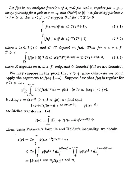
The following is a part of the theorem in Section 7.8. in Titchmarsh's book The Theory of the Riemann Zeta-Function:
My questions:
1- I need to study Parseval's formula but lets say that the formula $\frac{1}{2\pi}\int_{-\infty}^\infty \lvert F(it)\rvert^2\,dt = \int_0^\infty \lvert f(x)\rvert^2\,\frac{dx}{x}$ given here is correct. Thus $I(\sigma)$ in the picture above must be $\int_0^\infty \lvert \phi(ix e^{-i \delta})\rvert^2\,\frac{dx}{x}$ and not $\int_0^\infty \lvert \phi(ix e^{-i \delta})\rvert^2\,\frac{dx}{x^{1-2 \sigma}}$, so why the later one is derived instead?
2- Holders's inequality $\int_a^b fg~ \mathrm{d}x \leqslant \left\{\int_a^b f^p ~\mathrm{d}x\right\}^{\frac{1}{p}} \left\{\int_a^b g^q ~\mathrm{d}x\right \}^{\frac{1}{q}}$ does not imply the inequality given in the picture above for $I(\sigma)$, so how the given inequality in the picture holds?
