It might be instructive to think of this as coding. Let me set up some notation first: say $(X,\mu)$ is a probability space, let $f:(X,\mu)\to (X,\mu)$ be a measurable measure-preserving map. Consider the shift space $\Sigma=F(\mathbb{Z}_{\geq0};\mathbb{R})$ on which the shift operator acts:
$$\sigma: \Sigma\to \Sigma, \omega_\bullet\mapsto \omega_{\bullet+1}.$$
(Explicitly $\sigma(\omega_0,\omega_1,...,\omega_n,...)=(\omega_1,\omega_2,...,\omega_{n+1},...)$.)
We think of $\Sigma$ to be endowed with the product topology and associated Borel $\sigma$-algebra.
For any measurable function $u:X\to \mathbb{R}$ we have an associated coding map $\Phi_u$. This is a measurable map $\Phi_u:X\to\Sigma$ defined by
$$x\mapsto [n\mapsto u\circ f^n(x)].$$
Denoting by $\nu=\overrightarrow{\Phi_u}(\mu)$ the pushforward measure we have a commutative diagram (in the a.e. category of probability spaces):

Note that the setup here matches exactly with your setup ($(X,\mu)$ is $(\Omega,Q)$, $f$ is $\varphi$, $u$ is $X_0$, $\Sigma$ is $\mathbb{R}^\infty$, $\nu$ is $P$, $\sigma$ is $\theta$).
Observation: One can verify that the ergodicity of $(\mu,f)$ implies the ergodicity of $(\nu,\sigma)$ like so in this notation: if $\phi: \Sigma\to \mathbb{R}$ is measurable and $\nu$-a.e. $\sigma$-invariant, then $\phi\circ \Phi_u:X\to\mathbb{R}$ is measurable and $\mu$-a.e. $f$-invariant, so that it has to be constant $\mu$-a.e.. Thus $\phi$ has to be constant $\nu$-a.e..
For part (a), let us work backwards. Take any $\sigma$-invariant Borel probability measure $\nu$ on $\Sigma$. Define $X=\Sigma\times [0,1]$ and $f=\sigma\times \operatorname{id}_{[0,1]}:X\to X, (\omega_\bullet,t)\mapsto (\omega_{\bullet+1},t)$. Then the product measure $\mu=\nu\otimes \operatorname{leb}_{[0,1]}$ is $f$-invariant. Note that no matter what $\nu$ is $(\mu,f)$ is never ergodic, due to the second factor.
Now take $u: X\to \mathbb{R}, (\omega_\bullet,t)\mapsto \omega_0$. $u$ is a projection, hence measurable. It's also clear that $\Phi_u=\operatorname{proj}_\Sigma: (\omega_\bullet,t)\mapsto \omega_\bullet$. Now taking $\nu$ to be ergodic gives an example (certainly there are such measures on $\Sigma$, as $\Sigma$ is Polish, see e.g. Countable product of complete metric spaces or Is the product of Polish spaces Polish?).
For part (b), the claim is that if $X=\mathbb{R}$ and $u=\operatorname{id}_{\mathbb{R}}$, then $(\mu,f)$ is ergodic iff $(\nu,\sigma)$ is ergodic. The observation above points toward a strategy: if any $f$-invariant function $\mathbb{R}\to \mathbb{R}$ were to factor through $\Phi_u$ we would have that the ergodicity at the factor level imply ergodicity at the extension level. Note that in this case $\Phi_u: \mathbb{R}\to \Sigma$ is simply the map $x\mapsto [n\mapsto f^n(x)]$, that is, the point $x$ is sent to its orbit (with the natural ordering).
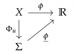
Now let $\phi: X\to\mathbb{R}$ be measurable and $f$-invariant. Defining $\underline{\phi}: \Sigma\to \mathbb{R}$ by $\omega_\bullet\mapsto\phi(\omega_0)$ gives a factorization:

Further, $\underline{\phi}$ is $\sigma$-invariant when restricted to the image of $\Phi_u$ (which has full $\nu$-measure): $\underline{\phi}\circ \sigma (\Phi_u(x)) = \underline{\phi}\circ\sigma\circ\Phi_u(x) = \underline{\phi}\circ \Phi_u\circ f(x) = \phi\circ f (x) = \phi(x) = \underline{\phi}(\Phi_u(x))$. Thus if $(\nu,\sigma)$ is ergodic, then $\underline{\phi}$ is constant $\nu$-a.e. ($\underline{\phi}$ is the composition of a measurable map and a continuous map, hence is measurable). But then $\phi=\underline{\phi}\circ \Phi_u$ is constant $\mu$-a.e., so that $(\mu,f)$ is ergodic.