16 at 01:08
37

I find this identity due to Euler particularly striking (and not obvious at all): $$\prod_{n=1}^\infty (1-x^n) = \sum_{k=-\infty}^\infty (-1)^k\,x^{p(k)}$$

where the $p(k) = \dfrac{k(3k-1)}{2}$ are the generalized pentagonal numbers. This is what these numbers look like us for $1 \leq k \leq 5$, First pentagonal numbers

[image created by Aldoaldoz]

Siméon
  • 10,664
  • 1
  • 21
  • 54
  • 3
    Euler formula for partition function

    $p(k)=\sum_{d=1}^{\infty}(-1)^{d+1}\left(p\left(k-\frac{d(3d-1)}{2}\right)+ p\left(k-\frac{d(3d+1)}{2}\right)\right)$

    – Adi Dani Sep 28 '13 at 13:00
  • 5
    I think the RHS is prettier if you write it as $1-x^1-x^2+x^{2+3}+x^{3+4}-x^{3+4+5}-x^{4+5+6}+x^{4+5+6+7}+\cdots$ – bof Sep 30 '13 at 05:25
  • @AdiDani And likewise Euler's similar recurrence for the sum-of-divisors function $\sigma(n)$. – bof Oct 01 '13 at 00:42
35

Tetration :

consider the tower of taking infinite powers : $x^{x^{x^{x^{x^{x^{x^{.{^{.^{.}}}}}}}}}}$ .

At first its seems big mystery and undefined one for lots of real numbers.

Surprising fact is its indeed converges in an closed interval which is bounded by the fancy real numbers $e^{-e}$, $e^\frac{1}{e}$

So $x^{x^{x^{x^{x^{x^{x^{.{^{.^{.}}}}}}}}}}$ converges for $ x \in [e^{-e}, e^\frac{1}{e} ] $

GA316
  • 4,324
  • 27
  • 50
34

If $a,b,c,d$ are in arithmetical progression, then $$\frac{d^2-a^2}{c^2-b^2}=3.$$

Kieren MacMillan
  • 7,889
  • 2
  • 28
  • 70
33

$3^3 + 4^4 + 3^3 + 5^5 = 3435$

$1^1=1$ is the only other such number.

31

$$ \begin{align}\frac{\pi}{4} = 4 \arctan \frac{1}{5} - \arctan \frac{1}{239} \\\,\\\,\\ \frac{\pi}{4} = 5 \arctan \frac{1}{7} + 2 \arctan \frac{3}{79}\end{align}$$

Both can be shown easily using polar form, complex multiplication.

Calvin Lin
  • 68,864
  • More explanation here: http://en.wikipedia.org/wiki/Approximations_of_%CF%80#Efficient_methods – pts Sep 26 '13 at 10:58
29

Some zeta-identies have been much surprising to me.

Let's denote the value $\zeta(s)-1$ as $\zeta_1(s)$ then $$ \small \begin{array} {} 1 \zeta_1(2) &+&1 \zeta_1(3)&+&1 \zeta_1(4)&+&1 \zeta_1(5)&+& ... &=&1\\ 1 \zeta_1(2) &+&2 \zeta_1(3)&+&3 \zeta_1(4)&+&4 \zeta_1(5)&+& ... &=&\zeta(2)\\ & &1 \zeta_1(3)&+&3 \zeta_1(4)&+&6 \zeta_1(5)&+& ... &=&\zeta(3)\\ & & & &1 \zeta_1(4)&+&4 \zeta_1(5)&+& ... &=&\zeta(4)\\ & & & & & &1 \zeta_1(5)&+& ... &=&\zeta(5)\\ ... & & & & & & & &... &= & ... \end{array} $$ There are very similar stunning alternating-series relations:

$$ \small \begin{array} {} 1 \zeta_1(2) &-&1 \zeta_1(3)&+&1 \zeta_1(4)&-&1 \zeta_1(5)&+& ... &=&1/2\\ & &2 \zeta_1(3)&-&3 \zeta_1(4)&+&4 \zeta_1(5)&-& ... &=&1/4\\ & & & &3 \zeta_1(4)&-&6 \zeta_1(5)&+& ... &=&1/8\\ & & & & & &4 \zeta_1(5)&-& ... &=&1/16\\ ... & & & & & & & &... &= & ... \end{array} $$

  • What are the patterns of the coefficients? Clearly all $1$ for the first line and natural numbers for the second, but with so few terms I can't decide on the next three lines – Brevan Ellefsen Mar 04 '17 at 21:23
  • @Brevan - Binomial-coefficients. I've found them when playing with the Faulhaber-polynomials using matrices ("P" = "Pascal-matrix" = Binomial-coefficients, "Gp"-matrix (own creature)) and the inverses of that matrices – Gottfried Helms Mar 05 '17 at 01:52
  • so is it a finite summation? Each line of Pascal's triangle is finite... – Brevan Ellefsen Mar 05 '17 at 01:53
  • @Brevan: well, the rows are finite, but not the columns... – Gottfried Helms Mar 05 '17 at 01:54
  • ooooh, the diagonals. OK, that makes sense. I wasn't thinking. Thanks. – Brevan Ellefsen Mar 05 '17 at 01:56
  • More about ths, perhaps interesting, how I cam across this - just playing around with the pascal-matrix (plus a bit systematically - my first approaches to number theory...) http://go.helms-net.de/math/binomial/zeta_bernoulli.pdf and more of this http://go.helms-net.de/math/binomial/ – Gottfried Helms Mar 05 '17 at 01:57
28

$$\int_0^1\frac{x^4(1-x)^4}{1+x^2}\mathrm{d}x=\frac{22}{7}-\pi$$

It's interesting how something so bizarre on the left hand side yields the tiniest of errors in one of the most famous approximations of $\pi$.

Jam
  • 10,325
Arpan
  • 2,633
22

1. $$ e^{\pi i} + 1 = 0$$

This simple equation links five fundamental mathematical constants:

  • The number 0, the additive identity.
  • The number 1, the multiplicative identity.
  • The irrational number π (pi), pivotal in trigonometry and geometry.
  • The transcendental constant e, the base of the natural logarithm, widely used in scientific analysis.
  • The number $i$ (iota), the imaginary unit of complex numbers, and the square root of $-1.$

Moreover, the three basic arithmetic operations occur exactly once each: addition, multiplication and exponentiation; and these are magically wound into one single relation$(=).$

The beauty lies in the fact that an irrational number, raised to the power of an imaginary number multiplied with another irrational number, exactly becomes zero when added to $1.$

As quoted by Benjamin Peirce, a noted American 19th-century philosopher,mathematician, and professor at Harvard University, "it is absolutely paradoxical; we cannot understand it, and we don't know what it means, but we have proved it, and therefore we know it must be the truth."

This identity is a special case of Euler's Formula: $$e^{ix}=\cos(x)+ i\sin(x)$$ It's almost mystical that these values are even related to one another.


2. The solution to this equation: $$1+\frac{1}{\phi}=\phi$$ Which is The golden ratio:$$\phi=\frac{1+\sqrt5}{2}=1.6180339887 . . .$$Which can turn into recurrence equation: $$\phi^{n+1}=\phi^n+\phi^{n-1}$$ Beautiful how it is also related to Fibonacci numbers: $$1 , 1 , 2 , 3 , 5 , 8 , 13 , 21 , ...$$ Where if you divide any consecutive Fibonacci numbers, in the infinite horizon will converge to, again, the golden ratio: $$\lim_{n\to\infty}\frac{F(n+1)}{F(n)}=\phi$$


3. Tupper's Self Referential Formula

enter image description here

When plotted with k=960939379918958884971672962127852754715004339660129306651505519271702802395266424689642842174350718121267153782770623355993237280874144307891325963941337723487857735749823926629715517173716995165232890538221612403238855866184013235585136048828693337902491454229288667081096184496091705183454067827731551705405381627380967602565625016981482083418783163849115590225610003652351370343874461848378737238198224849863465033159410054974700593138339226497249461751545728366702369745461014655997933798537483143786841806593422227898388722980000748404719

$0 \le x \le 106$ and $k \le y \le k + 17$, the resulting graph looks like this:

enter image description here


4. Ramanujan's golden ratio equation:enter image description here


5. Gaussian integral:

$$\int_{-\infty}^\infty \! e^{-x^2}dx = \sqrt{\pi}$$


6. Cauchy's Integral Formula: $${f^{\left( n \right)}}\left( a \right) = \frac{{n!}}{{2\pi i}}\oint_\gamma {\frac{{f\left( z \right)}}{{{{\left( {z - a} \right)}^{n + 1}}}}dz}$$ The derivative of a analytic function given as a closed path integral in the complex plane.


