16

Prove the following

$$\sum\limits_{n\geq 1}(-1)^{n+1}\frac{H_{\lfloor n/2\rfloor}}{n^3} = \frac{1}{2}\zeta(2)^2-\frac{7}{4}\zeta(3)\log(2)$$

I was able to prove the formula above and interested in what approach you would take .

Zaid Alyafeai
  • 14,343

2 Answers2

15

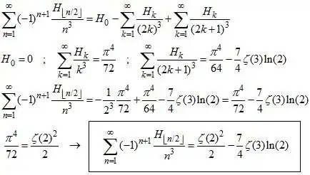
The chalenge is interresting, but easy if we know some classical infinite sums with harmonic numbers : http://mathworld.wolfram.com/HarmonicNumber.html

enter image description here

( typing mistake corrected)

I was sure that the formula for $\sum\frac{H_{k}}{(2k+1)^3}$ was in all the mathematical handbooks among the list of sums of the same kind. I just realize that it is missing in the article of Wolfram referenced above. Sorry for that. Then, see : http://www.wolframalpha.com/input/?i=sum+HarmonicNumber%28n%29%2F%282n%2B1%29%5E3+from+n%3D1to+infinity

One can find in the literature some papers dealing with the sums of harmonic numbers and even more with the sums of polygamma functions. The harmonic numbers are directly related to some particular values of polygamma functions. So, when we are facing a problem of harmonic number, it is a good idea to transform it to a problem of polygamma. For example, in the paper “On Some Sums of Digamma and Polygamma Functions” by Michael Milgram, on can find what are the methods and a lot of formulas with the proofs : http://arxiv.org/ftp/math/papers/0406/0406338.pdf

From this, one could derive a general formula for $\sum\limits_{n\geq 1}\frac{H_n}{(an+b)^p}$ with any $a, b$ and integer $p>2$. Less ambitious, the case $a=2 ; b=1 ; p=3$ is considered below :

enter image description here

JJacquelin
  • 66,221
  • 3
  • 37
  • 87
  • The calculation of $\sum_{k\geq 1}\frac{H_k}{(2k+1)^3}$ using Wolfram Alpha is a fine plausibility check. But, I'm also interested in a proof of this sum (with odd denominator). Maybe you could give some hints or references, how to prove it? – Markus Scheuer Apr 28 '14 at 06:59
  • I well understand that. But anyway, we have to refer to more or less previous works and known properties of some functions defined earlier. To answer to the present question, a relevant reference and more comments have been added to my previous answer. – JJacquelin Apr 28 '14 at 12:35
  • Thanks, this is a proper info. Upvote. – Markus Scheuer Apr 28 '14 at 12:59
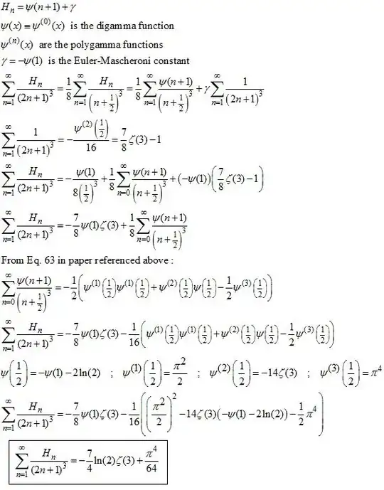
10

Here is another variation of the theme: We start by splitting the sum

\begin{align*} \sum_{n\geq 1}(-1)^{n+1}\frac{H_{\lfloor n/2\rfloor}}{n^3}&=-\sum_{n\geq1}\frac{H_n}{(2n)^3}+\sum_{n\geq1}\frac{H_n}{(2n+1)^3}\\ &=-\frac{1}{8}\sum_{n\geq1}\frac{H_n}{n^3}+\sum_{n\geq1}\frac{H_n}{(2n+1)^3} \end{align*}

According to the answers of question 305476

the following identity is valid: \begin{align*} \sum_{n\geq1}\frac{H_n}{n^3}=\frac{1}{2}\zeta(2)^2=\frac{\pi^4}{72} \end{align*}

A very elegant answer was given by the user Random Variable. It was based on two ideas. The first one was using the integral representation

\begin{align*} H_n=\int_0^1\frac{1-t^n}{1-t}dt \end{align*}

for the harmonic numbers $H_n$ in order to simplify the sum. The second idea was using integration by parts and so switching from expressions with $\text{Li}_3$ to expressions with $\text{Li}_2$ reducing thereby the complexity of the integral.

