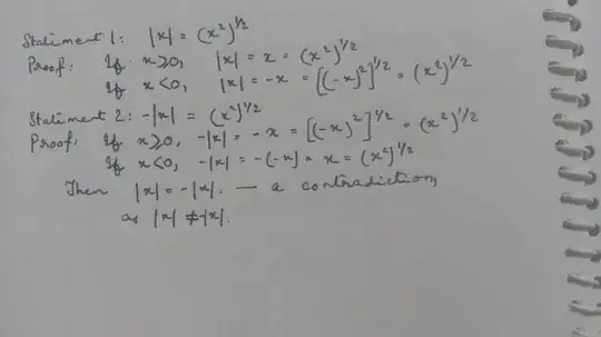
The above is my 'proof' of two statements involving $|x|.$ Since they clearly contradict each other, where I have gone wrong in the proof?
Asked
Active
Viewed 34 times
1
-
Statement 2 is wrong: $-\vert x \vert = -(x^2)^{1/2} \ne (x^2)^{1/2}$. – Therkel Apr 24 '23 at 07:24
-
See 1, 2, 3. – dxiv Apr 24 '23 at 07:26
1 Answers
1
Statement 2 is false: the 9th and 13th equalities in your work are false. Those two steps collectively falsely assume that $$y=(y^2)^{\frac12}\iff y\in\mathbb R.$$ In actuality, $$y=(y^2)^{\frac12}\iff y\ge0\\ -y=(y^2)^{\frac12}\iff y\le0.$$
ryang
- 38,879
- 14
- 81
- 179

