9

Basically my question is about $\int_a^c f(x)dx$ such that there is a 'singularity' (*) at $x=b$ and $a<b<c$

Assume that $\displaystyle\int f dx= F$, my question is when is $\displaystyle\int_a^c f(x)dx = F(c)-F(a)$

For some examples, the general way to deal with stuff like this is to integrate from $a$ to $b- \epsilon$ and $b+ \epsilon$ to $c$ and sum them and take the limit as $\epsilon \to 0$. And we need to do this otherwise we may get some absurd things, for a famous example, if we just do $F(c)-F(a)$ we get $\displaystyle\int_{-1}^1 \left(\dfrac1x\right)^2 = -2$ which is clearly false.

So I thought that we would always have to do the limit thing whenever integrating around singularity, but then I did the following question:

$$\int_0^{\infty} \dfrac1{x^3-1}$$

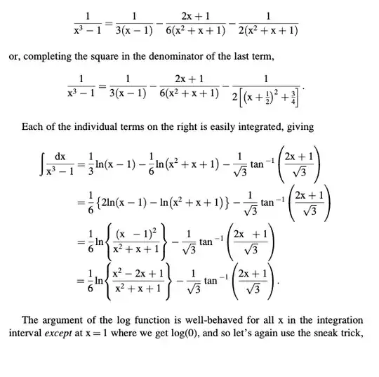
It is quite easy to find the antiderivative of this using partial fractions, enter image description here (page from "inside interesting integrals, really cool book btw)

So then as there is a singularity at $1$ I did the routine and long $\epsilon$ calculations to get the final answer of $\dfrac{\pi}{\sqrt{27}}$ but then I was quite surprised to find out that this was indeed equal to $\displaystyle\lim_{x \to \infty}F(x)-F(0)$.

This is what has inspired this question,cos i would really like it if there was some way to know when I have to do these boring calculations to get the correct answer and when I do not. Finally, tldr; my question is when do we need to do the limit $\epsilon$ thing when integrating over a singularity

(*)singularity meaning:(the function is not defined, more specifically, for this question, assume $f$ tends to $\pm \infty$ as $x \to b$)

Aditya_math
  • 1,863
  • 4
    @KamalSaleh I think everyone understands that is what I mean, I don't find any reason to be pedantic about such trivial things which do not affect the question at all – Aditya_math Apr 26 '23 at 18:09
  • 2
    Notice that for the antiderivative of $1/x^2$, namely $-1/x$, the sign changes at the discontinuity: $\lim_{+0} -1/x = -\infty$ while $\lim_{-0} -1/x = \infty$. This doesn't happen for the antiderivative of $1/(x^3-1)$. (I don't have a proof that this is the reason, but it seems relevant) – lisyarus Apr 26 '23 at 18:26
  • 3
    And here we are again, a legitimately good question will be downvoted and closed because checks notes someone didn't like the notation. Mathematics stack exchange gatekeeping at it's finest. – lisyarus Apr 26 '23 at 18:34
  • 1
    @Mike Happy now? Also, in your first comment, you ended the sentence with four dots, that is not grammatically correct, change it right now cos that annoys me a lot. – Aditya_math Apr 26 '23 at 18:42
  • 3
    @Mike im sorry for being rude but this is such a pointless thing to point out, if you wanted to be helpful, you'd answer the question or tell me how to improve it, so it makes it seems like you're just finding things to nitpick for no reason than other to be pedantic. – Aditya_math Apr 26 '23 at 18:43
  • 1
    When you integrate over an interval that has a singularity, sometimes that integral would diverge and other times it wouldn't, and these situations depend on what the function and the interval are. For instance, $\frac{\ln\left(x+1\right)}{x}$ is improperly integrable on any $(-1,b] \subseteq (-1,\infty)$ and has no need for any PV integration. On the other hand, $\frac{\cos\left(3x\right)}{x-1}$ is not improperly integrable on $\mathbb{R}$ and thus requires a PV calculation to assign a value to it. – Accelerator Apr 26 '23 at 23:42
  • @Accelerator how would one tell when an integral is integrable and when we need principal value? – Aditya_math Apr 26 '23 at 23:50
  • 2
    For your first question, that depends on what kind of integrability you're concerned about, and you would have to understand each of those definitions to know more about integrability. For instance, $\lim_{a \to -1^+}\int_{a}^{1} \frac{\ln(x+1)}{x}dx$ converges to a specific value despite the asymptote at $x=-1$. For your second question, you would "need" a principal value if you want to assign a value to certain divergent improper integrals. – Accelerator Apr 27 '23 at 00:08

1 Answers1

15

It comes down to the observation that the contribution to the PV integration from the immediate vicinity of the singularity was, in this problem, just zero. This follows from the fact that you can split the integrand as a singular term (namely $\frac{1}{3(x-1)}$) plus a regular term, with the singular term being an odd function of $x-1$. Consequently the contribution to PV integration from $[1-\epsilon,1+\epsilon]$ goes to zero with $\epsilon$, so the whole PV integral, which formally is $\lim_{x \to \infty} \lim_{\epsilon \to 0^+} F(x)-F(1+\epsilon)+F(1-\epsilon)-F(0)$, is the same as $\lim_{x \to \infty} F(x)-F(0)$.

Ian
  • 101,645