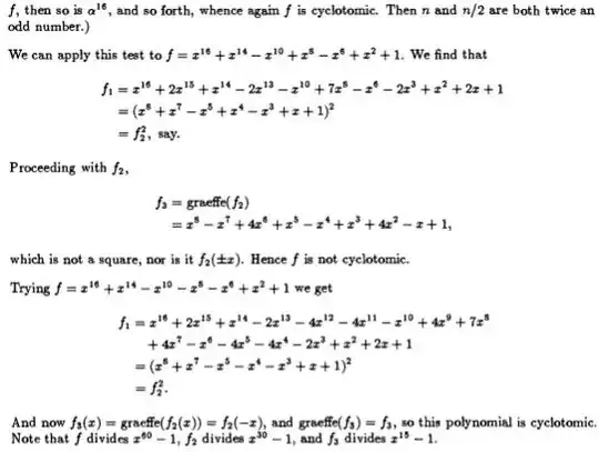
There are various algorithms known for such, based on properties of roots of unity, e.g.

See for example the following papers.
F. Beukers , C. J. Smyth. Cyclotomic Points on Curves, Proc. Milennial Conference on Number Theory, May 21–26, 2000, Urbana-Champaign, AK Peters (2001). (Section 2)
Iskander Aliev, Chris Smyth. Solving algebraic equations in roots of unity. (Section 2.1)
R. J. Bradford and J. H. Davenport, Effective tests for cyclotomic polynomials.
Symbolic and Algebraic Computation, Lecture Notes in Computer Science, 1989,
Volume 358/1989, 244-251, DOI: 10.1007/3-540-51084-2_22
Abstract (from Bradford and Davenport)
We present two efficient tests that determine if a given polynomial is cyclotomic, or is a product of cyclotomics. The first method uses the fact that all the roots of a cyclotomic polynomial are roots of unity, and the second the fact that the degree of a cyclotomic polynomial is a value of $\:\phi(n),$ for some $n$. We can also find the cyclotomic factors of any polynomial.
Here is the first method:
