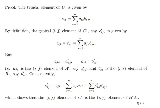
I am trying to follow a proof that if $C = AB$, then $C^\prime= B^\prime A^\prime$. I attach the image.
I do not understand the last step, since for example it was never shown that $a_{js} = b^\prime_{is}$. Is someone able to tell me what I miss?
Thank you
