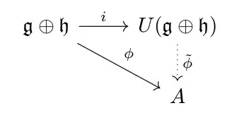
Reading lecture notes on Hopf algebras, I came across a statement (which was heavily used by the author without a proof) that, given Lie algebras $\mathfrak{g}, \mathfrak{h}$, the universal enveloping algebra $U(\mathfrak{g}\oplus \mathfrak{h})$ is isomorphic to $U(\mathfrak{g})\otimes U(\mathfrak{h})$. I am trying to prove this statement using the universal properties of objects involved, namely, the universal property of the universal enveloping algebra
where $\phi$ is a linear map from $\mathfrak{g}$ to an associative unital algebra $A$ that respects the bracket, and $i$ is the canonical injection, which, in the case of the universal enveloping algebra of $\mathfrak{g}\oplus \mathfrak{h}$, reads as
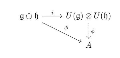
,and the universal property of tensor product of algebras
where $\phi, i$ are bilinear maps, $\tilde{\phi}$ is a morphism of associative algebras. So, theoretically, if we proved the following diagram:
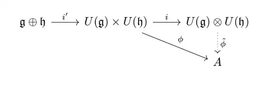
i.e. that $U(\mathfrak{g})\otimes U(\mathfrak{h})$ satisfies the diagram for $U(\mathfrak{g} \oplus \mathfrak{h})$, we would have proved that $U(\mathfrak{g} \oplus \mathfrak{h}) \cong U(\mathfrak{g})\otimes U(\mathfrak{h})$. My line of reasoning is that we can inject $\mathfrak{g} \oplus \mathfrak{h}$ into $U(\mathfrak{g}) \times U(\mathfrak{h})$ linearly in each component, adding additional node and arrow to the diagram for tensor product:

and then the compositions $i \circ i'$ and $\phi \circ i'$ would give us the desired diagram. Since I have very little experience working with diagrams and universal properties, I am not sure if my proof is correct, or how to make it rigorous. One of my concerns, for instance, is that in the diagram for the universal property of UEA, $i$ is specifically defined as the canonical injection; and canonical injection is defined into $U(\mathfrak{g}\oplus \mathfrak{h})$, not into $U(\mathfrak{g}) \otimes U(\mathfrak{h})$, so I am not sure if I can state that the two diagrams are "the same".



