Update: I feel as though I'm doing something very wrong here.
Thank you all for the great suggestions! I am going to take the suggestions and try to shorten my proof. Again, I appreciate you all!
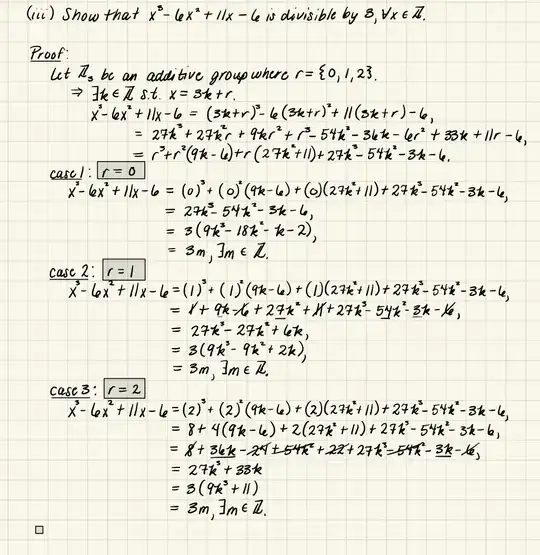
Show that $x^3 - 6x^2 + 11x - 6$ is divisible by $3, \forall x \in \mathbb{Z}$.
Hello, again. I hope that uploading an image of my proof is acceptable. Typing the proof out would be painful, but if typing the proof out is necessary to receive help, then I will do so.
I have tried this proof using several methods: direct, contradiction and induction. Direct proof by using the additive group of $\mathbb{Z_3}$ was the only thing that seemed to work. However, when I choose an integer outside of the group, I still find that I have the same result. I do not know if that is ok. I do not know if this proof is wholly flawed or not. Thank you all for your help and patience.