7. Ramanujan's Infinite series for calculation of $\pi$. It converges faster

$$ \frac{1}{\pi} = \frac{2\sqrt{2}}{9801} \sum^\infty_{k=0} \frac{(4k)!(1103+26390k)}{(k!)^4 396^{4k}}$$


8. Batman Curve

The batman curve is a piecewise curve in the shape of the logo of the Batman superhero originally posted on reddit.com on Jul. 28, 2011. It can written as two functions, one for the upper part and the other for the lower part, as: enter image description here


9. The Schrodinger Equation:

$$H\Psi(x,t) = i\hbar\frac{\partial}{\partial t}\Psi(x,t)$$

aqualubix
  • 1,794
Manoj
  • 1,757
22

This one is one of my favorite:

$$ \log(1+2+3) = \log(1)+\log(2)+\log(3) $$

Abramo
  • 6,917
21

Another surprising equation $$\bbox[7pt,border:3px #FF69B4 solid]{\color{red}{\large 213 \times 122 = 25986}}$$ Now read above expression in reverse order $$\bbox[7pt,border:3px #FF69B4 solid]{\color{red}{\large 68952 = 221 \times 312}}$$

Venus
  • 10,966
  • 6
    Here is another one $$\bbox[7pt,border:3px #FF69B4 solid]{\color{red}{\large 221 \times 113 = 24973}}$$ Now read above expression in reverse order $$\bbox[7pt,border:3px #FF69B4 solid]{\color{red}{\large 37942 = 311 \times 122}}$$ – Venus Jan 07 '15 at 19:01
21

Another one, which occured to me when I began to learn about double-sums in the context of divergent summation. I really had to chew on this, that the sum of the vertical sums can be different from the sum of the horizontal sums... And just different by the exact value of 1. So this had some appeal as another example of Where is the missing 1 in the equation? (From an older essay of mine):

enter image description here

  • 6
    It's nice to see a pair of natural computations with divergent sums that do not miraculously coincide. Reading Euler's work, as one can in Lagarias's article in the Bulletin right now, you get the impression that there is a kind of mystic unity to the spectrum of cleverly done sums so that when done "right" they reveal some consistency in our aesthetic choices in extending math. Fortunately not. – Ryan Reich Sep 26 '13 at 21:55
  • Is there a simple proof explaining why the difference is always one? Or a name of the result that one can google? – Aaron Sep 27 '13 at 16:50
  • 1
    I don't have it at hand, but it can be reconstructed when one does Ramanujan-summation or uses the Euler/MacLaurin-formula and replaces the occuring Bernoulli-numbers by zetas. In the Ram.-summation we have one additional integral for such sums, and in the Euler/MacLaurin occurs the Bernoulli-number $B_0$ which can be understood as renormalized ratio of $\zeta(1)/\Gamma(0)$ equalling 1 (or -1). In the above formula would the latter idea occur with an additional row above the main-matrix with the series of $1+1/2+1/3+...=\zeta(1)$ and denominator of $(-1)!$ , whose ratio is normalized $-1$ – Gottfried Helms Sep 27 '13 at 17:29
21

Ramanujan stated this radical in his lost notebook:

$$\sqrt{5+\sqrt{5+\sqrt{5-\sqrt{5+\sqrt{5+\sqrt{5+\sqrt{5-\dots}}}}}}} = \frac{2+\sqrt 5 +\sqrt{15-6\sqrt 5}}{2}$$

I still don't have any idea on this one.

Shobhit
  • 6,902
  • Seen this?

    http://mathworld.wolfram.com/NestedRadical.html

    – Bennett Gardiner Oct 02 '13 at 23:24
  • 1
    @BennettGardiner there is nothing given on the above radical?? – Shobhit Oct 04 '13 at 10:21
  • 1
    True, I missed the negatives, what is the pattern for the minus signs? – Bennett Gardiner Oct 04 '13 at 12:07
  • 3
    @BennettGardiner ++-+++-++++-+++++-.... – Shobhit Oct 04 '13 at 12:12
  • Wow. Has anyone proven this? Or is this a Ramanujan special? – Bennett Gardiner Oct 05 '13 at 03:10
  • 3
    @BennettGardiner The pattern is actually ++-+ infinitely repeating, and the proof is actually fairly simple. We have $x = \sqrt{5 + \sqrt{5 + \sqrt{5 - \sqrt{5 + x}}}}$, solving this equation gives the above value by solving $(((x^2 - 5)^2 - 5)^2 - 5)^2 - 5 - x = 0$. How Ramanujan did this before computer algebra systems I don't immediately know, but I assume there's a shortcut to solving the polynomial. – orlp Dec 27 '16 at 21:06
  • Looks like it can be expressed more clearly in terms of $\varphi,$ the golden ratio. – Allawonder Dec 28 '19 at 09:47
20

Personally I find this very interesting: $$ \lim_{n\to\infty} e^{-n}\sum_{k=0}^n \frac{n^k}{k!}=\frac{1}{2}. $$

Arash
  • 11,131
18

I've found this to be rather surprising:

  • $\displaystyle\sum\limits_{n=1}^{\infty}\frac{1}{2^n}=1$

  • $\displaystyle\sum\limits_{n=1}^{\infty}\frac{1}{2^n\ln(2^n)}=1$

As it essentially yields the identity:

$$\sum\limits_{n=1}^{\infty}\frac{1}{2^n}=\sum\limits_{n=1}^{\infty}\frac{1}{2^n\ln(2^n)}$$

It is surprising because obviously:

$$\forall{n\in\mathbb{N}}:\frac{1}{2^n}\neq\frac{1}{2^n\ln(2^n)}$$

In fact, the above inequity holds for every value of $n$, except for $n=\log_2e$.

Still, when summing up each of these infinite sequences, the result is $1$ in both cases.

barak manos
  • 43,109
  • 1
    Not really surprising, when you consider that they are infinite series. The surprise may be in matching the terms in corresponding pairs, but we know not to be deceived by such correspondences when dealing with infinite sequences. – Allawonder Dec 28 '19 at 09:55
17

Pfister's 16-Square Identity:

$$(x_1^2+x_2^2+x_3^2+\dots+x_{16}^2)(y_1^2+y_2^2+y_3^2+\dots+y_{16}^2) = z_1^2+z_2^2+z_3^2+\dots+z_{16}^2$$

where the $z_i$ are rational functions of the $x_i, y_i$. One would have thought that $n$ square identities are only for $n = 1,2,4,8$, but non-bilinear ones in fact are for all $n = 2^m$.

17

A rather simple one $$2^4 = 4^2$$

You can use this one to "proof" (as a prank) that $x^y = y^x$

Jam
  • 10,325
Dohn Joe
  • 103
17

It is still strange for me $$ i^i = e^{\pi(2k-\frac{1}{2})}. $$ And so, one could say $i^i\in\mathbb R$.


Note that $i^i$ is a sequence of real numbers and actually $i^i\not\in\mathbb R$, but still $i^i\subset\mathbb R$.

16

$$\sum_{n=1}^\infty(n\,\operatorname{arccot}n-1)=\frac12+\frac{17\pi}{24}-\ln\sqrt{e^{2\pi}-1}+\frac1{4\pi}\operatorname{Li}_2\left(e^{-2\pi}\right),$$ where $\operatorname{Li}_2$ is the dilogarithm.

16

$$(1+2+3+\cdots+n)!=1!3!5!\cdots(2n-1)!$$for $n=0,1,2,3,4$.

bof
  • 6,156
15

If $x^n + y^n + z^n=0$ and $xyz \ne 0$, then $$\frac{(x^n-y^n)^2}{(xy)^n} + \frac{(y^n-z^n)^2}{(yz)^n} + \frac{(z^n-x^n)^2}{(zx)^n} = -9.$$

Kieren MacMillan
  • 7,889
  • 2
  • 28
  • 70
  • Very cool. Is there a short way to prove this? – DanielV Jun 25 '14 at 03:02
  • 1
    @DanielV: I found this in my sketchbook from February 2008, but unfortunately there was no derivation included. However, it's fairly easy to derive in any number of ways. Here's one: \begin{align} 0^3 &= (x^n+y^n+z^n)^3 \ &= x^{3n}+y^{3n}+z^{3n} + 3(x^n+y^n)(y^n+z^n)(z^n+x^n) \ &= x^{3n}+y^{3n}+z^{3n} - 3(xyz)^n \ 3(xyz)^n &= x^n(-x^n)^2 + y^n(-y^n)^2 + z^n(-z^n)^2 \ &= x^n(y^n+z^n)^2 + y^n(z^n+x^n)^2 + z^n(x^n+y^n)^2 \ &= x^n(y^n-z^n)^2 + y^n(z^n-x^n)^2 + z^n(x^n-y^n)^2 + 12(xyz)^n, \end{align} and since $xyz\ne0$ (by standard FLT hypothesis), the identity quickly follows. – Kieren MacMillan Jun 26 '14 at 12:22
  • 4
    A related — and similarly surprising — identity is $$\biggl(\frac{x^2}{yz}\biggr)^{!n} + \biggl(\frac{y^2}{xz}\biggr)^{!n} + \biggl(\frac{z^2}{xy}\biggr)^{!n} = 3.$$ – Kieren MacMillan Jun 26 '14 at 22:56
14

One of the most worth-mentioning identities may probably be Carl Friedrich Gauss's compution of $\cos(\frac{2\pi}{17})$:

\begin{align} \cos(\frac{2\pi}{17})&= \frac1{16}[-1+\sqrt{17} + \sqrt{34-2\sqrt{17}}+2\sqrt{17+3\sqrt{17}-\sqrt{34-2\sqrt{17}}-2\sqrt{34+2\sqrt{17}}}]\\ \end{align}

which has a significant role in regular heptadecagon construction.

Mythomorphic
  • 6,008
  • As Gauss himself noted, no one before him had ever found a regular polygon with an odd number, $n$, of sides, with $n>5$, that could be constructed with only drawing compass and unmarked straight-edge. – DanielWainfleet Nov 18 '17 at 08:33
14

Using the mystical ennead to calculate the decimal expressions for fractions of 7. Start with this figure:

numbered ennead

Then follow the connected path, giving the sequence 1 4 2 8 5 7. Then you write this sequence starting on each digit, in order, giving

. 1 4 2 8 5 7 = 1/7

. 2 8 5 7 1 4 = 2/7

. 4 2 8 5 7 1 = 3/7

. 5 7 1 4 2 8 = 4/7

. 7 1 4 2 8 5 = 5/7

. 8 5 7 1 4 2 = 6/7

  • Why is there a triangle connecting 3, 6, 9? – Luke Collins Nov 03 '20 at 11:10
  • 1
    Actually, I'm not entirely sure. IIRC, I found this in P.D. Ouspensky, In Search of the Miraculous which is a sort of proto-New Age book from the 1920s. This is supposedly "esoteric knowledge" that came from some mystical temple in central Asia. There's supposed to be some connection to the 7 notes of the diatonic musical scale and the triangle indicates somehow the half-steps between 3rd/4th and 7th/8th scale degrees. But the origin of the figure may be shrouded in mystery. – luser droog Nov 03 '20 at 23:47
13

There are many fantastic equations that I've seen, but the one that definitely sticks out as top in my mind is the Atiyah-Singer Index theorem (it can be written in many ways; this is the way that I first learned it).

$$\operatorname{Ind}(D) = (-1)^n \int_M \frac{\operatorname{ch}(E)-\operatorname{ch}(F)}{\operatorname{e}(TM)} \operatorname{Td}^{hol}(TM \otimes \mathbb C)$$

Here $M$ is a $2n$-dimensional smooth compact manifold, with $E$, $F$ vector bundles over $M$, $D:\Omega^0(E) \rightarrow \Omega^0(F)$ is an elliptic differential operator, $\operatorname{Ind}(D) = \dim \ker D - \dim \operatorname{coker} D$, $\operatorname{ch}$ denotes the Chern class, $\operatorname{e}$ is the Euler class, and $\operatorname{Td}^{hol}$ is the holomorphic Todd class. Note that in this formulation the choice of the divisor depends naturally on the choice of $D$, a fact which is obscured in the notation.

