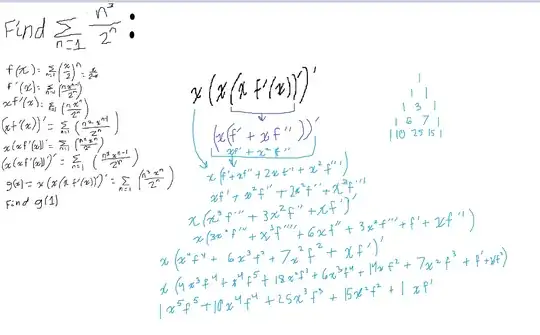
This came up when trying to evaluate $\sum n^3/2^n$. In order to do this I had to repeatedly differentiate and multiply by $x$ to make the function match the summation. What are these numbers, and why do they show up here? I would appreciate some more insight as to how exactly these coefficients of the expansion come about through this iterated process
-
1I think that the number triangle is OEIS sequence A008278 "Reflected triangle of Stirling numbers of 2nd kind, S(n,n-k+1), n >= 1, 1 <= k <= n." – Somos Jul 24 '22 at 02:30
-
I feel compelled to point out that you don't have to use differentiation. And arguably, unless you have a rigorous understanding of the theorem that a power series can be differentiated termwise or a proper understanding of formal power series and the formal derivative, you should not be using differentiation to prove such combinatorial results, especially since it is really easy in this case. See this post for one generic way using summation by parts. – user21820 Jul 24 '22 at 16:20
-
For a simpler way for this kind of summand,$\def\lfrac#1#2{{\large\frac{#1}{#2}}}$ let $f(n) = \sum_{k=1}^n \lfrac{k^3}{2^k}$ and observe that $f(n) - \lfrac12·f(n)$ $= \sum_{k=1}^n \lfrac{k^3}{2^k} - \sum_{k=0}^n \lfrac{k^3}{2^{k+1}}$ $= \sum_{k=1}^n \lfrac{k^3}{2^k} - \sum_{k=1}^{n+1} \lfrac{(k-1)^3}{2^k}$ $= \sum_{k=1}^n \lfrac{k^3/2^k-(k-1)^3}{2^k} - \lfrac{n^3}{2^{n+1}}$, which simplifies to another summation with a quadratic instead of cubic. Repeat a few times and you would be done. – user21820 Jul 24 '22 at 16:25
2 Answers
A small and useful trick.
Consider, for the time being $$S=\sum_{n=1}^p n^3\, x^n$$ and write $$n^3=n(n-1)(n-2)+3n(n-1)+n$$ $$S=\sum_{n=1}^p n(n-1)(n-2)\, x^n+3\sum_{n=1}^p n(n-1)\, x^n+\sum_{n=1}^p n\, x^n$$ $$S=x^3\sum_{n=1}^p n(n-1)(n-2)\, x^{n-3}+3 x^2\sum_{n=1}^p n(n-1)\, x^{n-2}+x\sum_{n=1}^p n\, x^{n-1}$$ $$S=x^3\Bigg[\sum_{n=1}^p x^n \Bigg]'''+3x^2\Bigg[\sum_{n=1}^p x^n \Bigg]''+x\Bigg[\sum_{n=1}^p x^n \Bigg]'$$ and $$\Bigg[\sum_{n=1}^p x^n \Bigg]=\frac{x \left(x^p-1\right)}{x-1}=1+\frac{ \left(x^p-1\right)}{x-1}$$ When finished, let $x=\frac 12$
- 260,315
-
1Good old Stirling numbers. They have been rediscovered so many times, including by me many years ago. – marty cohen Jul 24 '22 at 04:40
-
2@martycohen. This is more than true ! As we say in Franch, the numer of times I reinvented the wheel and the lukewarm water is probably close to $\infty^+$. Cheers :-) – Claude Leibovici Jul 24 '22 at 04:45
Partial Answer:
A check on the OEIS, entry $A000278$ suggests these coefficients are the (reflected triangle of the) Stirling numbers of second kind.
The Stirling numbers of the second kind (Wikipedia) give the number of ways to partition an $n$-member set into $k$ nonempty and unlabeled subsets. One may algebraically define
$$\newcommand{\S}[2]{{#1 \brace #2}} \S n k := \frac{1}{k!} \sum_{i=0}^k (-1)^i \binom k i (k-i)^n $$
Wikipedia offers a table of some values:
Notice how if you left-align your triangle, strip away the below table's first column, and then reverse the order of entries in your triangle (or Wikipedia's), you get a match.
I have no particular insight as to why these numbers pop up in your summation, however.
Possible Alternative?
Further checking of the OEIS suggests sequence $A213735$ (link) may be related, as it seems to match the same pattern, but with extra negative factors.
This sequence's definition involves the falling factorial; denoted $(x)_k$, it is like a factorial but only goes back enough to get $k$ factors:
$$(x)_k = x(x-1)(x-2) \cdots (x-(k-1)) = \frac{x!}{(x-k)!}$$
The sequence suggests a relation to the expansion of $(x+k)_k$, and expressing $x^n$ as
$$x^n = \sum_{i=n-1}^1 a_i (x+i)_i$$
(where the weird bounds ensure we sum in decreasing order, like in the OEIS). The $a_i$ give the members of the sequence/triangle we form.
Something about this feels more likely, but I'm not entirely sure how.
- 43,815
-
1+1 for OEIS, teach a man to fish and all that. If you are met with a mysterious sequence of numbers (or something you can phrase as a sequence of numbers, e.g. a power series), looking it up in the OEIS is fruitful much more often than you might expect. – orlp Jul 24 '22 at 16:48

