4

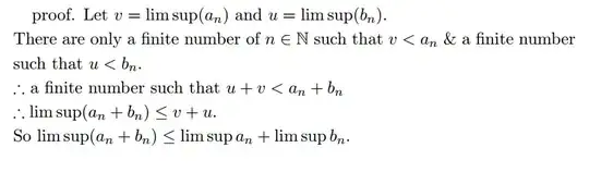
Could you help me understand the solution below?

  1. "otherwise we clearly have the equality" -> why? It's not clear to me. :(
  2. "The inequality is trivially satisfied" -> why? even if the right side is +infinity, what if the left side is also +infinity?
  3. "{bn} is bounded" -> I know there is a upper limit but I'm not sure if bn has a lower limit.
  4. "one sees that lim sup(an+bn) = minus inifity" -> how is this so?
  5. "Let y in R be such that ank + bnk -> y for some sequence" -> How do we suppose such y exists? what if there is no subsequence that converges? 6.I'm not sure the equality between two different limits is made.

Thank you so much in advance!

enter image description here

3 Answers3

3
  1. If the right hand side is $\infty + \infty$, then it is actually infinite ; and infinity bounds any real number or $\pm \infty$ by above, so the inequality holds. It is not true that you will obtain equality otherwise in this case though ; just think of $a_n = (-1)^n n$ and $b_n = (-1)^{n+1} n$. Then $a_n + b_n = 0$ for every $n$ even though $\limsup_{n \to \infty} a_n = \limsup_{n \to \infty} b_n = +\infty$. If the right hand side is $-\infty -\infty$, then every subsequence of $a_n$ and $b_n$ goes to $-\infty$, hence $\limsup_{n \to \infty} (a_n+b_n) = -\infty$ and the inequality also holds.

  2. If only one of the limit superiors has a $+\infty$ value, without loss of generality we can suppose it is $a_n$. So assume $\limsup_{n \to \infty} a_n = +\infty$ and $\limsup_{n \to \infty} b_n = b \in [-\infty,+\infty[$. We must remove the case $b = -\infty$ because we removed this case by assumption in the question. So assume $b \in ]-\infty, \infty[$. Then since $$ \limsup_{n \to \infty} a_n + \limsup_{n \to \infty} b_n = \infty + b = \infty, $$ infinity always being an upper bound, ''the inequality is trivially satisfied'' (that is what they mean by trivial).

  3. Since $\limsup_{n \to \infty} b_n = b \in ]-\infty,\infty[$, then by the definition of the limit superior, $$ \limsup_{n \to \infty} b_n = \lim_{n \to \infty} \sup_{k \ge n} b_k = b, $$ hence for every $\varepsilon > 0$, there exists $N$ such that for all $n \ge N$, $\sup_{k \ge n} b_k < b + \varepsilon$. Let us take $\varepsilon = 1$ (I'm just fixing some number here, $1$ doesn't matter much) so that for some particular $n_0$, $$ \sup_{k \ge n_0} b_k \le b+1, \quad \Longrightarrow \quad b_k \le \max \{b_0,b_1,\dots,b_{n_0-1}, b+1 \} \overset{def}= C. $$ and the sequence $\{b_n\}$ is bounded above by this weirdo bound $C$.

  4. Therefore, since $a_n \to -\infty$, we have $$ \limsup_{n \to \infty} (a_n + b_n) \le \limsup_{n \to \infty} a_n + C = -\infty + C = -\infty $$ and $-\infty$ is always bounded above by every real number and $\pm \infty$, so the inequality holds.

  5. Recall that by Bolzano-Weierstrass's theorem, any bounded sequence has a convergent subsequence. If $\limsup_{n \to \infty} (a_n + b_n) = y \in ]-\infty,\infty[$, to show existence of a convergent subsequence, it thus suffices to show the existence of a bounded subsequence, from which we will extract a convergent sub-subsequence using Bolzano. Using the definition

$$ \limsup_{n \to \infty} (a_n+b_n) = \lim_{n \to \infty} \sup_{k \ge n} (a_k + b_k) = y, $$ since the limit is $y$, we can find $n_1$ such that $\sup_{k \ge n_1} (a_k + b_k) \ge y-1$, hence by definition of the supremum there is also $k_1 > n_1$ such that $a_{k_1} + b_{k_1} \ge y-2$. We can also find $n_2 > k_1$ such that $\sup_{k \ge n_2} (a_k + b_k) \ge y-1/2$, hence we can find $k_2 > n_2 > k_1$ such that $a_{k_2} + b_{k_2} \ge (y-1/2)-1/2 = y-1$. Continuing in this fashion we can construct a subsequence $a_{k_j} + b_{k_j}$ such that $a_{k_j} + b_{k_j} \ge y-2^{j-1}$, and since $$ y - 2^{j-1} \le a_{k_j} + b_{k_j} \le \sup_{\ell \ge k_j} (a_{\ell} + b_{\ell}) \to y, $$ by a sandwich argument, the sequence in the middle converges to $y$, which proves existence.

Feel free to ask about any part of my explanation which is still vague to you. I tried to give more details, there are plenty of ways to do this, I just explained the one that came to mind.

Hope that helps,

  • How the fact that every subsequence of an and bn goes to -infinity leads to the fact that lim sup (an + bn) goes to -infinity.
  • – InfimumMaximum Jul 24 '13 at 05:01
  • @InfimumMaximum : Do you know this characterization of the limit superior? If $A(x_n) = { x \in \mathbb R , | , \exists x_{n_k} \to x }$, i.e. $A(x_n)$ is the set of limits of all convergent subsequences of $x_n$, then $\limsup_{n \to \infty} x_n = \sup A$ and $\liminf_{n \to \infty} x_n = \inf A$. In the case where every subsequence of $a_n$ and $b_n$ goes to $-\infty$, this means $A(a_n+b_n) = \varnothing$, hence $\sup A(a_n+b_n) = \sup \varnothing = -\infty$. – Patrick Da Silva Jul 24 '13 at 17:28
  • I guess the easy way to see what you asked is this though ; take any subsequence of $a_n + b_n$, call it $a_{n_k} + b_{n_k}$. Then $a_{n_k}$ and $b_{n_k}$ go both to $-\infty$, hence so does $a_{n_k} + b_{n_k}$. This means every subsequence of $a_n + b_n$ goes to $-\infty$. – Patrick Da Silva Jul 24 '13 at 17:30
  • @BabakS. : I'm confused here? I helped him/her, not you! – Patrick Da Silva Aug 03 '13 at 22:14