It's probably the only equation I've ever seen in math which forced me to think about two entire fields in a different way. The mere fact that something like this connecting analysis and topology at such a deep level could be true is really incredible.

user88377
  • 399
13

$$(1+i)(1+2i)(1+3i) = (1-i)(1-2i)(1-3i)$$

James
  • 9,272
  • Interesting, it's actually correct! – DanielV Nov 22 '14 at 17:53
  • 2
    Ah , I get it, this is a consequence of the $$\begin{align}\arctan(1) + \arctan(2) + \arctan(3) = \pi \text{ radians } \ = -\pi \text{ radians } = \arctan(-1) + \arctan(-2) + \arctan(-3)\end{align}$$ – DanielV Nov 22 '14 at 17:59
  • @Allawonder: I'm quite certain that we don't have that in general. Simplest counterexample being $$i \neq -i.$$ Even if we restrict ourselves to the product of more than one complex number, we have $$\displaystyle\prod_{i=1}^3 i \neq \prod_{i=1}^3 \bar{i}.$$ – Aryaman Maithani May 28 '20 at 18:11
  • $1\cdot i\neq\bar{1}\cdot\bar{i}$? – Aryaman Maithani May 28 '20 at 18:42
12

$$\cos \left(20\right) \cos \left(40\right) \cos \left(80\right) = \frac{1}{8}$$ for angles in degrees. This identity is interesting for its historical association with the teenage Richard Feynman. From Genius by James Gleick:

"He and his friends traded mathematical tidbits like baseball cards. If a boy named Morrie Jacobs told him that the cosine of 20 degrees multiplied by the cosine of 40 degrees multiplied by the cosine of 80 degrees equaled exactly one-eighth, he would remember that curiosity for the rest of his life, and he would remember that he was standing in Morrie's father's leather shop when he heard it."

awkward
  • 14,736
  • 6
    Hint: Generalisation: $\cos(60-x)\cos(60+x)\cos(x)=\cos(3x)/4$. It gets even more interesting with tangents: $\tan(60-x)\tan(60+x)\tan(x)=\tan(3x)$ – chubakueno Sep 29 '13 at 18:51
  • Also $\sin(60-x)\sin(60+x)\sin(x)=\sin(3x)/4$ (just multiple both your $\cos$ and $\tan$ identities). – user26486 Apr 03 '15 at 13:09
11

The series $$\sum_{n=1}^{\infty} \frac{n^{13}}{e^{2\pi n} - 1} = \frac{1}{24}$$ is not entirely obvious. (At this time WolframAlpha is unable to find its closed form.)

user399601
  • 1,711
  • Hmm, using $m=5,9,13$ in the exponent gives reciprocals of multiples of $24$. Stepping $m$ further the $24$ seems to occur as factor in numerator (or denominator, have it not at hand at the moment) - the limits seem to be rational numbers. Something behind this? – Gottfried Helms Jan 20 '19 at 23:50
  • The result is $\dfrac{B_{N+1}}{2N+2} = \sum_{n=1}^\infty \dfrac{n^N}{e^{2\pi n}-1}$ where $N=4k+1$ and $B_N$ is Bernoulli number. – Somos May 07 '23 at 21:35
11

This one is no less- Let $d$ be the distance between Incenter($r$) and Circumcenter ($R$) Then-
$$R^2-d^2=2Rr$$ and this one $$\frac{1}{R-d}+ \frac{1}{R+d}=\frac{1}{r}$$

Shivam Patel
  • 4,012
11

from $1$ years ago

$$\tan x=\cfrac{x}{1-\cfrac{x^2}{3-\cfrac{x^2}{5-\cfrac{x^2}{7-...}}}}$$

mnsh
  • 5,875
10

I was really amazed by discovering that the squared arcsine function has a pretty nice Taylor series at the origin: $$\arcsin^2(z)=\frac{1}{2}\sum_{n\geq 0}\frac{(2z)^{2n}}{n^2\binom{2n}{n}}$$ Even more amazed by the variety of techniques one may employ to prove such identity: combinatorial convolutions, hypergeometric transformations, (poly)logarithmic integrals, the Lagrange inversion theorem, the residue theorem, Legendre polynomials, Euler's Beta function, creative telescoping... They're all pretty interesting.

Jack D'Aurizio
  • 353,855
9

The Fibonacci sequence occurs in the decimal expansion of some "special" fractions.

$\begin{array}{ccccccccc} \frac{1}{89} &= &0.\color{blue}{0} \\ &+ & &\color{blue}{1} \\ &+ & & &\color{blue}{1} \\ &+ & & & &\color{blue}{2} \\ &+ & & & & &\color{blue}{3} \\ &+ & & & & & &\color{blue}{5} \\ &+ & & & & & & &\color{blue}{8} \\ &+ & & & & & & & &\color{blue}{13} \\ &+ & & & & & & & & &\ddots \\ \end{array}\\ \begin{array}{cc}\frac{1}{89} &=0.\color{blue}{011235}\color{red}{9}\ldots \end{array}$

Eventually the pattern is destroyed by carries in the decimal digits of the sum. If you want to go further, simply take a different fraction:

$\begin{array}{lllllllll} \frac{1}{9899} &= &0. &\underbrace{00}_{F_0} &\underbrace{01}_{F_1} &\underbrace{01}_{F_2} &\underbrace{02}_{F_3} &\underbrace{03}_{F_4} &\underbrace{05}_{F_5} &\underbrace{08}_{F_6} &\underbrace{13}_{F_7} &\underbrace{21}_{F_8} &\underbrace{34}_{F_9} &\underbrace{55}_{F_{10}} &\ldots \\ \end{array}$

Again the pattern from this point forward is obscured by carries in the sum (the next two digits are $90$ not $89$).

These patterns are a consequence of the fact that the generating function for the Fibonacci sequence (with $F_0=0, F_1=1$) is

$$f(x)=\frac{x}{1-x-x^2}$$

and taking $x=0.1,0.01,0.001,\ldots$ ensures that the terms in the power series expansion are synonymous with places in the decimal expansion. These values of $x$ are identified with the "special" denominators $89,9899,998999,\ldots$ which are really just entries in the sequence $a_n=10^{2n}-10^n-1$ for $n=1,2,3,\ldots$.

Marconius
  • 5,635
9

There are many involving infinite sums of number theoretic functions: $$\sum_{i = 1}^\infty \frac{\phi(i)}{i^k} = \frac{\zeta(k - 1)}{\zeta(k)}$$ $$\sum_{i = 1}^\infty \frac{\tau(i)}{i^k} = \zeta(k)^2$$ $$\sum_{i = 1}^\infty \frac{\sigma(i)}{i^k} = \zeta(k - 1)\zeta(k)$$ $$\sum_{i = 1}^\infty \frac{\mu(i)}{i^k} = \frac{1}{\zeta(k)}$$

And for some reason, the Riemann zeta function pops up in each. (I have no idea if these are well-known or not, I just thought they were very surprising, because I learned about these functions in a very discrete, number theory context, and the zeta function in, well, not that.)

Henry Swanson
  • 12,972
  • 1
    Each of the Dirichlet series at left has an Euler product. Since the zeta function does as well, we can verify these identities by looking at the factors associated to each prime. Since the factors coming from the zeta function are so simple, it's not too surprising that they show up other places. Or, you prove each of these identities by using Dirichlet convolution: $\phi * 1 = N $, $\tau = 1 * 1$, $\sigma = 1* N$, and $\mu *1 = \delta_1$ (the indicator function of $1$). – awwalker Sep 27 '13 at 05:38
  • I guess it depends on if you know about Euler products already (I didn't before the counselor showed me the proof). – Henry Swanson Sep 27 '13 at 06:05
  • (2) and (3) are special cases of $\sum_{i = 1}^\infty \dfrac{\sigma_a(i)}{i^k} = \zeta(k)\zeta(k-a)$. Ramanujan gave a similar identity; $\sum_{i = 1}^\infty \dfrac{\sigma_a(i)\sigma_b(i)}{i^k} = \dfrac{\zeta(k)\zeta(k-a)\zeta(k-b)\zeta(k-a-b)}{\zeta(2k-a-b)}$. – Jaycob Coleman Sep 28 '13 at 07:42
  • Now that I am older and (at least a smidgen) wiser, this is much less surprising to me than it used to be. Really, this should have emphasized to me exactly why the zeta function is important in number theory! – Henry Swanson Nov 10 '17 at 07:49
  • I was looking for this! Why this is so is explored in the book generatingfunctionology – koifish May 30 '20 at 15:12
9

$$ 2^{67}-1 = 193,707,721 × 761,838,257,287 $$ This identity was found by Cole in the early 20th century. He later said that the result had taken him "three years of Sundays" to find.


There's also the fact that:
$2^{127} -1 $ is indeed prime, as Mersenne claimed. This was the largest known prime number for 75 years, and the largest ever calculated by hand. Édouard Lucas proved its primality in 1876.

Rustyn
  • 8,407
9

This is the most surprising result that I am the discoverer of.

Consider the diophantine equation $$x(x+1)...(x+n-1) -y^n = k$$

where $x, y, n,$ and $k$ are integers, $x \ge 1$, $y \ge 1$, and $n \ge 3$.

I was led to consider considering this by trying to generalize the Erdos-Selfridge result that the product of consecutive integers could never be a power.