Now, we use the same approach with some additional adaptations to show that

the following identity is valid: \begin{align*} \sum_{n\geq1}\frac{H_n}{(2n+1)^3}&=\frac{9}{16}\zeta(2)^2-\frac{7}{4}\zeta(3)\ln(2)\\ &=\frac{\pi^4}{64}-\frac{7}{4}\zeta(3)\ln(2) \end{align*}

We start by using the integral representation for $H_n$ from above and the substitution $u^2=t$:

\begin{align*} \sum_{n\geq1}\frac{H_n}{(2n+1)^3}&=\int_0^1\frac{1}{1-t}\sum_{n\geq1}\frac{1-t^n}{(2n+1)^3}dt\\ &=\int_0^1\frac{1}{1-u^2}\sum_{n\geq1}\frac{1-u^{2n}}{(2n+1)^3}2udu \end{align*}

Now observe, that \begin{align*} \sum_{n\geq1}\frac{1}{(2n+1)^3}&=\sum_{n\geq1}\frac{1}{n^3}-\sum_{n\geq1}\frac{1}{(2n)^3}-1 =\frac{7}{8}\zeta(3)-1\\ \sum_{n\geq1}\frac{u^{2n+1}}{(2n+1)^3}&=\sum_{n\geq1}\frac{u^n}{n^3}-\sum_{n\geq1}\frac{u^{2n}}{(2n)^3}-u=\text{Li}_3(u)-\frac{1}{8}\text{Li}_3(u^2)-u\\ \end{align*}

Therefore we get \begin{align*} \sum_{n\geq1}\frac{H_n}{(2n+1)^3}&=2\int_0^1\frac{1}{1-u^2}\left(\frac{7}{8}\zeta(3)u-\text{Li}_3(u)+\frac{1}{8}\text{Li}_3(u^2)\right)du \end{align*}

Next, we use partial integration with $U=\left(\frac{7}{8}\zeta(3)u-\text{Li}_3(u)+\frac{1}{8}\text{Li}_3(u^2)\right)$ and the following relations: \begin{align*} \frac{d}{du}\text{Li}_3(u)&=\frac{d}{du}\sum_{n\geq 1}\frac{u^n}{n^3}=\sum_{n\geq 1}\frac{u^{n-1}}{n^2}=\frac{1}{u}\text{Li}_2(u)\\ \frac{d}{du}\text{Li}_3(u^2)&=\frac{d}{du}\sum_{n\geq 1}\frac{u^{2n}}{n^3}=2\sum_{n\geq 1}\frac{u^{2n-1}}{n^2}=\frac{2}{u}\text{Li}_2(u^2)\\ \text{Li}_2(u)+\text{Li}_2(-u)&=2\left(\sum_{n\geq 1}\frac{u^n}{n^2}+\sum_{n\geq 1}\frac{(-u)^n}{n^2}\right)=\frac{1}{2}\text{Li}_2(u^2)\\ \frac{d}{du}\text{Li}_2(u)&=\frac{d}{du}\sum_{n\geq 1}\frac{u^n}{n^2}=\sum_{n\geq 1}\frac{u^{n-1}}{n}=\frac{1}{u}\ln(1-u)\\ \frac{d}{du}\text{Li}_2(-u)&=\frac{d}{du}\sum_{n\geq 1}\frac{(-u)^n}{n^2}=-\sum_{n\geq 1}\frac{(-u)^{n-1}}{n}=\frac{1}{u}\ln(1+u)\\ \end{align*}

So we get \begin{align*} \sum_{n\geq1}\frac{H_n}{(2n+1)^3} &=2\left.\left(\frac{7}{8}\zeta(3)u-\text{Li}_3(u)+\frac{1}{8}\text{Li}_3(u^2)\right)\frac{1}{2}\ln\frac{1+u}{1-u}\right|_0^1\\ &-\int_0^1\left(\frac{7}{8}\zeta(3)-\frac{1}{u}\text{Li}_2(u)+\frac{1}{4u}\text{Li}_2(u^2)\right)\ln\frac{1+u}{1-u}du\\ &=-\int_0^1\left(\frac{7}{8}\zeta(3)-\frac{1}{u}\text{Li}_2(u)+\frac{1}{4u}\text{Li}_2(u^2)\right)\ln\frac{1+u}{1-u}du\\ &=-\frac{7}{8}\zeta(3)\int_0^1ln\frac{1+u}{1-u}du+\frac{1}{2}\int_0^1\left(\text{Li}_2(u)-\text{Li}_2(-u)\right)\frac{1}{u}\ln\frac{1+u}{1-u}du\\ &=-\frac{7}{8}\zeta(3)\left.\left(\ln(1-u^2)+u\ln\frac{1+u}{1-u}\right)\right|_0^1+\frac{1}{4}\left.\left(\text{Li}_2(u)-\text{Li}_2(-u)\right)^2\right|_0^1\\ &=-\frac{7}{4}\zeta(3)\ln(2)+\frac{9}{16}\zeta(2)^2 \end{align*}

Now, putting all together gives

\begin{align*} \sum_{n\geq 1}(-1)^{n+1}\frac{H_{\lfloor n/2\rfloor}}{n^3} &=-\frac{1}{8}\sum_{k\geq1}\frac{H_n}{n^3}+\sum_{n\geq1}\frac{H_n}{(2n+1)^3}\\ &=\frac{1}{2}\zeta(2)^2-\frac{7}{4}\zeta(3)\ln(2) \end{align*}

Markus Scheuer
  • 108,315