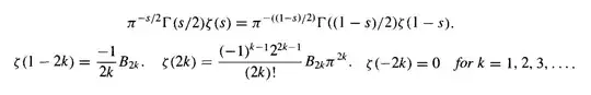
I have proved the following four identities already but I can't prove $\zeta(0)=-\frac12$. The book has stated it as "an easy corollary". I couldn't find any complete proof in the internet because either there is none or uses formulas not from the following four (and not based on this):
How $\zeta(0)=-\frac12$ is true?