I phrased this as "How close and how often can the product of $n$ consecutive integers be to an $n$-th power?"

Looking at this equation, it seemed reasonable to think that, for fixed $k$ and $n$, there were only a finite number of $x$ and $y$ that satisfied it. This was not too hard to prove.

What greatly surprised me was that I was able to prove that for any fixed $k$, there were only a finite number of $n$, $x$, and $y$ that satisfied it.

The proof went like this:

I first showed that any solution must have $y \le |k|$. This was moderately straightforward, and involved considering the three cases $y < x$, $x \le y \le x+n-1$, and $y \ge x+n$.

The next step really surprised me. I showed that $n < e|k|$, where $e$ is the good old base of natural logarithms.

The proof was amazingly (to me) simple. Since $y \le |k|$ and $2(n/e)^n < n!$,

$\begin{align} 2(n/e)^n &< n!\\ &\le x(x+1)...(x+n-1)\\ &= y^n+k\\ &\le |k|^n+|k|\\ &\le |k|^n+|k|^n\\ &= 2|k|^n\\ \end{align} $

so $n < e |k|$.

I still remember staring at this in disbelief, over forty years later.

marty cohen
  • 107,799
9

I have always been fascinated by Leibniz's formula for $\pi$: $$\dfrac{\pi}{4}=\sum\limits_{n=0}^\infty \dfrac{1}{2n+1}\times(-1)^{n}=1-\dfrac{1}{3}+\dfrac{1}{5}-\dfrac{1}{7}+\dfrac{1}{9}-\dfrac{1}{11}\dots$$ This can be used to determine the exact value of $\pi$, which is what makes it interesting. $$\displaystyle \boxed{\pi=4\sum\limits_{n=0}^\infty \dfrac{1}{2n+1}\times(-1)^{n}=4-\dfrac{4}{3}+\dfrac{4}{5}-\dfrac{4}{7}+\dfrac{4}{9}-\dfrac{4}{11}\dots}$$

8

$$\sum_{k=-\infty}^\infty 2^k = 0$$ as can be shown from the regularization $\sum\limits_{k=1}^\infty 2^k=-1$. I'm wondering whether this is not actually the case for all ("sensible") two-sided regularizations, see here


Too explain this sum, note how for $|q|<1$ the geometric series $1+q+q^2+...$ converges to $\frac1{1-q}$. This works fine for the negative powers of two, i.e. $q=\frac12$ such that $\sum\limits_{k=-\infty}^02^k=\sum\limits_{k=0}^\infty\left(\frac12\right)^k=2$. Regularization now basically consists of stating "Ok, outside the convergence region (the positive powers of two in this case) just claim $1+q+q^2+...$ is still "equal" to $\frac1{1-q}$", i.e. $\sum\limits_{k=0}^\infty 2^k "=" \frac1{1-2}=-1$. Subtract the $1=2^0$ counted twice from these two sums to get above result.

We Theoretical Physicists tend to do things like this regularly, which mostly means we were too eager on swapping $\lim$s at some point before ;)

  • 4
    How can the sum from 1 to infinity of positive integers lead to a negative number? – Kenshin Sep 28 '13 at 02:27
  • @Chris Because it isn't a sum in the normal sense. It's a regularized divergence. – Potato Sep 28 '13 at 05:48
  • 1
    @Chris Sorry for the brevity, I expanded a bit on this – Tobias Kienzler Sep 28 '13 at 07:22
  • @Chris This is one of those mathematical statements that shouldn't taken to mean "true" in the sense that it's provable, but "true" in the sense that taking it as an assumption doesn't lead to a paradox, in other words, consistency. – DanielV Sep 28 '13 at 12:36
  • @DanielV, it does lead to a paradox. The sum from 1 to infinity of 2^k = 2 + 2 + 2 + 2 etc. = -1 (our assumption). Now 2 = 1+1. Therefore 1 + 1 + 1 + 1 + 1 = -1. But the sum from 1 to infinity of 1^k = -1/2. – Kenshin Sep 28 '13 at 13:15
  • 1
    @Chris You need to review the "allowable" operations on summations. SumToInfinity(F(X)) is not the same as F(0) + F(1) + F(2) + ..., otherwise you'd have paradoxes even in convergent sums due to the fact that you can arbitrary choose the order of which terms to sum. – DanielV Sep 28 '13 at 14:11
  • I also found this tantalizing when I learned of it. I think there's no good reason to instantiate to "$2$" though; it holds for all fully regularized double geometric series (except with $0$). – anon Sep 28 '13 at 16:03
  • @Chris Actually I asked a question in that direction: http://math.stackexchange.com/q/468839/163 It's confusing at first, but it's similar to the fact that $\frac00$ only makes sense when given as $\lim$ of an actual expression (PS I think you meant $1+2+4+8+...$ instead of $2+2+2+...$ and group it as $(1) + (1+1) + (1+1+1+1) + ...$ - the argument stays the same though) – Tobias Kienzler Sep 28 '13 at 17:21
  • This topic seems very intriguing, so thanks for posting +1. – Kenshin Sep 29 '13 at 03:13
  • @Chris You're welcome - it certainly is intriguing: I told an internee about this since they mentioned wanting to study Mathematics after school, and the next day they said this robbed their sleep :D – Tobias Kienzler Sep 29 '13 at 08:22
  • 3
    The Casimir effect needs a trick like that. – Felix Marin Sep 29 '13 at 09:52
  • @FelixMarin Indeed, though it starts even "earlier" in a Physicists education, e.g. Statistical Physics where $10^{26}\approx\infty$ particles, or the "infinitely" large universe in Quantum Mechanical space integrations... – Tobias Kienzler Sep 29 '13 at 10:02
8

$$\sum_{i=0}^N {{N}\choose{i}}=2^N$$

8

The infinite Fibonacci sequence $F = (0, 1, 1, 2, 3, 5, 8, \dots)$ and the infinite Fibonacci string $S = 1011010110110 \dots$ are related by the following remarkable identity for all real or complex $\beta$ such that $\ |\beta| > 1$:

$$[0 \ ; \ \beta^{F_0}, \beta^{F_1}, \beta^{F_2}, \dots] = (\beta - 1) \cdot (0.S)_\beta$$

where $[0 \ ; \ \beta^{F_0}, \beta^{F_1}, \beta^{F_2}, \dots]$ denotes the continued fraction

$$\frac{1}{\beta^{F_0} + \frac{1}{\beta^{F_1} + \frac{1}{\beta^{F_2} + \cdots}}} $$

and $(0.S)_\beta = (0.1011010110110 \dots)_\beta$ denotes the number obtained by reading $0.S$ as a "base-$\beta$ numeral"; that is, $(0.S)_\beta$ denotes the sum of the infinite series

$$S[1] \beta^{-1} + S[2]\beta^{-2} + S[3]\beta^{-3} + \cdots$$

where $S[n]$ is the $n$th element of string $S$.

E.g., the so-called rabbit constant $(0.S)_2$ = 0.709803... in decimal , $(0.S)_\pi$ = 0.362011... in decimal, etc.

($F$ and $S$ are also related by the fact that both are generated by recursions of the form $x_{n+1} = x_{n} + x_{n-1} ;\ x_0 = 0, \ x_1 = 1$, where the $+$ is interpreted in one case as arithmetic addition, and in the other case as string concatenation.)

r.e.s.
  • 14,371
7

This one really surprised me: $$\int_0^{\pi/2}\frac{dx}{1+\tan^n(x)}=\frac{\pi}{4}$$

Franklin Pezzuti Dyer
  • 39,754
  • 9
  • 73
  • 166
7

I know it's incredibly simple, but I'm always awed by $$ 2+2 = 2 \cdot 2 = 2^2 = \;^2 2. $$ Two is where addition, multiplication and exponentiation meet. And: tetration.

Kieren MacMillan
  • 7,889
  • 2
  • 28
  • 70
  • 26
    That extends beyond exponentiation, as well, in the sense that 2 op 2 has the same value for every binary operation op in Goodstein's infinite sequence of hyperoperations (+, *, ↑, ↑↑, ↑↑↑, ...). – r.e.s. Sep 27 '13 at 04:23
  • 1
    @r.e.s. Can you explain that? Isn't 2 ↑↑ 2 = 16 ? – MrZander Sep 28 '13 at 00:04
  • 3
    @MrZander For any op beyond addition, in the expression x op y the y specifies how many x's are to be "combined" using the hyperoperator at the next lower level. E.g., 2↑↑4 = 2↑2↑2↑2 = 2↑2↑4 = 2↑16 = 65536, 2↑↑3 = 2↑2↑2 = 2↑4 = 16, 2↑↑2 = 2↑2 = 4. – r.e.s. Sep 28 '13 at 03:57
  • 1
    If you look at "generalized commutative hyperoperations" one can find an approach by A. Bennet in the 1910'th to define operations on an fractional index between "+" (=index 0) and "*" (=index 1). In this spirit using base $b=\sqrt 2$ instead of Bennet's $\exp()$ and $\log()$ to base $e$ all fractional indexed commutative operations between "+", "*", "^" and so on have the property that $x+y $ which is also $x \circ_0 y$ and all $x \circ_k y$ equal $x+y = x \circ_k y = x \cdot y = ... $ See the example "multiplication-table" at https://math.stackexchange.com/a/1272791/1714 – Gottfried Helms Jan 21 '19 at 00:31
  • This has to do with the fact that these are binary operations. – Allawonder Dec 28 '19 at 10:15
7

Given a polynomial $p(x)$ of degree $n$, let $a$ be the leading coefficient. Then:

$$\sum_{k=0}^n (-1)^k{n\choose k}p(x-k)=an!$$

This happens to be equivalent to:

$$p^{(n)}(x)=an!$$

where $p^{(k)}$ is the $k$th derivative of $p(x)$.

The surprising part is that the sum can actually obtain the leading coefficient without any remaining reference to the polynomial aside from the factorial of the degree.

abiessu
  • 8,115
6

Plot the graphs of the functions $$f(x)=\dfrac{2(x^2+|x|-6)}{3(x^2+|x|+2)}+\sqrt{16-x^2}$$ and $$g(x)=\dfrac{2(x^2+|x|-6)}{3(x^2+|x|+2)}-\sqrt{16-x^2}$$ in $x\in[-4,4]$ on the same plane.

enter image description here

Bumblebee
  • 18,220
  • 5
  • 47
  • 87
  • 2
    I made this one on valentine's day: https://www.desmos.com/calculator/xzwffxyucr – Simply Beautiful Art Mar 20 '17 at 23:47
  • 1
    Very nice picture. There is another two functions those make a similar picture: $$y=|x|^{3/2}\pm\sqrt{1-x^2}.$$ May be you can add more components to make this more nice :) – Bumblebee Mar 22 '17 at 05:19
6

If $x^{x} = x+1$, then

$x^{x^2+x} = (x^2+x)^{x}$

6

$y(x)=\left \{ \frac{x- \frac {\left \lceil \frac {\sqrt {1+8x}-1} {2} \right \rceil \left ( 1-\left \lceil \frac {\sqrt {1+8x}-1} {2} \right \rceil \mod2 \right)} {2}} {\left \lceil \frac {\sqrt {1+8x}-1} {2} \right \rceil}\right \}$

This function has the following slopes: 1 at [0,1), 2 at [1,3) and so on

6

Let $p_n$ be the probability that a random permutation in the symmetric group $S_n$ doesn't have fixed points. Then $\lim_{n\to\infty}p_n=\frac{1}{e}$.

I was amazed the first time I saw this exercise!

rfauffar
  • 7,509
  • No big surprise. This is just an application of the inclusion-exclusion formula and $\displaystyle{e^x=\sum_{n\geq0}\frac{x^n}{n!}}$ – Taladris Oct 19 '13 at 12:44
  • 2
    Of course that's how it's proven, but it's still surprising when you first see it! Many of the facts on this post are easy and not surprising once you know what's going on behind the scenes! – rfauffar Oct 19 '13 at 18:14
6

It's funny noone mentioned the hockey-stick identity, partial sum of columns in a Pascal triangle:

enter image description here

$$ \sum_{k=0}^{m}\binom{n+k}{k}=\binom{n+m+1}{n} $$

http://www.artofproblemsolving.com/Wiki/index.php/Combinatorial_identity

Alex
  • 19,262
6

$$ \sum_{n=1}^{+\infty}\frac{\mu(n)}{n}=1-\frac12-\frac13-\frac15+\frac16-\frac17+\frac1{10}-\frac1{11}-\frac1{13}+\frac1{14}+\frac1{15}-\cdots=0 $$ This relation was discovered by Euler in 1748 (before Riemann's studies on the $\zeta$ function as a complex variable function, from which this relation becomes much more easier!).

Another notable relation is the following, on the partition function, due to Ramanujan: $$ p(n)=\frac1{\pi\sqrt2}\sum_{k=1}^{N}\sqrt k\left(\sum_{h\mod k}\omega_{h,k}e^{-2\pi i\frac{hn}{k}}\right)\frac d{dn}\left(\frac{\cosh\left(\frac{\pi\sqrt{n-\frac1{24}}}{k}\sqrt{\frac23}\right)-1}{\sqrt{n-\frac1{24}}}\right)+O\left(n^{-\frac14}\right)\;. $$ Then one of the most impressive formulas is the functional equation for the $\zeta$ function, in its asimmetric form: it highlights a very very deep and smart connection between the $\Gamma$ and the $\zeta$: $$ \pi^{-\frac s2}\Gamma\left(\frac s2\right)\zeta(s)= \pi^{-\frac{1-s}2}\Gamma\left(\frac{1-s}2\right)\zeta(1-s)\;\;\;\forall s\in\mathbb C\;. $$

Joe
  • 11,745
  • There must be a typo in the last expression, it should be $\pi^{\frac{1-s}2}\Gamma\left(\tfrac s2\right)\zeta(s)= \pi^{\frac s2}\Gamma\left(\tfrac{1-s}2\right) \zeta(1-s);;;\forall s\in\mathbb C$. – g.kov Dec 28 '19 at 14:26
5

I'm a fan of approximations, and I ran into this one the other day:

$$ \Gamma^{(k)}(1) \sim (-1)^k\, \Gamma(k+1) \quad \text{as } k \to \infty. $$

The form is interesting in that it relates the $k^\text{th}$ derivative of the function at $1$ to the value of the function at $k+1$.

The approximation isn't too bad either; the relative error is on the order of $2^{-k}$, i.e.

$$ \Gamma^{(k)}(1) = (-1)^k\, \Gamma(k+1) \left[1 + O\!\left(2^{-k}\right)\right] \quad \text{as } k \to \infty. $$

5

$$\sin \pi x=\pi x\prod_{n=1}^{\infty}\left(1-\frac {x^2}{n^2}\right).\quad \text {(L. Euler).}$$ Obviously the LHS and RHS have the same set of zeroes but that alone does not imply equality. And putting $x=1/2$ into it, we derive the Wallis product for $\pi, $ which itself is remarkable, especially as Wallis was Newton's immediate predecessor in the "Lucas chair" and obtained his product without the full generality of the methods of calculus developed by Newton..

5

Something I recently saw on Abstruse Goose (although I don't recall the exact link).

$$10^2+11^2+12^2=13^2+14^2$$

Moreover, one can easily prove that this is the only sequence of five consecutive positive numbers which have this property!

Asaf Karagila
  • 393,674
5

The continued fraction of The Golden Ratio:

$\frac{1+\sqrt5}{2}=[1;,1,1,1,\dots]=[1,\bar1]$

Also: $\frac{1+\sqrt5}{2}=\sqrt{1+\sqrt{1+\sqrt{1+\dots}}}$.

Spock
  • 1,663
  • 2
  • 13
  • 26
5

$$ {\large\sqrt{\vphantom{\Large A}\,\color{#ff0000}{20}\color{#0000ff}{25}\,}\, = 45 = \color{#ff0000}{20} + \color{#0000ff}{25}} $$

Felix Marin
  • 89,464
  • 5
    Oh come on, we can do better than that: $$\sqrt{3025}=30+25$$ $$\sqrt{99801}=998+1$$ $$\sqrt{4941729}=494+1729$$ $$\sqrt{7441984}=744+1984$$ $$\sqrt{52881984}=5288+1984$$ $$\sqrt{60481729}=6048+1729$$ – Franklin Pezzuti Dyer Dec 01 '18 at 17:53
  • @Frpzzd It's quite fine there are so many cases. However, your second example is wrong because $\displaystyle 999^2 = 998001 \not= 99801$. My ONLY example appears in the book "The Man who Counted". – Felix Marin Dec 03 '18 at 20:40
4

I apologize if this is already here. I thought it was but I can't find it, so I must have seen it somewhere else on the site.

$$\begin{matrix} f(x) & \displaystyle\int f(x)dx \\[6pt] \hline x^2 & \dfrac{x^3}{3} \\[6pt] x & \dfrac{x^2}{2} \\[6pt] 1 & x \\[6pt] \dfrac{1}{x} & \color{red}{\log(x)} \\[6pt] \dfrac{1}{x^2} & -\dfrac{1}{x} \\[6pt] \dfrac{1}{x^3} & -\dfrac{1}{2x^2} \\[6pt] \dfrac{1}{x^4} & -\dfrac{1}{3x^3} \end{matrix}$$

$\displaystyle{\int x^n dx} = \frac{x^{n+1}}{n+1}$

$\displaystyle{\lim_{n \rightarrow -1} \left(\frac{x^{n+1}}{n+1}\right)} = \log(x)$?

No. Let $g(x,n)=\frac{x^{n+1}}{n+1}$.

For $x\in(0,\infty)$, you have:
$g(x,n)>0$ as $n\rightarrow -1$ from above, and
$g(x,n)<0$ as $n\rightarrow -1$ from below, but
$\log(x)<0$ on $x\in(0,1)$ and $\log(x)>0$ on $x\in(1,\infty)$.

I wish I understood this better.

  • 1
    $\frac{x^{n+1}}{n+1}$ actually approaches $\log(x) + \gamma - \zeta(-n)$ as $n \rightarrow -1$. $\gamma$ is Euler's constant. – Hayashi Yoshiaki Nov 21 '21 at 22:13
  • @HayashiYoshiaki How so? Assuming $x>0$, I'm pretty sure that ${\lim_{n\to {-1}^{+}}{\frac{x^{n+1}}{n+1}}=\infty}$ and ${\lim_{n\to {-1}^{-}}{\frac{x^{n+1}}{n+1}}=-\infty}$. – Travis Bemrose Sep 01 '22 at 15:37
  • Yes, but what goes infinity is the constant of integration $C$ and the function itself approaches log(x). The relation you've shown requires a "proper" constant of integration $\gamma - \zeta(-n)$. Very interesting. – Hayashi Yoshiaki Sep 02 '22 at 16:40
4

$$\frac{11}{10}\cdot\frac{1111}{1110}\cdot\frac{111111}{111110}\cdot\frac{11111111}{11111110}\cdots =1.101001000100001000001\cdots$$

Kemono Chen
  • 8,629
4

I got this integral,

$$\int_{-\infty}^{+\infty}\frac{\mathrm dt}{(\phi^n t)^2+\pi^2(F_{2n+1}-\phi F_{2n})(e^{\gamma}t^2+t-1)^2}=1$$

Where $F_{n}$ is the Fibonacci number,$\phi$ is the Golden ratio and $\gamma$ is the Euler's constant.

4

Let me add my personal favorite one here:

$$\sum_{\substack{m, n \geq 1\\\gcd(m,n)=1}} \frac{1}{m^2n^2}=\frac{5}{2}.$$

You can generalize this into $$\mathop{\sum_{n_1=1}^\infty\cdots\sum_{n_j=1}^\infty}\limits_{(n_1,\dots,n_j)=1} \frac1{n_1^{k_1} \cdots n_j^{k_j}}=\frac{\zeta(k_1)\zeta(k_2)\cdots \zeta(k_n) }{\zeta(k_1+k_2+\cdots+k_n)},$$ where $\zeta$ is the Riemann's zeta function.

4

One more with continued fractions. In 2003 there was a discussion in sci.math about the continued fractions of powers of $e$ - if I recall correctly, then that of even powers are somehow folklore. But examining the pattern to the depth we came to the following infinite continued fraction with a variable parameter: $$ \operatorname{cfe}(x)= [1,\tfrac1x-1,1, \quad 1,\tfrac3x-1,1, \quad 1,\tfrac5x-1,1, \quad \ldots ]$$ where the pattern is easily recognizable.
Then "generalize" the continued fraction and allow irrational values for $x$. Then

$$ x = \operatorname{cfe}( \ln(x) ) \qquad \qquad x \ne 1$$ or $$ x= 1+\cfrac{1} {(\tfrac1{\ln x}-1) + \cfrac{1} {1+\cfrac{1} {1+\cfrac{1} {(\tfrac3{\ln x}-1) + \cfrac{1} {1+\cfrac{1} {1+\cfrac{1} {(\tfrac5{\ln x}-1) + \cfrac{1} {1+\cfrac{1} {...}}}} }}}}}$$

4

$$\int_0^{\frac{\pi}{2}} x\ln(\tan(x))\ dx=\frac{7}{8}\zeta(3)$$

3

I find the Young-Frobenius identity, found on p. 8 here, surprising:

A partition $\lambda\vdash n $ of an integer $n\geq0$, i.e. a sequence $(\lambda_{1}, \cdots,\lambda_{k})$ with $\lambda_{1}\geq \cdots \geq \lambda_{k}>0$ and $\lambda_{1} + \cdots + \lambda_{k}=n$, can be identified with a diagram consisting of $k$ left-justified rows of boxes, where row $i$ (starting from the top) has $\lambda_{i}$ boxes, called a Young diagram of size $n$. For some Young diagram $\lambda$ of size $n$, a Young tableau of shape $\lambda$ is an assignment of integers $1$ through $n$ to the boxes of $\lambda$; a Young tableau is standard if these numbers increase in each row and column. For example, one size-$10$ standard Young tableau of shape $(5,4,1)$ is:

enter image description here

Now let $f^{\lambda}$ denote the number of standard Young tableaux of shape $\lambda$. Then the numbers of standard Young tableaux of each shape of size $n$ satisfy this identity:

$$\sum_{\lambda\vdash n}^{}(f^{\lambda})^{2}=n!$$

3

One of the most beautiful formulas in combinatorics:
Cayley's Formula:Number of labelled trees on $n$ vertices $=n^{n-2}$

And here are some interersting, yet not-so-popular combinatorial identities:

Notations:
$F_n = n^{th}$ Fibonacci number
$H_n =$ $n^{th}$ Harmonic number; $H_n = 1+ \frac{1}{2}+\frac{1}{3} +...+\frac{1}{n}$

  1. $$ \sum_{n \ge 1} {\frac{F_n}{2^n}} =2 $$
  2. $$ \sum_{n \ge 1} {n \frac{F_n}{2^n}} =10 $$
  3. $$ \sum_{n \ge 1} {n^2\frac{F_n}{2^n}} =94 $$
  4. For $0 \le m \le n$, $$\sum_{k=m}^{n-1} {\binom{k}{m} \frac {1}{n-k}}= \binom{n}{m}(H_n -H_m)$$
3

The most interesting identity I have come across so far is the Mellin Transform of Gauss' Hypergeometric Function with a negative $x$-argument which can be expressed as a combination of Beta and Gamma Functions

$$\mathcal{M}[_2F_1(a,b;c;-x)](s)=B(s,a-s)\frac{\Gamma(b-s)\Gamma(c)}{\Gamma(b)\Gamma(c-s)}$$

which again points out the extremely close relation between all these special functions in general.

mrtaurho
  • 16,103
3

An impressive relationship connecting three important functions in number theory $$\sigma(n)+ \phi(n) = n \cdot d(n) \qquad \text{for } n \in \mathbb P $$ $\sigma(n)$ - sum of positive divisors of n

$\phi(n)$ - Euler's totient function

$d(n)$ - number of positive divisors of n

ThomasL
  • 405
3

I believe McShane's identity is very surprising, and is pretty different from the rest of these answers.

Let $\Sigma_{1,1}$ be a once punctured torus with a complete, finite volume, hyperbolic metric $g$. Let $C$ be the set of closed geodesic curves which do not intersect themselves (simple closed curves). Then we have the following identity:

$$ \sum_{c \in C} \frac{1}{1+e^{\mathrm{length}(c)}}=\frac{1}{2}. $$


This is extremely interesting because there are many such metrics up to isometry. In fact the space of such metrics is naturally isomorphic to the modular curve $\mathbb H^2/ \mathrm{PSL}(2,\mathbb{Z})$. In general the set of lengths of simple closed curves will be very different for different metrics. For example, for any $\epsilon >0$ you can find a metric with a $c \in C$ of that length. When $\epsilon$ is small the corresponding term is very close to $1/2$. There are also metrics where every curve in $C$ has length greater than 1.

This identity, and generalizations of this, end up being related to important work by Maryam Mirzakhani, who won the Fields medal.

3

This expression is from Francois Viète: $$\pi = \frac{2}{1} \times \frac{2}{\sqrt2} \times \frac{2}{\sqrt{2+\sqrt2}}\times \frac {2}{\sqrt{2+\sqrt{2+\sqrt2}}} \times \cdots$$

random
  • 312
3

A fun one from probability: If $U, V, W$ are independent random variables, each uniform on $(0,1)$, then $(UV)^W$ is also uniform on $(0,1)$.

3

This formula thrills me and stirs my mind as nothing could for years... $$\int^\infty_{0}\!\!e^{-3\pi x^2}\frac{\sinh(\pi x)}{\sinh(3 \pi x)}\,dx=\frac{1}{e^{2\pi/3}\cdot \sqrt3} \sum^\infty_{n=0}\frac{e^{-2n(n+1)\pi}}{(1+e^{-\pi})^{2}(1+e^{-3\pi})^{2}\cdots(1+e^{-(2n+1)\pi})^{2}}$$

Neves
  • 5,617
Shivam Patel
  • 4,012
  • Can I ask why this one in particular? – Bennett Gardiner Sep 28 '13 at 08:05
  • 1
    @BennettGardiner This formula consists of A combination of irrational constants , trigonometric function and more over a connection of an infinite sum and infinite integral. – Shivam Patel Sep 28 '13 at 12:30
  • 1
    Note that $\sinh(x) = \frac 12 (\mathrm e^x - \mathrm e^{-x})$, so in fact you have "only" a combination of exponential functions under the integral. And it would be more impressive if the RHS was missing the $\pi$. – filmor Sep 30 '13 at 13:15
3

I think this is simple but I want to post it:

$$1 \times 9=9\implies(0+9=9)$$ $$2\times 9=18\implies(1+8=9)$$ $$3\times 9=27\implies(2+7=9)$$ $$4\times 9=36\implies(3+6=9)$$ $$5\times 9=45\implies(4+5=9)$$ $$6\times 9=54\implies(5+4=9)$$ $$7\times 9=63\implies(6+3=9)$$ $$8\times 9=72\implies(7+2=9)$$ $$9\times 9=81\implies(8+1=9)$$ $$10\times 9=90\implies(9+0=9)$$ and also no. are in a pattern $09,18,27,36,45\;$then reverse the no.$54,63,72,81,90$

iostream007
  • 4,529
2

Möbius inversion formula may be an example. Also Ramanujan's Partition Congruences were surprising to me when I first saw them.

2

It has surprised me that

$$F_n^\star=\frac{\phi^n-(-\phi)^{-n}}{\sqrt5}$$

where $\phi$ is the golden ratio and $F_n^\star$ is the nth Fibonacci number. Then, one stumbles upon characteristic equations:

$$a_kF_{n+k}=a_{k-1}F_{n+k-1}+a_{k-2}F_{n+k-2}+\dots+a_0F_n$$

$$\implies F_n=b_kr_k^n+b_{k-1}r_{k-1}^n+\dots+b_1r_1^n$$

where $r$ is a solution of the equation

$$a_kr^k=a_{k-1}r^{k-1}+a_{k-2}r^{k-2}+\dots+a_0$$

assuming the roots do not repeat. The coefficients are determined based on initial values.

It then surprises me further that this extends to differential equations:

$$a_ky^{(k)}+a_{k-1}y^{(k-1)}+\dots+a_0y=0$$

$$\implies y=b_ke^{r_kx}+b_{k-1}e^{r_{k-1}x}+\dots+b_1e^{r_1x}$$

where $r$ is a root of the equation

$$a_kr^k+a_{k-1}r^{k-1}+\dots+a_0=0$$

again assuming roots do not repeat.

2

Prime solutions for the Prouhet-Tarry-Escott problem of size ten ($10$ primes on the left side, other $10$ primes on the right side) .

$$ 2589701^k + 2972741^k + 6579701^k + 9388661^k + 9420581^k + 15740741^k + 15772661^k + 18581621^k + 22188581^k + 22571621^k $$ $$ = 2749301^k + 2781221^k + 6835061^k + 8399141^k + 10314341^k + 14846981^k + 16762181^k + 18326261^k + 22380101^k + 22412021^k $$

( Prime solution, $ k = 1, 2, 3, 4, 5, 6, 7, 8, 9 $)

2

$$\prod_{n=1}^{\infty}\frac1{4en}\bigg(\frac{(16n^2-9)^3}{16n^2-1}\bigg)^{1/4}\bigg(\frac{(4n+3)(4n-1)}{(4n-3)(4n+1)}\bigg)^n=\sqrt{\frac{2}{3\pi\sqrt{3}}}\exp\bigg(\frac{G}{\pi}+\frac12\bigg)$$ Where $G$ is Catalan's constant.

clathratus
  • 17,161
2

Simple and surprising $$7! = 7\cdot{8}\cdot{9}\cdot{10}$$ $$\frac{1}{2}! = \sqrt{\frac{\pi}{4}}$$ $$\frac{123456789}{987654321} = 0.1249999988$$

EDIT: here's one interesting and surprising relationship I came up with myself, some years ago $$\color{purple}{\sin{\frac{\pi}{36}} \approx \frac{1}{6+\sqrt{3}+\sqrt{14}}}$$

2

•I will love to add this nested radical from Ramanujan: $$\sqrt{1+2\sqrt{1+3\sqrt{1+4\sqrt{\cdots}}}}=3$$ •Also like to add this too:$$1+2+3+4+\cdots=-\frac{1}{12}$$ •This famous Stirling'sapproximation$$n!\approx\sqrt{2\pi n}{\left(\frac{n}{e}\right)}^n$$

Gary
  • 31,845
David
  • 113
  • 15
2

A surprising family of series for $e$ can be derived by algebraically combining the terms in Newton's series expansion:

\begin{equation} e=\sum_{k=0}^{\infty } \dfrac{1}{k!}=\dfrac{1}{0!}+\dfrac{1}{1!}+\dfrac{1}{2!}+\dfrac{1}{3!}+\dfrac{1}{4!}+\dfrac{1}{5!}+\ldots. \end{equation}

Here are a few examples:

\begin{equation} e=\sum _{k=0}^{\infty } \frac{2k+1}{(2k)!}=\frac{1}{0!}+\frac{3}{2!}+\frac{5}{4!}+\frac{7}{6!}+\frac{9}{8!}+\frac{11}{10!}+\ldots \end{equation}

\begin{equation} 2e=\sum _{k=0}^{\infty } \frac{k+1}{k!}=\frac{1}{0!}+\frac{2}{1!}+\frac{3}{2!}+\frac{4}{3!}+\frac{5}{4!}+\frac{6}{5!}+\ldots \end{equation}

\begin{equation} 1/e=\sum _{k=0}^{\infty } \frac{1-2k}{(2k)!}=\frac{1}{0!}-\frac{1}{2!}-\frac{3}{4!}-\frac{5}{6!}-\frac{7}{8!}-\frac{9}{10!}-\ldots~. \end{equation}

Beyond being pretty, these series converge substantially faster than Newton's series. For more formulas and details on derivation see: http://www.brotherstechnology.com/math/cmj-supp.html

Harlan
  • 1,181
  • 3
    $$ 1=\sum_{k=0}^{\infty } \frac{1}{k!(k+2)}=\frac{1}{0!2}+\frac{1}{1!3}+\frac{1}{2!4}+\frac{1}{3!5}+\frac{1}{4!6}+\frac{1}{5!7}+\ldots $$ – Fred Daniel Kline Jan 30 '14 at 21:56
  • Nice, @FredKline. The above link leads to a list of formulas at: http://www.brotherstechnology.com/math/e-formulas.html. This is a variation of Formula (26) with n=1:

    \begin{equation} 1=\sum _{k=1}^{\infty } \frac{k}{(k+1)!}=\frac{1}{2!}+\frac{2}{3!}+\frac{3}{4!}+\frac{4}{5!}+\frac{5}{6!}+\frac{6}{7!}+\ldots~. \end{equation}

    – Harlan Feb 01 '14 at 00:23
1

I have found the identity below from which can be deduced infinitely many others of increasing degree by the elementary theory of elliptic curves.

The 6-tuples indicate the coefficients of, respectively $n^5$, $n^4$, $n^3$, $n^2$, $n$ and $1$
$$ A = (1, 10, -8, 16, 64, -32) \\ B = (1, -10, -8, -16, 64, 32) \\ C = (-1, 8, 8, -16, 80, 32) \\ D = (-1, -8, 8, 16, 80, -32)$$

Then it is verified the identity $$n(6n^4 +24n^2 + 96)^3 = A^3 + B^3 + C^3 + D^3$$

The factor of $n$ at the left is never nul for any integer $n$.

Mark Hurd
  • 688
Piquito
  • 29,594
1

For the orthogonal ($\vec{v}_\perp$) and parallel component ($\vec{v}_\parallel$) of a $\Bbb R^3$ vector $\vec{v}$ along another vector $\vec{k}$ with lenght $k$ we have $$ k\,\vec{v}\, k= \underbrace{\vec{k}\,(\vec{v}\cdot\vec{k})}_{k \vec{v}_\parallel k} + \underbrace{\vec{k}\times(\vec{v}\times\vec{k})}_{k \vec{v}_\perp k} $$

or a bit less showy

$$\vec{v}= \frac{\vec{k}\,(\vec{v}\cdot\vec{k}) + \vec{k}\times(\vec{v}\times\vec{k})}{k^2},$$

which for unit length vectors $\vec{k}$ gives obvioulsy

$$ \vec{v}= \underbrace{\vec{k}\,(\vec{v}\cdot\vec{k})}_{\vec{v}_\parallel} + \underbrace{\vec{k}\times(\vec{v}\times\vec{k})}_{\vec{v}_\perp}. $$

To me this looked a first quite surprising since the scalar, the cross and the product of scalar and vector, are combined in a rather symmetric and harmonic fashion here. This is kind of unexpected, since as we know the one is a vector and the other one is a scalar. Though its of course very easy to show that this is correct and also the one contains the $\sin$ and the other the $\cos$ of the angle in between $\vec{k}$ and $\vec{v}$. But its more the vector algebra which kind of amazed me.

Raphael J.F. Berger
  • 1,697
  • 14
  • 25
1

The formulas obtained by Robert Scheider and involving The Golden Ratio $\phi$, the Euler Totient $\varphi (n)$ and the Moebius Function $\mu(n)$, are rather surprising $$ \begin{array}{*{20}c} {\phi = - \sum\limits_{1\, \le \,k} {\frac{{\varphi (k)}}{k}\ln \left( {1 - \frac{1}{{\phi ^{\,k} }}} \right)} } & {e^{\,\phi } = \prod\limits_{1\, \le \,k} {\left( {1 - \frac{1}{{\phi ^{\,k} }}} \right)^{\, - \;\frac{{\varphi (k)}}{k}} } } \\ {\frac{1}{\phi } = - \sum\limits_{1\, \le \,k} {\frac{{\mu (k)}}{k}\ln \left( {1 - \frac{1}{{\phi ^{\,k} }}} \right)} } & \begin{array}{l} e^{\,{{1\,} \mathord{\left/ {\vphantom {{1\,} {\,\phi }}} \right. } {\,\phi }}} = \prod\limits_{1\, \le \,k} {\left( {1 - \frac{1}{{\phi ^{\,k} }}} \right)^{\, - \;\frac{{\mu (k)}}{k}} } = \\ = \frac{1}{e}\prod\limits_{1\, \le \,k} {\left( {1 - \frac{1}{{\phi ^{\,k} }}} \right)^{\, - \;\frac{{\varphi (k)}}{k}} } \\ \end{array} \\ {1 = \sum\limits_{1\, \le \,k} {\frac{{\mu (k) - \varphi (k)}}{k}\ln \left( {1 - \frac{1}{{\phi ^{\,k} }}} \right)} } & {e = \prod\limits_{1\, \le \,k} {\left( {1 - \frac{1}{{\phi ^{\,k} }}} \right)^{\,\frac{{\mu (k) - \varphi (k)}}{k}} } } \\ \end{array} $$

Also refer to this Wikipedia article.

G Cab
  • 35,272
1

I was amazed at one of the results that Ramanujan sent to Hardy in his first letter.

$$ (1.10) \text{ If } u = \frac{x}{1+} \frac{x^5}{1+} \frac{x^{10}}{1+} \frac{x^{15}}{1+\dots},\, v = \frac{x^{1/5}}{1+} \frac{x}{1+}\frac{x^{2}}{1+}\frac{x^{3}}{1+\dots},\\ \text{then}\qquad\qquad v^5 = u\frac{1-2u+4u^2-3u^3+u^4} {1+3u+4u^2+2u^3+u^4} $$

This is just one of the modular equations satisfied by the Rogers-Ramanujan continued fraction. The Wikipedia article mentions other amazing facts about the continued fraction but this result stands out for me.

Somos
  • 35,251
  • 3
  • 30
  • 76
1

Perhaps this is mainly for the programmers among us, a few fun 'cyclical' identities between bases $10$ and $16$:

$$8200_{10}=2008_{16}$$ $$4100_{10}=1004_{16}$$ $$1041_{10}=0411_{16}$$

In case you're confused, the rule for the above is:

$$\mathrm{CycleDigitsLeft}(N_{10},1)=N_{16}$$

I thought it was cute :)

Amit
  • 373
1

Sophomore's $\color{red}{\text{Eternal}}$ Dream:

$$\lim_{n\to\infty}\int_0^1\cdot\cdot\cdot\int_0^1\int_0^1 (x_1x_2\cdot\cdot\cdot x_n)^{x_1x_2\cdot\cdot\cdot x_n} dx_1 dx_2\cdot\cdot\cdot dx_n=1$$

Here is the solution link.

MathFail
  • 21,128
1

I was calculating a Galois group and came across this weird looking identity that seemingly came out of nowhere:

$$ \left( \sqrt{3} \left(\frac{1+\sqrt{3}}{2}\right) (1+i) \sqrt{\frac{2}{\sqrt{3}}-1} \right)^4 = -3.$$

Asconik
  • 131
1

Les $(e_n)_{n \ge 0}$ be the sequence defined by $e_n = (-1)^{s_2(n)}$ where $s_2(n)$ is the sum of the digits in the decomposition of $n$ in base 2. Then $$\prod_{k=0}^{\infty}\Big(\frac{2k+1}{2k+2}\Big)^{e_n} = \frac{\sqrt{2}}{2}.$$ Moreover, for every $n \ge 0$, $$e_n = 1 \text{ or } -1 \text{ according that } \prod_{k=0}^{n-1}\Big(\frac{2k+1}{2k+2}\Big)^{e_k} \text{ is grater or smaller than } \frac{\sqrt{2}}{2}.$$ https://cs.uwaterloo.ca/~shallit/Papers/ubiq15.pdf

Here is another amazing result (to my opinion). For every integer $n \ge 1$, call $t_n$ the unique solution of the equation $\tan t = t$ in the interval $]n\pi,n\pi+\pi/2[$. Then $$\sum_{n=1}^{+\infty} t_n^{-2} = \frac{1}{10}, \quad \sum_{n=1}^{+\infty} t_n^{-4} = \frac{1}{350}.$$ There exists a formula like (I am not completely sure)$$\frac{3}{t}+\sum_{n=1}^{+\infty} \frac{2t}{t^2-t_n^2} = \frac{\tan^2t}{\tan t - t} = \frac{\sin^2 t}{\cos t (\sin t - t\cos t)}.$$

1

Some identities, mostly by Ramanujan, from this paper by S.G. Gindikin (in Russian).

$$\sum_{n=0}^\infty (-1)^n(4n+1)\left(\frac{(2n-1)!!}{(2n)!!}\right)^3=\frac 2\pi,$$

$$\sqrt{6+2\sqrt{7+3\sqrt{8+4\sqrt{9+\dots}}}}=4,$$

$$1+\frac 1{1\cdot 3}+\frac 1{1\cdot 3\cdot 5}+\frac 1{1\cdot 3\cdot 5\cdot 7} +\frac 1{1\cdot 3\cdot 5\cdot 7\cdot 9}+$$ $$\frac{1}{1+\frac 1{1+\frac 2{\frac{1+ 3}{1+\frac 4{1+\dots}}}}}=\sqrt{\frac{\pi e}2},$$

$$1+\frac x{1-x}+\frac{x^4}{(1-x)(1-x^2)}+\frac{x^9}{(1-x)(1-x^2)(1-x^3)}= \frac 1{(1-x)(1-x^6)(1-x^{11})\cdot \dots \cdot (1-x^4)(1-x^9)(1-x^{16})}.$$

PS. Because of bad image quality, I am not sure in some powers in the last identity.

Alex Ravsky
  • 90,434
1

Let $G$ be a finite group. Then $G$ is abelian if and only if

$$\frac{ \{g, h \in G: g^{-1}h^{-1}gh = e \}}{|G|^2} > \frac{5}{8}.$$

Essentially this is saying that if the proportion of a group that commutes exceeds a certain amount, then all of it must commute.

Robin
  • 3,227
1

Something very exotic... and I do not know, whether this example fits the bill for this question here. But let's see.

In some sense it seems to be possible to assign equality $$ e = \tfrac 1{e^1} \tfrac 1{e^2} \tfrac 1{e^4}\tfrac 1{e^8}...$$


Originally I thought I had a mathematical contradiction when I wrote: $$ \text{ How can } \qquad e^{-1-2-4-8-16-...} = e^{-1/(1-2)}= e^{+1} = e \qquad \text{?}$$

Initially I thought that this were an example where the rule of the closed form of the geometric series might break. The equality seems impossible because the product is even of only decreasing factors and should so be convergent and moreover converge to zero: $$e^{-(1+2+4+8+16+...)} = \tfrac 1{e^1} \tfrac 1{e^2} \tfrac 1{e^4}... $$ so $$ e \overset{???}{=} \tfrac 1{e^1} \tfrac 1{e^2} \tfrac 1{e^4}\tfrac 1{e^8}...$$ Well, in some circumstances in the context of divergent series we observe strange things - but here the factors are all nicely decreasing and no unexpected effect should occur.
But - that this actually holds in some sense was mentioned by Robert Israel here in MSE

  • 7
    This follows from the fallacious argument that $1 +2 + 4 + 8 + \ldots = \frac{1}{1-2} $, which doesn't hold because to apply the GP sum to infinity, we need $|x|<1$. – Calvin Lin Sep 27 '13 at 13:00
  • After looking over Robert's answer, he said that "I would avoid writing it as $e$". And in fact, you have not shown that it is $e$, because you do not know what the analytic continuation is. I do not think you can extend it beyond the unit circle. – Calvin Lin Sep 27 '13 at 13:10
  • @Calvin: Here is another link where I stumbled into this problem earlier, discussed it with some arguments and halfbrewn counterarguments - maybe somehow instructive, too (not only for historical reasons) : http://math.eretrandre.org/tetrationforum/showthread.php?tid=420 – Gottfried Helms Sep 27 '13 at 13:13
  • @Calvin: Well, he wrote "... it is indeed true that ... has an analytical continuation of.. with value $e$ at $z=2$ ..." . But true, he also said he would avoid to write the equality in the product-notation. That is why I added the phrase "in some sense" to the equation. All in all - maybe the given example is too complicated here for that list of curious examples... on the other hand, the OP didn't want to get the standard ones... Hmm, I don't know whether I should delete it? (Upps- the OP: that were you ;-) - sorry) – Gottfried Helms Sep 27 '13 at 13:33
  • I think you should justify the "in some sense". I'm fine with leaving it up and letting the community vote, and you can always delete it later. E.g. if you simply wrote $1+2 + 4 + \ldots = -\frac{1}{2}$, I think that will result in a lot of down votes immediately. My main concern is that the GP doesn't converge on the unit circle, and so I don't understand the analytic continuation argument that allows you to push through this boundary. – Calvin Lin Sep 27 '13 at 13:38
  • "Surprising" is also up to you to decide, as you can see from the range of answers. Of course, it often depends on the amount of math knowledge that you have. I just wanted to avoid "Gauss was so smart to sum the AP in this way!" kind of answers. – Calvin Lin Sep 27 '13 at 13:43
  • Hmm, rereading it I feel, the example has lost its charme due to its complexity - its something like other "surprises" in context of divergent series. Not "striking" enough for the casual reader... I think, I'll delete it later if no positive votes occur. – Gottfried Helms Sep 27 '13 at 13:56
1

Further working on TobiMcNamobi 's identity:

$$ \begin{array}{rcl} \dfrac{1}{7} & = & \sum\limits_{k=1}^{\infty} 2^k\times7\times10^{-2k} \\ \dfrac{1}{49} & = & \sum\limits_{k=1}^{\infty} 2^k\times10^{-2k} \\ & = & \sum\limits_{k=1}^{\infty} 2^k\times100^{-k} \\ & = & \sum\limits_{k=1}^{\infty} \left(\dfrac{2}{100}\right)^k \\ & = & \sum\limits_{k=1}^{\infty} \left(\dfrac{1}{50}\right)^k \end{array} \\ \\ \boxed{\dfrac{1}{49} = \dfrac{1}{50} + \dfrac{1}{2500} + \dfrac{1}{625000} + \cdots} $$

hkBattousai
  • 4,543
1

I believe that one that should be mentioned is the prime number theorem:
Let $\pi(x)$ be the number of primes not exceeding $x$. Then:
$\pi(x)\sim \frac{x}{logx}$

1

Wheatstone's identity, which shows how powers can be constructed via arithmetic progressions: $$n^a = \sum_{k=0}^{t-1}\biggl(\frac{n^a}{t}-\frac{\delta(t-1)}{2}+k\delta\biggr).$$ Put into words: An arithmetic progression of $t$ terms with constant difference $\delta$ and first term $\tfrac{1}{t}n^a-\tfrac{1}{2}\delta(t-1)$ will sum to $n^a$.

Kieren MacMillan
  • 7,889
  • 2
  • 28
  • 70
1

Not sure if it's an equation but.. I was very surprised that among all two-dimensional compact orientable surfaces, a 2-sphere $S^2$ is the only one that has nontrivial higher homotopy groups. So, from the point of view of homotopy, sphere is the "most complicated" surface in some sense.

Peter Franek
  • 11,522
  • Isn't this just because you measure homotopy by using the embeddings of spheres into your space? – Oscar Cunningham Mar 01 '16 at 09:33
  • @OscarCunningham Unfortunately, I don't understand what you mean by "measuring homotopies by embeddings...". – Peter Franek Sep 15 '16 at 08:45
  • I mean that the second homotopy group of a space $X$ is defined as the set of injections $S^2\to X$, along with some multiplication operation. So it's not so surprising that $S^2$ has an interesting second homotopy group, since $S^2$ is itself involved in the definition. – Oscar Cunningham Sep 15 '16 at 08:49
  • @OscarCunningham No, homotopy groups are not defined by injections and/or embeddings, but rather by continuous maps (up to homotopy). Also $\pi_2$ is nontrivial for the projective space but I don't think you can find an embedding. And of course, I talked about higher homotopy groups as well, not just the second! Don't you find it surprising that it's so enormly complex (and still open) for the sphere but they are all completely trivial for a sphere with handles? – Peter Franek Sep 15 '16 at 08:54
  • Oh you're right (I've been thinking about knot theory recently, where you do only care about injections). It's not so surprising to me that adding handles to a sphere stops there from being any non-trivial function from a sphere. What is surprising to me is that this doesn't happen in higher dimensions! – Oscar Cunningham Sep 15 '16 at 09:19
0

The following identities are very simple, but maybe a long ago, when I was a child and played with a calculator, I was surprised.

$$\begin{align} 1^2 & = 1\\ 11^2 & = 121\\ 111^2 & = 12321\\ 1111^2 & = 1234321\\ 11111^2 & =123454321\\ 111111^2 & =12345654321\\ 1111111^2 & =1234567654321\\ 11111111^2 & =123456787654321\\ 111111111^2 & =12345678987654321 \end{align}$$

Alex Ravsky
  • 90,434
0

The fact that taking Pascal's triangle mod 2 gives the Sierpiński triangle still blows my mind.

(See : this link for an explanation)

0

Let $x\ge -1$ :

$$F(x)=(1/x!)!^{(1/x!)!^{\cdots}}$$

Then the two minima are equal one around $-0.59$ and the other around $2.085$

0

Let define $x>-1$ :

$$F(x)=(1/x!)!^{(1/x!)!^{\cdots}}$$

Then the two minima are equal around $-0.59$ and $2.085$